优先发表
状态: , 更新:
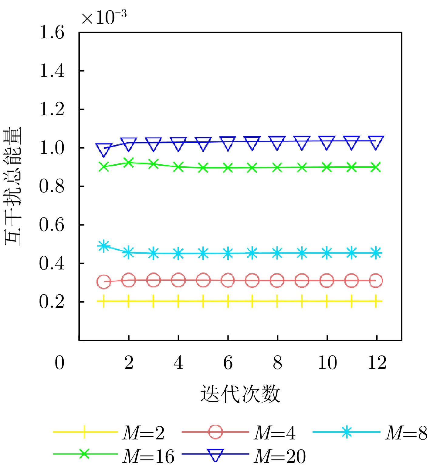
相控阵雷达网络在复杂环境下的多目标跟踪能力受到有限资源与异步采样机制的双重制约,尤其在跟踪与搜索(TAS)体制下,搜索与跟踪任务之间的资源竞争以及量测不确定性会显著影响系统整体跟踪性能。针对上述问题,本文提出一种杂波环境下任务优先级驱动的异步相控阵雷达网络(APARN)认知跟踪资源调度方法(TPRS)。该方法在资源调度模型中引入软关联概率以及虚警密度、检测概率等环境参数,刻画量测不确定性对资源调度决策的影响;并在TAS体制下,针对目标已通过多帧检测完成航迹起始的场景,将资源调度重点聚焦于跟踪任务,在资源受限条件下按优先级实施序贯调度。在此基础上,结合集中式资源调度与分布式状态估计融合构建APARN闭环多目标跟踪框架,通过联合概率数据关联(JPDA)实现多目标状态估计,利用协方差交集(CI)完成异步量测融合,并以引入关联不确定性的后验Cramér–Rao下界(PCRLB)作为调度性能评价指标。针对该优化问题多维决策变量耦合且属于NP难问题的特点,提出一种多维解耦与顺序动态规划相结合的两阶段求解方法,以降低计算复杂度并实现资源受限条件下雷达-目标动态匹配与异步驻留时间的自适应调度。仿真结果表明,在资源受限与杂波干扰条件下,所提方法能够有效提升APARN的整体多目标跟踪精度与资源利用效率,为异步多雷达协同跟踪系统的工程化应用提供了可行技术路径。
相控阵雷达网络在复杂环境下的多目标跟踪能力受到有限资源与异步采样机制的双重制约,尤其在跟踪与搜索(TAS)体制下,搜索与跟踪任务之间的资源竞争以及量测不确定性会显著影响系统整体跟踪性能。针对上述问题,本文提出一种杂波环境下任务优先级驱动的异步相控阵雷达网络(APARN)认知跟踪资源调度方法(TPRS)。该方法在资源调度模型中引入软关联概率以及虚警密度、检测概率等环境参数,刻画量测不确定性对资源调度决策的影响;并在TAS体制下,针对目标已通过多帧检测完成航迹起始的场景,将资源调度重点聚焦于跟踪任务,在资源受限条件下按优先级实施序贯调度。在此基础上,结合集中式资源调度与分布式状态估计融合构建APARN闭环多目标跟踪框架,通过联合概率数据关联(JPDA)实现多目标状态估计,利用协方差交集(CI)完成异步量测融合,并以引入关联不确定性的后验Cramér–Rao下界(PCRLB)作为调度性能评价指标。针对该优化问题多维决策变量耦合且属于NP难问题的特点,提出一种多维解耦与顺序动态规划相结合的两阶段求解方法,以降低计算复杂度并实现资源受限条件下雷达-目标动态匹配与异步驻留时间的自适应调度。仿真结果表明,在资源受限与杂波干扰条件下,所提方法能够有效提升APARN的整体多目标跟踪精度与资源利用效率,为异步多雷达协同跟踪系统的工程化应用提供了可行技术路径。
状态: , 更新:
海冰是全球气候变化的重要指示因子,其精确监测对气候研究、极地航运和海洋资源利用具有重要意义。星载微波散射计具备全天时、全天候和大范围观测能力,是极地海冰监测的重要遥感手段。该文利用HY-2B, CFOSAT和FY-3E 3颗国产卫星散射计观测数据,在统一投影网格、统一样本标签和统一分类框架下,基于支持向量机(SVM)分别构建了北极海冰范围检测模型和海冰类型(一年冰/多年冰)分类模型,并利用2022年3月至2023年2月观测数据生成逐日海冰产品。通过与OSI SAF, NSIDC, MODIS 海冰范围产品及SAR影像的综合对比,系统评估了不同散射计在海冰监测中的能力差异。结果表明:在冰水区分任务中,FY-3E 双波段联合方法表现最佳,年平均总体精度和Kappa系数分别达到99.11%和97.39%;CFOSAT, FY-3E Ku波段和FY-3E C波段结果相近,均优于HY-2B。在非融化期海冰类型分类任务中,以OSI SAF海冰类型产品为参考时,FY-3E双波段联合方法同样取得最高精度,年平均总体精度和Kappa系数分别为97.40%和92.42%;进一步以NSIDC海冰年龄产品进行交叉验证时,FY-3E双波段联合方法仍表现最优,OA和Kappa分别为87.26%和69.65%。CFOSAT, HY-2B和FY-3E Ku波段具备较好的冰型区分能力,而FY-3E C波段单独用于冰型识别时精度较低。总体来看,不同参考数据会影响冰型分类的绝对精度,但各方法的相对表现基本一致,说明FY-3E双波段联合结果并非仅反映对OSI SAF训练标签的拟合。FY-3E双波段联合方法在全年海冰范围检测和非融化期海冰类型分类中均表现出更高的稳定性和一致性,说明双频散射信息在极地海冰监测中具有明显互补优势。本研究可为国产散射计海冰业务化应用及多波段联合反演提供参考。
海冰是全球气候变化的重要指示因子,其精确监测对气候研究、极地航运和海洋资源利用具有重要意义。星载微波散射计具备全天时、全天候和大范围观测能力,是极地海冰监测的重要遥感手段。该文利用HY-2B, CFOSAT和FY-3E 3颗国产卫星散射计观测数据,在统一投影网格、统一样本标签和统一分类框架下,基于支持向量机(SVM)分别构建了北极海冰范围检测模型和海冰类型(一年冰/多年冰)分类模型,并利用2022年3月至2023年2月观测数据生成逐日海冰产品。通过与OSI SAF, NSIDC, MODIS 海冰范围产品及SAR影像的综合对比,系统评估了不同散射计在海冰监测中的能力差异。结果表明:在冰水区分任务中,FY-3E 双波段联合方法表现最佳,年平均总体精度和Kappa系数分别达到99.11%和97.39%;CFOSAT, FY-3E Ku波段和FY-3E C波段结果相近,均优于HY-2B。在非融化期海冰类型分类任务中,以OSI SAF海冰类型产品为参考时,FY-3E双波段联合方法同样取得最高精度,年平均总体精度和Kappa系数分别为97.40%和92.42%;进一步以NSIDC海冰年龄产品进行交叉验证时,FY-3E双波段联合方法仍表现最优,OA和Kappa分别为87.26%和69.65%。CFOSAT, HY-2B和FY-3E Ku波段具备较好的冰型区分能力,而FY-3E C波段单独用于冰型识别时精度较低。总体来看,不同参考数据会影响冰型分类的绝对精度,但各方法的相对表现基本一致,说明FY-3E双波段联合结果并非仅反映对OSI SAF训练标签的拟合。FY-3E双波段联合方法在全年海冰范围检测和非融化期海冰类型分类中均表现出更高的稳定性和一致性,说明双频散射信息在极地海冰监测中具有明显互补优势。本研究可为国产散射计海冰业务化应用及多波段联合反演提供参考。
状态: , 更新:
环形凹陷穹丘(RMDS)是发育于月海玄武岩表面的一类小型穹隆构造。其平均高度仅3~4 m,直径约200 m,形态低缓;因其数量巨大,已成为理解月球火山活动与岩浆热力学行为的重要研究对象。尽管光学遥感观测结果支持RMDSs的火山作用成因机制,但仍有学者提出了其他可能性。因此,其成因的确证仍需更多地质证据的支撑。微波雷达因其穿透性而具备探测月面次表层结构与物理特性的独特优势,然而截至目前,针对RMDSs微波雷达散射特征的研究仍处于空白。该文重点利用星载雷达微型射频仪(Mini-RF)和地基雷达阿雷西博(Arecibo)的S波段(波长12.6 cm)数据,以静海盆地月海表面一RMDSs密集分布区为研究区,开展其雷达后向散射功率和圆极化率(CPR)等特征分析。结果显示:(1)RMDSs以低后向散射功率为基本特征,这与泡沫岩浆成因理论预测的雷达弱散射特征高度吻合。该理论认为,RMDSs表面2~3 m深度范围内覆盖的亚毫米级细粒物质,是导致其呈现低强度雷达散射回波的主要原因;(2)受撞击作用、地形起伏及物质坡移等因素的影响,部分RMDSs局部区域表现出不同程度的后向散射增强特征,但长期风化会弱化这一特征;(3)RMDSs的雷达散射系数及CPR均值统计结果均与火山碎屑堆积物高度接近,这表明二者的表面物理性质相似,其表面物质颗粒尺度应与以微米至毫米级细颗粒为主的火山碎屑物相当。上述研究进一步证实,多波段、高分辨率、多极化雷达数据能够为RMDSs的精细化研究提供更丰富的地质证据。这不仅深化了对RMDSs形成与演化机制的认识,同时也为后续月表火山地貌的微波遥感探测研究提供了有价值的参考。
环形凹陷穹丘(RMDS)是发育于月海玄武岩表面的一类小型穹隆构造。其平均高度仅3~4 m,直径约200 m,形态低缓;因其数量巨大,已成为理解月球火山活动与岩浆热力学行为的重要研究对象。尽管光学遥感观测结果支持RMDSs的火山作用成因机制,但仍有学者提出了其他可能性。因此,其成因的确证仍需更多地质证据的支撑。微波雷达因其穿透性而具备探测月面次表层结构与物理特性的独特优势,然而截至目前,针对RMDSs微波雷达散射特征的研究仍处于空白。该文重点利用星载雷达微型射频仪(Mini-RF)和地基雷达阿雷西博(Arecibo)的S波段(波长12.6 cm)数据,以静海盆地月海表面一RMDSs密集分布区为研究区,开展其雷达后向散射功率和圆极化率(CPR)等特征分析。结果显示:(1)RMDSs以低后向散射功率为基本特征,这与泡沫岩浆成因理论预测的雷达弱散射特征高度吻合。该理论认为,RMDSs表面2~3 m深度范围内覆盖的亚毫米级细粒物质,是导致其呈现低强度雷达散射回波的主要原因;(2)受撞击作用、地形起伏及物质坡移等因素的影响,部分RMDSs局部区域表现出不同程度的后向散射增强特征,但长期风化会弱化这一特征;(3)RMDSs的雷达散射系数及CPR均值统计结果均与火山碎屑堆积物高度接近,这表明二者的表面物理性质相似,其表面物质颗粒尺度应与以微米至毫米级细颗粒为主的火山碎屑物相当。上述研究进一步证实,多波段、高分辨率、多极化雷达数据能够为RMDSs的精细化研究提供更丰富的地质证据。这不仅深化了对RMDSs形成与演化机制的认识,同时也为后续月表火山地貌的微波遥感探测研究提供了有价值的参考。
状态: , 更新:
该文针对星座雷达执行区域搜索任务场景,提出一种面向射频隐身的星座雷达区域搜索能量管控与波位任务调度算法。首先,将区域搜索空域按波位递推生成方式离散为波位集合,将各波位的检测概率信息融合为区域复合检测信息,结合该复合检测信息,推导包含波位先验威胁、几何链路系数与辐射能量分配等参数的区域加权检测概率解析表达式,并将其作为区域搜索任务性能的衡量指标。在此基础上,构建面向射频隐身的星座雷达区域搜索能量管控优化模型,即以最小化星座雷达的总辐射能量为优化目标,以满足预先设定的加权检测概率阈值与波位全覆盖性能要求为约束条件,对波位辐射能量进行优化分配;进一步结合配额感知轮询与补盲调度策略,将波位搜索任务调度至具体天基雷达执行,形成可执行的波位任务调度方案。针对上述优化问题,构造固定总辐射能量下的区域搜索性能函数,并结合外层单调二分搜索与内层Karush–Kuhn–Tucker(KKT)条件求解,形成两步分解求解算法。仿真结果表明,与对比算法相比,所提算法能够有效降低星座雷达系统在区域搜索任务中的总辐射能量,从而降低系统射频暴露风险。
该文针对星座雷达执行区域搜索任务场景,提出一种面向射频隐身的星座雷达区域搜索能量管控与波位任务调度算法。首先,将区域搜索空域按波位递推生成方式离散为波位集合,将各波位的检测概率信息融合为区域复合检测信息,结合该复合检测信息,推导包含波位先验威胁、几何链路系数与辐射能量分配等参数的区域加权检测概率解析表达式,并将其作为区域搜索任务性能的衡量指标。在此基础上,构建面向射频隐身的星座雷达区域搜索能量管控优化模型,即以最小化星座雷达的总辐射能量为优化目标,以满足预先设定的加权检测概率阈值与波位全覆盖性能要求为约束条件,对波位辐射能量进行优化分配;进一步结合配额感知轮询与补盲调度策略,将波位搜索任务调度至具体天基雷达执行,形成可执行的波位任务调度方案。针对上述优化问题,构造固定总辐射能量下的区域搜索性能函数,并结合外层单调二分搜索与内层Karush–Kuhn–Tucker(KKT)条件求解,形成两步分解求解算法。仿真结果表明,与对比算法相比,所提算法能够有效降低星座雷达系统在区域搜索任务中的总辐射能量,从而降低系统射频暴露风险。
状态: , 更新:
在空间态势感知体系中,高动态弱目标的精确探测具有重要意义。然而,目标与雷达的高速相对运动会引发距离与多普勒两维跨单元徙动,传统补偿算法计算复杂度较高,现有底层硬件平台的算力难以满足实时处理需求。为此,提出一种高动态弱目标分级探测算法,并设计了相应的现场可编程门阵列(FPGA)加速架构。算法层面,结合目标短时运动特性及LV氏分布(LVD)的参数解耦优势,构建降维Radon-LV氏分布(RLVD)粗估计与局部精细搜索补偿的级联处理策略,在维持相参积累增益的前提下有效降低计算复杂度;硬件层面,以8通道并行RLVD计算核为核心,设计了端到端的实时处理系统。测试结果表明,在200 MHz系统时钟下,系统以8.41 ms 的全流程时延完成了4通道、单帧32×8192 规模回波数据的实时处理,核心参数解算相对浮点模型的偏差较小,三维定位的最大量化偏差为1.220 m。此外,地基雷达实测数据进一步验证了该架构在实际探测场景中的工程可行性。
在空间态势感知体系中,高动态弱目标的精确探测具有重要意义。然而,目标与雷达的高速相对运动会引发距离与多普勒两维跨单元徙动,传统补偿算法计算复杂度较高,现有底层硬件平台的算力难以满足实时处理需求。为此,提出一种高动态弱目标分级探测算法,并设计了相应的现场可编程门阵列(FPGA)加速架构。算法层面,结合目标短时运动特性及LV氏分布(LVD)的参数解耦优势,构建降维Radon-LV氏分布(RLVD)粗估计与局部精细搜索补偿的级联处理策略,在维持相参积累增益的前提下有效降低计算复杂度;硬件层面,以8通道并行RLVD计算核为核心,设计了端到端的实时处理系统。测试结果表明,在200 MHz系统时钟下,系统以8.41 ms 的全流程时延完成了4通道、单帧32×8192 规模回波数据的实时处理,核心参数解算相对浮点模型的偏差较小,三维定位的最大量化偏差为1.220 m。此外,地基雷达实测数据进一步验证了该架构在实际探测场景中的工程可行性。
状态: , 更新:
穿墙人体目标定位在目标感知及救援等领域具有广泛的应用前景。然而超宽带穿墙雷达系统受到墙体杂波干扰导致目标回波特征模糊,传统方法难以在复杂环境下实现稳定的检测与高精度的定位。尽管基于深度学习的目标定位方法在复杂环境下表现出更优异的性能,但现有方案常依赖于分布式雷达布局,导致系统部署困难、算法实现复杂度高。为解决上述挑战,本研究基于单视角小孔径2发4收超宽带穿墙雷达,提出一种双流时空(DSTS)特征提取与DEtection TRansformer的深度学习网络结构以实现对墙后人体目标位置的确定。该网络以复数距离像作为输入,对其进行时空特征提取并从中构建双流分支:相位域分支提取目标空间角度信息,而幅度域分支反映目标径向距离,从而充分挖掘回波中的目标距离与方位特征。随后,双流分支分别经过多尺度降采样,并引入通道注意力机制进行加权融合,以得到低维特征。最终,将所得低维特征加入位置编码,输入DETR网络中,利用其集合预测特性得到可靠目标定位结果。在实测数据上验证表明,所提方法在多目标且准确定位阈值设为0.7 m时平均精度可达0.79,性能优于4种现有方案。
穿墙人体目标定位在目标感知及救援等领域具有广泛的应用前景。然而超宽带穿墙雷达系统受到墙体杂波干扰导致目标回波特征模糊,传统方法难以在复杂环境下实现稳定的检测与高精度的定位。尽管基于深度学习的目标定位方法在复杂环境下表现出更优异的性能,但现有方案常依赖于分布式雷达布局,导致系统部署困难、算法实现复杂度高。为解决上述挑战,本研究基于单视角小孔径2发4收超宽带穿墙雷达,提出一种双流时空(DSTS)特征提取与DEtection TRansformer的深度学习网络结构以实现对墙后人体目标位置的确定。该网络以复数距离像作为输入,对其进行时空特征提取并从中构建双流分支:相位域分支提取目标空间角度信息,而幅度域分支反映目标径向距离,从而充分挖掘回波中的目标距离与方位特征。随后,双流分支分别经过多尺度降采样,并引入通道注意力机制进行加权融合,以得到低维特征。最终,将所得低维特征加入位置编码,输入DETR网络中,利用其集合预测特性得到可靠目标定位结果。在实测数据上验证表明,所提方法在多目标且准确定位阈值设为0.7 m时平均精度可达0.79,性能优于4种现有方案。
状态: , 更新:
对驾驶员心脏活动的监测可以有效评估其生理和心理状态,然而,现有的心跳感知方法(心电图和远程光电容积描记法)操作烦琐,易受光线影响,并不适用于车载场景。基于毫米波雷达的心跳感知技术虽然具有高精度、非接触等优势,但易受干扰影响。针对上述问题,该文结合射频信号的低频特性、长程动态敏感性、稀疏性,基于自注意力机制设计了一个射频特征提取器,通过构建深度盲源分离网络实现了驾驶员心跳射频特征和车载干扰特征的分离。此外,针对射频信号采集难的问题,该文提出了一种混合-源信号生成策略,通过少量心震描记数据和车载干扰数据合成了训练样本。最后,该文在真实的行车环境中对该方法进行了验证,实验结果表明,系统可实现心率绝对误差4.92 bpm、心搏间期中位数误差65.93 ms的感知精度。
对驾驶员心脏活动的监测可以有效评估其生理和心理状态,然而,现有的心跳感知方法(心电图和远程光电容积描记法)操作烦琐,易受光线影响,并不适用于车载场景。基于毫米波雷达的心跳感知技术虽然具有高精度、非接触等优势,但易受干扰影响。针对上述问题,该文结合射频信号的低频特性、长程动态敏感性、稀疏性,基于自注意力机制设计了一个射频特征提取器,通过构建深度盲源分离网络实现了驾驶员心跳射频特征和车载干扰特征的分离。此外,针对射频信号采集难的问题,该文提出了一种混合-源信号生成策略,通过少量心震描记数据和车载干扰数据合成了训练样本。最后,该文在真实的行车环境中对该方法进行了验证,实验结果表明,系统可实现心率绝对误差4.92 bpm、心搏间期中位数误差65.93 ms的感知精度。
状态: , 更新:
基于多径利用雷达的非视距人体目标行为识别技术在城市作战、智能驾驶、应急救援等领域具有重要的应用价值,现有研究通常基于监督式深度学习框架,存在严重依赖大规模标注样本、抗噪性能有限的问题。为此,该文将多路径传播视作多视角观测信息通道,通过路径分离和时频分析构造等效多视角的人体行为时频谱图,进一步提出物理信息嵌入的多路径对比网络(MuPhyCoNet),一方面将不同路径的多视角时频谱图作为天然的对比学习多路正样本输入,支撑模型自主学习挖掘行为特征,无需依赖大量人工标注;另一方面,引入观测项与预测项两类物理约束并设计物理一致性损失。观测项直接从原始时频谱图计算物理量差别,预测项由投影头回归的物理参数与观测值对齐以验证网络所学物理特性;二者合并,使模型在保持判别能力的同时,提高对噪声和建模误差的鲁棒性。该文在采用超宽带步进变频连续波雷达自采的非视距人体行为数据集(6类动作、共19500 张时频谱图)上,采用“自监督预训练+下游分类器”的策略进行了评估。实验结果表明:在10%标注率设置下,MuPhyCoNet的分类准确率为94.32%,较MoCo v2的72.19%提升了22.13%,同时表现出更优的抗噪声性能。
基于多径利用雷达的非视距人体目标行为识别技术在城市作战、智能驾驶、应急救援等领域具有重要的应用价值,现有研究通常基于监督式深度学习框架,存在严重依赖大规模标注样本、抗噪性能有限的问题。为此,该文将多路径传播视作多视角观测信息通道,通过路径分离和时频分析构造等效多视角的人体行为时频谱图,进一步提出物理信息嵌入的多路径对比网络(MuPhyCoNet),一方面将不同路径的多视角时频谱图作为天然的对比学习多路正样本输入,支撑模型自主学习挖掘行为特征,无需依赖大量人工标注;另一方面,引入观测项与预测项两类物理约束并设计物理一致性损失。观测项直接从原始时频谱图计算物理量差别,预测项由投影头回归的物理参数与观测值对齐以验证网络所学物理特性;二者合并,使模型在保持判别能力的同时,提高对噪声和建模误差的鲁棒性。该文在采用超宽带步进变频连续波雷达自采的非视距人体行为数据集(6类动作、共19500 张时频谱图)上,采用“自监督预训练+下游分类器”的策略进行了评估。实验结果表明:在10%标注率设置下,MuPhyCoNet的分类准确率为94.32%,较MoCo v2的72.19%提升了22.13%,同时表现出更优的抗噪声性能。
状态: , 更新:
传统单干扰站合成孔径雷达(SAR)压制干扰在动目标指示(GMTI)体制下会产生压制盲区,增加目标暴露风险;同时,真实目标的运动会引起方位向能量展宽和位置偏移,进一步提高干扰机对压制范围与功率分配的需求。多干扰站信号级协同方法虽可缓解上述问题,但会增加硬件成本,且仅能针对固定的SAR方位向,增加了站点布防难度。为解决这些问题,该文提出一种基于四相位复合调制的压制干扰信号调控方法。该方法通过运动相位补偿相位生成具有运动目标散焦与偏移特征的虚假点目标,利用子区域定位相位和中心位置调控相位控制各压制子区域的位置,并借助多尺度噪声模板相位调节噪声点的二维尺度。4个相位协同作用,使单台干扰机能够快速生成具备运动目标散焦与偏移特征的多区域、噪声尺度可控的压制干扰,从而实现对周边多个运动目标的同步压制。所生成的压制干扰区域具有与真实运动目标相似的方位向散焦特性,确保噪声点散焦长度接近真实目标散焦长度;噪声干扰的方位向偏移相对于真实目标的位置偏移在误差允许范围内,使得方位向偏移后的压制区域能够有效覆盖运动目标在SAR图像上的成像位置。经多通道相位中心偏置天线-顺轨干涉测量(DPCA-ATI)后,真实运动目标随压制区域被矫正至同一方位向,从而实现对多个运动目标的有效防护。论文理论分析与仿真验证为三通道SAR-GMTI干扰技术提供了可量化的评估依据。
传统单干扰站合成孔径雷达(SAR)压制干扰在动目标指示(GMTI)体制下会产生压制盲区,增加目标暴露风险;同时,真实目标的运动会引起方位向能量展宽和位置偏移,进一步提高干扰机对压制范围与功率分配的需求。多干扰站信号级协同方法虽可缓解上述问题,但会增加硬件成本,且仅能针对固定的SAR方位向,增加了站点布防难度。为解决这些问题,该文提出一种基于四相位复合调制的压制干扰信号调控方法。该方法通过运动相位补偿相位生成具有运动目标散焦与偏移特征的虚假点目标,利用子区域定位相位和中心位置调控相位控制各压制子区域的位置,并借助多尺度噪声模板相位调节噪声点的二维尺度。4个相位协同作用,使单台干扰机能够快速生成具备运动目标散焦与偏移特征的多区域、噪声尺度可控的压制干扰,从而实现对周边多个运动目标的同步压制。所生成的压制干扰区域具有与真实运动目标相似的方位向散焦特性,确保噪声点散焦长度接近真实目标散焦长度;噪声干扰的方位向偏移相对于真实目标的位置偏移在误差允许范围内,使得方位向偏移后的压制区域能够有效覆盖运动目标在SAR图像上的成像位置。经多通道相位中心偏置天线-顺轨干涉测量(DPCA-ATI)后,真实运动目标随压制区域被矫正至同一方位向,从而实现对多个运动目标的有效防护。论文理论分析与仿真验证为三通道SAR-GMTI干扰技术提供了可量化的评估依据。
状态: , 更新:
合成孔径雷达(SAR)图像解译应用场景广泛,SAR飞机检测识别是其中的一个重要分支。由于SAR飞机样本采集与标注难度大,导致可用训练样本稀缺,亟需发展小样本条件下的SAR飞机检测识别方法。然而,SAR复杂成像环境导致目标特征表达不稳定,检测网络难以自适应应对SAR复杂背景的扰动,限制了小样本条件下飞机检测识别的精度。为此,该文提出了一种基于强散射动态原型引导的小样本SAR飞机细粒度检测识别方法,其关键在于将SAR强散射物理先验融入元度量学习框架,从目标特征增强与网络的自适应适配两个层面协同提升检测识别性能。通过动态原型生成模块提取SAR图像强散射点并构建物理注意力掩码,将高层语义特征锚定在目标的物理几何结构上以提取鲁棒的特征表示,并将其与原型自适应融合生成动态原型;进一步设计动态原型引导模块,基于动态原型实现从语义空间到参数空间的映射,分别对网络权重更新、特征输入和预测输出进行自适应调整,提升模型对新类别的快速适应能力。该文方法有效增强了SAR目标特征表征的稳定性并抑制了背景杂波的干扰,在CSAR-AC数据集上的实验结果表明,该文方法在1-shot和5-shot设置下的检测精度均优于主流小样本目标检测算法,显著提升了复杂场景下的小样本SAR飞机目标检测识别性能。
合成孔径雷达(SAR)图像解译应用场景广泛,SAR飞机检测识别是其中的一个重要分支。由于SAR飞机样本采集与标注难度大,导致可用训练样本稀缺,亟需发展小样本条件下的SAR飞机检测识别方法。然而,SAR复杂成像环境导致目标特征表达不稳定,检测网络难以自适应应对SAR复杂背景的扰动,限制了小样本条件下飞机检测识别的精度。为此,该文提出了一种基于强散射动态原型引导的小样本SAR飞机细粒度检测识别方法,其关键在于将SAR强散射物理先验融入元度量学习框架,从目标特征增强与网络的自适应适配两个层面协同提升检测识别性能。通过动态原型生成模块提取SAR图像强散射点并构建物理注意力掩码,将高层语义特征锚定在目标的物理几何结构上以提取鲁棒的特征表示,并将其与原型自适应融合生成动态原型;进一步设计动态原型引导模块,基于动态原型实现从语义空间到参数空间的映射,分别对网络权重更新、特征输入和预测输出进行自适应调整,提升模型对新类别的快速适应能力。该文方法有效增强了SAR目标特征表征的稳定性并抑制了背景杂波的干扰,在CSAR-AC数据集上的实验结果表明,该文方法在1-shot和5-shot设置下的检测精度均优于主流小样本目标检测算法,显著提升了复杂场景下的小样本SAR飞机目标检测识别性能。
状态: , 更新:
雷达微多普勒步态识别系统在对抗攻击条件下的安全边界评估具有重要意义。现有攻击方法大多直接迁移自光学图像领域,忽略了微多普勒谱图在细粒度特征分布和时频结构上的特点,从而导致其在跨模型的黑盒目标攻击场景中的迁移性能受限。为此,该文提出一种面向人体步态微多普勒特征的黑盒目标攻击框架GAC-Attack (Gradient Guidance and Adaptive Cropping Radar Gait Targeted Attack, GAC-Attack)。针对类别间特征分布接近、目标攻击方向易发生语义偏移的问题,构建类间关系引导的鲁棒梯度优化机制。针对判别信息主要集中于局部时频区域的特点,设计自适应局部裁剪机制,以增强扰动对跨模型共享判别特征的干扰能力。该文构建了单动作步态识别数据集与多动作身份识别数据集,并在7种网络架构和7种黑盒目标攻击算法下进行了系统对比实验。结果表明,所提方法在步态数据集和身份数据集上的目标攻击成功率分别较次优基线提升约7%和4%,并在多数模型组合中保持领先,该方法在细粒度复杂场景下的有效性与跨模型迁移稳定性得到验证。
雷达微多普勒步态识别系统在对抗攻击条件下的安全边界评估具有重要意义。现有攻击方法大多直接迁移自光学图像领域,忽略了微多普勒谱图在细粒度特征分布和时频结构上的特点,从而导致其在跨模型的黑盒目标攻击场景中的迁移性能受限。为此,该文提出一种面向人体步态微多普勒特征的黑盒目标攻击框架GAC-Attack (Gradient Guidance and Adaptive Cropping Radar Gait Targeted Attack, GAC-Attack)。针对类别间特征分布接近、目标攻击方向易发生语义偏移的问题,构建类间关系引导的鲁棒梯度优化机制。针对判别信息主要集中于局部时频区域的特点,设计自适应局部裁剪机制,以增强扰动对跨模型共享判别特征的干扰能力。该文构建了单动作步态识别数据集与多动作身份识别数据集,并在7种网络架构和7种黑盒目标攻击算法下进行了系统对比实验。结果表明,所提方法在步态数据集和身份数据集上的目标攻击成功率分别较次优基线提升约7%和4%,并在多数模型组合中保持领先,该方法在细粒度复杂场景下的有效性与跨模型迁移稳定性得到验证。
状态: , 更新:
载频与脉冲间隔随机捷变(RFPA)雷达可通过合成宽带获得高距离分辨率。但是,在长时间相参积累过程中,运动目标容易出现距离徙动(RCM)现象,且RFPA信号固有的随机高旁瓣特性会严重降低雷达对目标的检测和估计性能。针对上述两个问题,该文提出了一种基于非均匀Keystone变换的加窗迭代自适应滤波方法(NUKT-WIAA)。首先,采用非均匀Keystone变换(NUKT)对运动目标进行RCM校正,以实现目标能量的有效积累。然后,对每个距离-多普勒单元为中心的矩形处理窗内的NUKT结果进行迭代自适应滤波(IAA)处理,实现对RFPA信号旁瓣的快速抑制。在迭代过程中,采用强散射点筛选策略提高协方差矩阵的计算效率,从而进一步降低所提算法的计算复杂度。仿真结果表明,在多目标和连续杂波场景下,NUKT-WIAA算法能够以较低的计算量和存储量同时实现对运动目标的徙动校正和旁瓣抑制。
载频与脉冲间隔随机捷变(RFPA)雷达可通过合成宽带获得高距离分辨率。但是,在长时间相参积累过程中,运动目标容易出现距离徙动(RCM)现象,且RFPA信号固有的随机高旁瓣特性会严重降低雷达对目标的检测和估计性能。针对上述两个问题,该文提出了一种基于非均匀Keystone变换的加窗迭代自适应滤波方法(NUKT-WIAA)。首先,采用非均匀Keystone变换(NUKT)对运动目标进行RCM校正,以实现目标能量的有效积累。然后,对每个距离-多普勒单元为中心的矩形处理窗内的NUKT结果进行迭代自适应滤波(IAA)处理,实现对RFPA信号旁瓣的快速抑制。在迭代过程中,采用强散射点筛选策略提高协方差矩阵的计算效率,从而进一步降低所提算法的计算复杂度。仿真结果表明,在多目标和连续杂波场景下,NUKT-WIAA算法能够以较低的计算量和存储量同时实现对运动目标的徙动校正和旁瓣抑制。
状态: , 更新:
低空智能感知技术旨在将低空目标与环境的物理空间转化为可计算的数字空间,是支撑低空经济活动安全有序开展的基础。该文系统分析了当前低空场景下大规模视觉感知、目标感知以及环境感知等技术的发展现状与面临的挑战。针对现有挑战,该文提出了基于数字视网膜端边云协同架构的低空主动感知网,并从整体网络架构、云侧基础模型底座、端侧目标与环境感知技术等维度,详细阐述了其核心机制与关键技术。最后,通过初步实验,验证了该文所提感知网络在空地带宽受限条件下实现高效协同感知计算的有效性。
低空智能感知技术旨在将低空目标与环境的物理空间转化为可计算的数字空间,是支撑低空经济活动安全有序开展的基础。该文系统分析了当前低空场景下大规模视觉感知、目标感知以及环境感知等技术的发展现状与面临的挑战。针对现有挑战,该文提出了基于数字视网膜端边云协同架构的低空主动感知网,并从整体网络架构、云侧基础模型底座、端侧目标与环境感知技术等维度,详细阐述了其核心机制与关键技术。最后,通过初步实验,验证了该文所提感知网络在空地带宽受限条件下实现高效协同感知计算的有效性。
状态: , 更新:
火山时期由流动熔岩冷却凝固形成的月球熔岩管,因其坚硬外壳能够为管内提供稳定、安全的内部环境,被视为未来月球基地建立的理想地点之一。然而熔岩管埋藏地下数百米至数公里,难以直接探测。目前主要依赖雷达与重力异常探测技术,但轨道雷达探测的分辨率不足以分辨相似形态的地下结构,原位探地雷达存在探测范围有限、易受到近场干扰等问题。重力异常探测则难以精准识别南北走向或亚公里级规模的熔岩管。天窗是识别熔岩管的关键标志,可通过光学影像和红外辐射探测热异常进行识别。但光学影像受光照条件制约,难以完整获取天窗的三维几何结构;红外辐射数据受探测深度与分辨率限制(320 m×160 m),难以捕捉深层热异常及约束坑底物质成分。针对天窗探测方法的技术难点,该文探讨了被动微波探测天窗热异常的可行性,利用其穿透性强、对介电性质敏感的优势,能够深入探测次表层热特征并有效约束坑底物质成分。然而,现有被动微波遥感数据在分辨率(公里级)上难以满足对百米级天窗热异常的精准探测。如何提升微波对百米级天窗的识别能力成为当前技术亟须突破的瓶颈之一。
火山时期由流动熔岩冷却凝固形成的月球熔岩管,因其坚硬外壳能够为管内提供稳定、安全的内部环境,被视为未来月球基地建立的理想地点之一。然而熔岩管埋藏地下数百米至数公里,难以直接探测。目前主要依赖雷达与重力异常探测技术,但轨道雷达探测的分辨率不足以分辨相似形态的地下结构,原位探地雷达存在探测范围有限、易受到近场干扰等问题。重力异常探测则难以精准识别南北走向或亚公里级规模的熔岩管。天窗是识别熔岩管的关键标志,可通过光学影像和红外辐射探测热异常进行识别。但光学影像受光照条件制约,难以完整获取天窗的三维几何结构;红外辐射数据受探测深度与分辨率限制(320 m×160 m),难以捕捉深层热异常及约束坑底物质成分。针对天窗探测方法的技术难点,该文探讨了被动微波探测天窗热异常的可行性,利用其穿透性强、对介电性质敏感的优势,能够深入探测次表层热特征并有效约束坑底物质成分。然而,现有被动微波遥感数据在分辨率(公里级)上难以满足对百米级天窗热异常的精准探测。如何提升微波对百米级天窗的识别能力成为当前技术亟须突破的瓶颈之一。
状态: , 更新:
低空目标对机场等空域安全的威胁日趋显著,其精准探测与识别是雷达系统亟待解决的关键问题,而高质量的雷达实测数据集是推进低空目标识别的核心基础。然而,现有公开雷达低空目标数据集多为仿真数据或近距离采集数据,难以真实反映和验证远距离场景下雷达目标识别性能。因此,该文构建了基于全息凝视雷达(HSR)的低空目标探测识别数据集,完成了外场环境下典型低空目标的实测数据采集与识别验证。该数据集涵盖多旋翼无人机、雀类、大型迁徙鸟等典型目标,以及悬停、盘旋、径向飞行等典型运动场景,并且同步提供目标多普勒瀑布图与雷达实测航迹信息(含方位角、俯仰角、径向速度、归一化信噪比),为探索目标精细化特征与运动状态的内在关联提供了数据支撑。在此基础上,该文采用多模态自适应特征融合网络,提取不同目标的多普勒特征与运动学特征并进行融合,验证了区分不同类型低空目标的有效性。
低空目标对机场等空域安全的威胁日趋显著,其精准探测与识别是雷达系统亟待解决的关键问题,而高质量的雷达实测数据集是推进低空目标识别的核心基础。然而,现有公开雷达低空目标数据集多为仿真数据或近距离采集数据,难以真实反映和验证远距离场景下雷达目标识别性能。因此,该文构建了基于全息凝视雷达(HSR)的低空目标探测识别数据集,完成了外场环境下典型低空目标的实测数据采集与识别验证。该数据集涵盖多旋翼无人机、雀类、大型迁徙鸟等典型目标,以及悬停、盘旋、径向飞行等典型运动场景,并且同步提供目标多普勒瀑布图与雷达实测航迹信息(含方位角、俯仰角、径向速度、归一化信噪比),为探索目标精细化特征与运动状态的内在关联提供了数据支撑。在此基础上,该文采用多模态自适应特征融合网络,提取不同目标的多普勒特征与运动学特征并进行融合,验证了区分不同类型低空目标的有效性。
状态: , 更新:
随着人口老龄化趋势加剧,居家养老安全与慢性病监护的需求日益凸显,基于雷达的室内人体轨迹跟踪与生命体征监测技术备受关注。现有研究多采用多输入多输出(MIMO)体制,存在信噪比较低和数据量冗余的局限。与此相比,相控阵雷达凭借更高的信噪比和更少的数据量,在复杂室内环境中表现出更强的感知鲁棒性。然而,现有室内感知系统在应用相控阵雷达时存在两方面局限:一是传统相控阵波束调度策略在跟踪室内近距离高机动人体时易丢失目标;二是难以同步实现轨迹跟踪与生命体征同时监测,且缺乏基于目标运动状态的自适应切换机制。针对以上问题,该文分析了MIMO雷达与相控阵雷达的差异以及不同波束调度策略跟踪室内人体轨迹的平均重访时间性能,提出一种基于相控阵雷达的人体运动状态自适应实时监测方案。该方案根据人体运动状态自适应切换工作模式:在运动状态下,设计了“粗扫-自适应精扫-和差波束测角”策略实时跟踪人体轨迹;在静止状态下,切换至体征监测模式提取呼吸与心跳信息。实验结果表明,该方案能够在室内实现稳定轨迹跟踪与可靠生命体征监测,为室内智能健康监护奠定了基础。
随着人口老龄化趋势加剧,居家养老安全与慢性病监护的需求日益凸显,基于雷达的室内人体轨迹跟踪与生命体征监测技术备受关注。现有研究多采用多输入多输出(MIMO)体制,存在信噪比较低和数据量冗余的局限。与此相比,相控阵雷达凭借更高的信噪比和更少的数据量,在复杂室内环境中表现出更强的感知鲁棒性。然而,现有室内感知系统在应用相控阵雷达时存在两方面局限:一是传统相控阵波束调度策略在跟踪室内近距离高机动人体时易丢失目标;二是难以同步实现轨迹跟踪与生命体征同时监测,且缺乏基于目标运动状态的自适应切换机制。针对以上问题,该文分析了MIMO雷达与相控阵雷达的差异以及不同波束调度策略跟踪室内人体轨迹的平均重访时间性能,提出一种基于相控阵雷达的人体运动状态自适应实时监测方案。该方案根据人体运动状态自适应切换工作模式:在运动状态下,设计了“粗扫-自适应精扫-和差波束测角”策略实时跟踪人体轨迹;在静止状态下,切换至体征监测模式提取呼吸与心跳信息。实验结果表明,该方案能够在室内实现稳定轨迹跟踪与可靠生命体征监测,为室内智能健康监护奠定了基础。
状态: , 更新:
时域数字编码超表面通过对单元散射状态进行时域编码调制,可实现电磁散射频谱重构。该文研究有限时窗离散编码条件下随机和周期两类典型调制方式的散射频谱特性。对于随机调制,推导了平均能量谱相干项与背景项分解的解析形式,阐明了编码统计矩对零频分量抑制与谱展宽的影响。对于周期调制,给出了调制模板傅里叶系数与各阶谐波能量分配之间的映射关系,揭示了谐波能量重构机理。进一步结合超表面单元全波仿真参数,讨论了非理想条件下散射频谱调控性能的变化。
时域数字编码超表面通过对单元散射状态进行时域编码调制,可实现电磁散射频谱重构。该文研究有限时窗离散编码条件下随机和周期两类典型调制方式的散射频谱特性。对于随机调制,推导了平均能量谱相干项与背景项分解的解析形式,阐明了编码统计矩对零频分量抑制与谱展宽的影响。对于周期调制,给出了调制模板傅里叶系数与各阶谐波能量分配之间的映射关系,揭示了谐波能量重构机理。进一步结合超表面单元全波仿真参数,讨论了非理想条件下散射频谱调控性能的变化。
状态: , 更新:
月球叶状陡坎是月表浅层逆冲断层活动形成的小型线性构造,其空间分布与应力特征为揭示月球晚期构造演化提供了关键线索。目前,叶状陡坎的应力特征与雷达散射响应间的关联机制尚不明确。该研究以阿波罗盆地叶状陡坎为研究对象,利用Mini-RF影像提取散射特性参数;然后基于高分辨率数字高程模型采用库仑软件反演区域应力场分布特征;在此基础上,从统计关联角度分析雷达散射特征与应力之间的对应关系,揭示其构造活动性与表面物质响应的关联机制。主要结论如下:(1)断层附近应变显著高于外围,最大剪应变集中于断层倾向方向,体应变显示断层上盘体积膨胀,两端及滑动面中心呈现体积收缩。(2)陡坎面与上盘区域在圆极化比与部分极化分解参数上表现出更强的散射响应,表明这些区域可能存在更高的破碎度、块石暴露或结构复杂性,然而散射差异同时受到表面粗糙度、入射几何条件和后期改造过程的综合影响。(3)基于多元线性回归和随机森林算法进行了散射参数与应力场的回归分析,说明散射特征与应力之间的关联更可能是受地形条件、表面粗糙度及局部构造等共同作用的非线性关系。总体而言,该研究建立了一个面向阿波罗盆地叶状陡坎的雷达-地形联合探索性分析框架,用于评估散射特征与应力指标之间是否存在可量化的统计对应关系,并为相似地质背景下的浅层构造活动研究提供参考。
月球叶状陡坎是月表浅层逆冲断层活动形成的小型线性构造,其空间分布与应力特征为揭示月球晚期构造演化提供了关键线索。目前,叶状陡坎的应力特征与雷达散射响应间的关联机制尚不明确。该研究以阿波罗盆地叶状陡坎为研究对象,利用Mini-RF影像提取散射特性参数;然后基于高分辨率数字高程模型采用库仑软件反演区域应力场分布特征;在此基础上,从统计关联角度分析雷达散射特征与应力之间的对应关系,揭示其构造活动性与表面物质响应的关联机制。主要结论如下:(1)断层附近应变显著高于外围,最大剪应变集中于断层倾向方向,体应变显示断层上盘体积膨胀,两端及滑动面中心呈现体积收缩。(2)陡坎面与上盘区域在圆极化比与部分极化分解参数上表现出更强的散射响应,表明这些区域可能存在更高的破碎度、块石暴露或结构复杂性,然而散射差异同时受到表面粗糙度、入射几何条件和后期改造过程的综合影响。(3)基于多元线性回归和随机森林算法进行了散射参数与应力场的回归分析,说明散射特征与应力之间的关联更可能是受地形条件、表面粗糙度及局部构造等共同作用的非线性关系。总体而言,该研究建立了一个面向阿波罗盆地叶状陡坎的雷达-地形联合探索性分析框架,用于评估散射特征与应力指标之间是否存在可量化的统计对应关系,并为相似地质背景下的浅层构造活动研究提供参考。
状态: , 更新:
人体姿态估计技术能支撑准确获取人体动作与行为特征,在智能监测、人机交互及健康感知等领域展现出广泛的应用潜力。Wi-Fi感知技术因其普遍性、低成本、非接触感知等优势,成为当前人体姿态非接触式感知技术的研究热点。然而,人体活动具有多尺度、非线性及动态变化复杂等特征,不同肢体部位在时间、空间上运动幅度存在显著差异,对姿态估计算法的多尺度特征建模能力提出了更高要求。现有Wi-Fi人体姿态估计算法普遍存在模型参数量大、特征提取不充分的问题,难以在保证计算效率的同时兼顾估计精度,从而限制了其在复杂场景下的应用潜力。针对上述问题,该文设计并优化了一种基于金字塔型空洞卷积的残差网络架构。针对多尺度人体运动特征设计了金字塔型空洞卷积结构单元,该结构能够在保持空间分辨率的同时显著扩大卷积层的感受野,从而有效捕捉多尺度空间与动态变化信息。同时,空洞卷积结构设计能够在一定程度上减少计算量,提升计算效率。为缓解深层网络训练中的梯度消失与模型退化问题,该文进一步设计了残差结构网络,确保模型在深层结构下的特征表达能力与稳定性。为了验证所提方法的有效性,论文设计搭建了完整的多源数据采集系统,可高效获取Wi-Fi姿态估计数据与对应真值数据。实验结果表明,所提方法在人体姿态估计任务中表现优异,MPCK@0.10 指标达到94.96%,优于现有算法,验证了方法的有效性与优越性。
人体姿态估计技术能支撑准确获取人体动作与行为特征,在智能监测、人机交互及健康感知等领域展现出广泛的应用潜力。Wi-Fi感知技术因其普遍性、低成本、非接触感知等优势,成为当前人体姿态非接触式感知技术的研究热点。然而,人体活动具有多尺度、非线性及动态变化复杂等特征,不同肢体部位在时间、空间上运动幅度存在显著差异,对姿态估计算法的多尺度特征建模能力提出了更高要求。现有Wi-Fi人体姿态估计算法普遍存在模型参数量大、特征提取不充分的问题,难以在保证计算效率的同时兼顾估计精度,从而限制了其在复杂场景下的应用潜力。针对上述问题,该文设计并优化了一种基于金字塔型空洞卷积的残差网络架构。针对多尺度人体运动特征设计了金字塔型空洞卷积结构单元,该结构能够在保持空间分辨率的同时显著扩大卷积层的感受野,从而有效捕捉多尺度空间与动态变化信息。同时,空洞卷积结构设计能够在一定程度上减少计算量,提升计算效率。为缓解深层网络训练中的梯度消失与模型退化问题,该文进一步设计了残差结构网络,确保模型在深层结构下的特征表达能力与稳定性。为了验证所提方法的有效性,论文设计搭建了完整的多源数据采集系统,可高效获取Wi-Fi姿态估计数据与对应真值数据。实验结果表明,所提方法在人体姿态估计任务中表现优异,MPCK@0.10 指标达到94.96%,优于现有算法,验证了方法的有效性与优越性。
状态: , 更新:
合成孔径雷达(SAR)利用合成孔径原理实现高分辨微波成像的遥感技术,而SAR图像彩色化是遥感领域一项基础且关键的任务。与光学成像不同,SAR不受云雾干扰,可以实现对地全天候观测。然而,由于其成像原理,SAR图像属于灰度图像,严重缺乏光谱信息,视觉清晰度明显降低。因此,已有大量研究通过赋予SAR图像颜色信息来提高其可解释性。该文将综述现有的SAR图像彩色化技术,并归纳为3类:传统的SAR图像彩色化技术、基于深度学习的SAR-to-Optical图像彩色化技术和基于辐射特性保持的SAR图像彩色化技术。最后总结了其应用场景和未来的发展方向。
合成孔径雷达(SAR)利用合成孔径原理实现高分辨微波成像的遥感技术,而SAR图像彩色化是遥感领域一项基础且关键的任务。与光学成像不同,SAR不受云雾干扰,可以实现对地全天候观测。然而,由于其成像原理,SAR图像属于灰度图像,严重缺乏光谱信息,视觉清晰度明显降低。因此,已有大量研究通过赋予SAR图像颜色信息来提高其可解释性。该文将综述现有的SAR图像彩色化技术,并归纳为3类:传统的SAR图像彩色化技术、基于深度学习的SAR-to-Optical图像彩色化技术和基于辐射特性保持的SAR图像彩色化技术。最后总结了其应用场景和未来的发展方向。
状态: , 更新:
在复杂电磁环境与多目标协同探测需求的驱动下,通过自主协同技术提升雷达探测群的综合效能,已成为雷达协同探测领域的重要研究方向。国内外围绕该方向开展了广泛研究,在理论创新、技术验证与装备应用等方面取得了丰硕成果。该文首先系统梳理了雷达探测群自主协同的概念内涵与核心特征,在此基础上深入剖析了其在工程化实现与效能优化过程中面临的关键技术瓶颈;随后,围绕体系架构设计、协同感知、智能协同决策控制及自主协同演化4个维度,对近年来的代表性研究成果与技术路径进行了综述;最后,对该领域未来发展趋势进行了展望,以期为相关理论研究与工程实践提供参考。
在复杂电磁环境与多目标协同探测需求的驱动下,通过自主协同技术提升雷达探测群的综合效能,已成为雷达协同探测领域的重要研究方向。国内外围绕该方向开展了广泛研究,在理论创新、技术验证与装备应用等方面取得了丰硕成果。该文首先系统梳理了雷达探测群自主协同的概念内涵与核心特征,在此基础上深入剖析了其在工程化实现与效能优化过程中面临的关键技术瓶颈;随后,围绕体系架构设计、协同感知、智能协同决策控制及自主协同演化4个维度,对近年来的代表性研究成果与技术路径进行了综述;最后,对该领域未来发展趋势进行了展望,以期为相关理论研究与工程实践提供参考。
状态: , 更新:
该文提出了一种透射型两比特可编程超表面的设计方法,并基于该超表面实现了多模电磁涡旋波束的生成与动态调控。所设计的超表面单元通过控制所加载PIN二极管的状态,在4.15 GHz中心频率处可以实现插入损耗低至1.2 dB的高效透射及精确的两比特相位量化调控。进一步构建了生成偏折涡旋波束所需的编码方案,并加工制作了超表面样件。近场扫描测试结果表明,该超表面能够生成多种模态的涡旋波束,且具有清晰的螺旋相位特征与环状幅度分布,中心频点处±2阶以内涡旋波束主模纯度均大于0.88;同时进行了远场方向图测试,验证了涡旋波束能够在0°~45°范围内动态扫描,且扫描增益损耗小于3 dB,实测结果与仿真吻合良好。该超表面涡旋波束动态调控方法在雷达成像与无线通信等领域具有较好的应用前景。
该文提出了一种透射型两比特可编程超表面的设计方法,并基于该超表面实现了多模电磁涡旋波束的生成与动态调控。所设计的超表面单元通过控制所加载PIN二极管的状态,在4.15 GHz中心频率处可以实现插入损耗低至1.2 dB的高效透射及精确的两比特相位量化调控。进一步构建了生成偏折涡旋波束所需的编码方案,并加工制作了超表面样件。近场扫描测试结果表明,该超表面能够生成多种模态的涡旋波束,且具有清晰的螺旋相位特征与环状幅度分布,中心频点处±2阶以内涡旋波束主模纯度均大于0.88;同时进行了远场方向图测试,验证了涡旋波束能够在0°~45°范围内动态扫描,且扫描增益损耗小于3 dB,实测结果与仿真吻合良好。该超表面涡旋波束动态调控方法在雷达成像与无线通信等领域具有较好的应用前景。
状态: , 更新:
针对当前光子辅助通感一体(ISAC)系统难以适用于低信噪比、高动态场景的问题,该文提出一种基于多斜率复用的多普勒鲁棒通感一体系统。通过复用多个不同调频斜率的LFM子载波,设计了多斜率复用频移键控线性调频(SDM-FSK-LFM)波形,并结合串行干扰消除技术,在获得高扩频增益的同时倍增通信速率。设计并验证了基于光频梳本振的光子辅助ISAC收发机,实现高频段ISAC信号的产生与光域去斜处理。实验成功产生了Ku频段、带宽1.536 GHz的十载波SDM-FSK-LFM信号。在目标探测方面,实现了分辨率0.05 m的测距,分辨率超过信号带宽限制;在通信方面,实现了95.86 Mbps的背靠背通信速率,7个子载波在0 dB信噪比下误码率(BER)低于10–4,5个子载波在200 kHz多普勒频移下BER低于10–5。该系统具有良好的抗噪能力和多普勒鲁棒性,为高动态场景下的多用户ISAC应用提供了可行解决方案。
针对当前光子辅助通感一体(ISAC)系统难以适用于低信噪比、高动态场景的问题,该文提出一种基于多斜率复用的多普勒鲁棒通感一体系统。通过复用多个不同调频斜率的LFM子载波,设计了多斜率复用频移键控线性调频(SDM-FSK-LFM)波形,并结合串行干扰消除技术,在获得高扩频增益的同时倍增通信速率。设计并验证了基于光频梳本振的光子辅助ISAC收发机,实现高频段ISAC信号的产生与光域去斜处理。实验成功产生了Ku频段、带宽1.536 GHz的十载波SDM-FSK-LFM信号。在目标探测方面,实现了分辨率0.05 m的测距,分辨率超过信号带宽限制;在通信方面,实现了95.86 Mbps的背靠背通信速率,7个子载波在0 dB信噪比下误码率(BER)低于10–4,5个子载波在200 kHz多普勒频移下BER低于10–5。该系统具有良好的抗噪能力和多普勒鲁棒性,为高动态场景下的多用户ISAC应用提供了可行解决方案。
状态: , 更新:
相控阵雷达因其波束灵活扫描、多模式快速切换和参数捷变特性,使得传统基于参数聚类的雷达信号分析方法面临特征参数不稳定、参数空间重叠等问题。基于此,该文从波位划分角度入手进行相控阵雷达信号分析,即从混合脉冲流中还原出属于不同波束位置的脉冲子序列,创造性地提出了一种专家知识与强化学习混合(EK-HRL)框架。该框架首先基于脉冲幅度动态门限对波位进行初步划分,然后将初步划分结果输入人在回路强化学习环境,结合专家知识引导与置信度评估,最终实现波位的精细划分。仿真数据集实验表明:所提方法的波位划分精确率达到92.7%,置信度评估模型表现出良好的校准性,该方法为人机协同解决复杂电磁信号处理问题提供了一种有效的技术路径。
相控阵雷达因其波束灵活扫描、多模式快速切换和参数捷变特性,使得传统基于参数聚类的雷达信号分析方法面临特征参数不稳定、参数空间重叠等问题。基于此,该文从波位划分角度入手进行相控阵雷达信号分析,即从混合脉冲流中还原出属于不同波束位置的脉冲子序列,创造性地提出了一种专家知识与强化学习混合(EK-HRL)框架。该框架首先基于脉冲幅度动态门限对波位进行初步划分,然后将初步划分结果输入人在回路强化学习环境,结合专家知识引导与置信度评估,最终实现波位的精细划分。仿真数据集实验表明:所提方法的波位划分精确率达到92.7%,置信度评估模型表现出良好的校准性,该方法为人机协同解决复杂电磁信号处理问题提供了一种有效的技术路径。
状态: , 更新:
近年来,涡旋电磁波由于其独特的波前分布结构在运动目标探测方面具有重要价值,而准确估计径向多普勒和旋转多普勒频移是对运动目标平动、旋转运动参数进行高精度测量的关键。然而,现有基于涡旋电磁波的多普勒估计方法通常依赖于同时发射多个模态,在高速运动目标场景下需要额外先验信息处理多普勒模糊,并且径向-旋转多普勒分离精度有限。针对前述问题,该文提出了一种基于自适应分段稀疏表征(APWSR)瞬时频率估计的单模态涡旋电磁波径向-旋转多普勒分离方法。通过引入多普勒压缩技术,仅利用单模态回波即可实现径向与旋转多普勒分量的有效分离,并利用APWSR实现高精度瞬时频率估计。在此基础上,进一步提取了目标的平动速度、旋转半径、旋转频率及欧拉角等运动参数。仿真实验验证了所提方法的有效性与稳健性,结果表明,所提方法在多普勒频率与运动参数估计精度方面均优于已有双模态方法。
近年来,涡旋电磁波由于其独特的波前分布结构在运动目标探测方面具有重要价值,而准确估计径向多普勒和旋转多普勒频移是对运动目标平动、旋转运动参数进行高精度测量的关键。然而,现有基于涡旋电磁波的多普勒估计方法通常依赖于同时发射多个模态,在高速运动目标场景下需要额外先验信息处理多普勒模糊,并且径向-旋转多普勒分离精度有限。针对前述问题,该文提出了一种基于自适应分段稀疏表征(APWSR)瞬时频率估计的单模态涡旋电磁波径向-旋转多普勒分离方法。通过引入多普勒压缩技术,仅利用单模态回波即可实现径向与旋转多普勒分量的有效分离,并利用APWSR实现高精度瞬时频率估计。在此基础上,进一步提取了目标的平动速度、旋转半径、旋转频率及欧拉角等运动参数。仿真实验验证了所提方法的有效性与稳健性,结果表明,所提方法在多普勒频率与运动参数估计精度方面均优于已有双模态方法。
状态: , 更新:
多子带融合技术是突破雷达硬件带宽限制、提升图像分辨率的重要途径。相较于非参数化方法,基于散射模型的参数化方法在抑制噪声与实现超分辨成像方面优势显著;然而,现有基于几何绕射理论的模型由于缺乏对目标结构特性的描述,难以准确表征稀疏场景中的人造金属目标的频率响应特性。为此,该文提出一种面向稀疏场景中的人造金属目标的多子带融合方法。首先,构建了简化属性散射中心(SASC)模型,通过引入散射体长度等结构参数对频谱的影响,增强了对复杂结构散射特性的刻画能力。其次,针对该模型的阶数估计问题,提出一种改进的最大奇异值差分准则,以实现模型阶数的稳健判定。在此基础上,进一步设计了一种广义松弛算法,能够对SASC模型进行高精度参数估计,从而完成多子带信号的有效融合。实验结果表明,所提算法在保持目标结构的清晰与完整的基础上,完成了相对于单子带分辨率的6.7倍提升。
多子带融合技术是突破雷达硬件带宽限制、提升图像分辨率的重要途径。相较于非参数化方法,基于散射模型的参数化方法在抑制噪声与实现超分辨成像方面优势显著;然而,现有基于几何绕射理论的模型由于缺乏对目标结构特性的描述,难以准确表征稀疏场景中的人造金属目标的频率响应特性。为此,该文提出一种面向稀疏场景中的人造金属目标的多子带融合方法。首先,构建了简化属性散射中心(SASC)模型,通过引入散射体长度等结构参数对频谱的影响,增强了对复杂结构散射特性的刻画能力。其次,针对该模型的阶数估计问题,提出一种改进的最大奇异值差分准则,以实现模型阶数的稳健判定。在此基础上,进一步设计了一种广义松弛算法,能够对SASC模型进行高精度参数估计,从而完成多子带信号的有效融合。实验结果表明,所提算法在保持目标结构的清晰与完整的基础上,完成了相对于单子带分辨率的6.7倍提升。
状态: , 更新:
对流层延迟是干涉合成孔径雷达(InSAR)的主要误差源之一,尤其在地形复杂或大气异质性强的区域,严重限制了其获取精确地表位移的能力。现有的校正方法或受限于外部数据的粗分辨率,或在对形变与高程关系建模以及处理复杂的湍流效应时能力不足。为此,该文提出了一种基于空间自适应锚点网络的对流层校正方法。该方法利用融合相位稳定性与时序相干性的综合质量指数(CQI),结合空间迭代筛选策略,构建锚点网络,实现数据质量驱动的空间采样。在每个锚点的邻域内,构建局部联合反演模型,在时空域上稳健地分离形变、地形残差和对流层延迟。此外,引入了局部湍流强度(LTI)因子,抑制插值过程中强湍流区域的误差传播。该团队使用夏威夷和青藏高原的Sentinel-1数据进行的验证表明,所提方法将干涉图相位标准差降低了73%以上,显著优于其他方法。校正后InSAR与GPS测量的时序位移之间的均方根误差(RMSE)从44.4 mm降低至9.3 mm,一致性提高了79%。该文所提方法能够有效且鲁棒地校正对流层延迟,提高InSAR测量精度,增强不同地形条件下形变监测的可靠性。
对流层延迟是干涉合成孔径雷达(InSAR)的主要误差源之一,尤其在地形复杂或大气异质性强的区域,严重限制了其获取精确地表位移的能力。现有的校正方法或受限于外部数据的粗分辨率,或在对形变与高程关系建模以及处理复杂的湍流效应时能力不足。为此,该文提出了一种基于空间自适应锚点网络的对流层校正方法。该方法利用融合相位稳定性与时序相干性的综合质量指数(CQI),结合空间迭代筛选策略,构建锚点网络,实现数据质量驱动的空间采样。在每个锚点的邻域内,构建局部联合反演模型,在时空域上稳健地分离形变、地形残差和对流层延迟。此外,引入了局部湍流强度(LTI)因子,抑制插值过程中强湍流区域的误差传播。该团队使用夏威夷和青藏高原的Sentinel-1数据进行的验证表明,所提方法将干涉图相位标准差降低了73%以上,显著优于其他方法。校正后InSAR与GPS测量的时序位移之间的均方根误差(RMSE)从44.4 mm降低至9.3 mm,一致性提高了79%。该文所提方法能够有效且鲁棒地校正对流层延迟,提高InSAR测量精度,增强不同地形条件下形变监测的可靠性。
状态: , 更新:
由于携带轨道角动量(OAM),涡旋电磁波的波前相位结构呈螺旋状,其回波包含受贝塞尔函数调制的幅度项和受目标方位角调制的相位项,基于不同OAM模态可使目标散射点在方位角向得以差异性度量,从而实现目标方位角向高分辨成像。然而,现有方法需使用较多OAM模态对目标进行观测,且不同模态的涡旋回波贝塞尔函数项不一致会导致方位角成像分辨率下降。此外,贝塞尔函数项受目标散射点俯仰角调制,使回波俯仰角-方位角信息强耦合,当目标各散射点俯仰角存在差异时难以对其进行补偿,导致方位角分辨性能进一步急剧下降。因此,该文采用单模态涡旋电磁波观测目标,通过对回波信号进行补偿,将目标散射点方位角信息从回波相位提取至振幅中获得单模态期望信号,弱化俯仰角差异对信号幅度项的影响,从而降低俯仰角差异对方位角成像的影响。同时,利用其振幅时延分辨散射点方位角,从而基于单模态期望信号实现目标距离-方位角二维成像。仿真实验表明,所提方法的方位角分辨率在俯仰角存在差异时仍能接近衍射极限,且具有较好的鲁棒性。
由于携带轨道角动量(OAM),涡旋电磁波的波前相位结构呈螺旋状,其回波包含受贝塞尔函数调制的幅度项和受目标方位角调制的相位项,基于不同OAM模态可使目标散射点在方位角向得以差异性度量,从而实现目标方位角向高分辨成像。然而,现有方法需使用较多OAM模态对目标进行观测,且不同模态的涡旋回波贝塞尔函数项不一致会导致方位角成像分辨率下降。此外,贝塞尔函数项受目标散射点俯仰角调制,使回波俯仰角-方位角信息强耦合,当目标各散射点俯仰角存在差异时难以对其进行补偿,导致方位角分辨性能进一步急剧下降。因此,该文采用单模态涡旋电磁波观测目标,通过对回波信号进行补偿,将目标散射点方位角信息从回波相位提取至振幅中获得单模态期望信号,弱化俯仰角差异对信号幅度项的影响,从而降低俯仰角差异对方位角成像的影响。同时,利用其振幅时延分辨散射点方位角,从而基于单模态期望信号实现目标距离-方位角二维成像。仿真实验表明,所提方法的方位角分辨率在俯仰角存在差异时仍能接近衍射极限,且具有较好的鲁棒性。
状态: , 更新:
涡旋电磁波以其独特的螺旋形相位波前在雷达前视成像领域受到了广泛关注,然而,其贝塞尔函数形式的辐射强度限制了电磁涡旋雷达的作用距离、成像视场和俯仰维信息获取能力。为解决上述问题,该文从雷达前视成像应用所需的辐射场特性出发,设计了一种新的电磁波线性波前调制模式,借鉴涡旋电磁波调控方式,提出了基于均匀线阵的线性波前电磁波调制方法。全波仿真和辐射场特性测量实验结果表明,线性波前电磁波不仅拥有随俯仰角线性变化的波前相位,同时还具有聚合的波束主瓣,有效避免了涡旋电磁波的能量发散和轴向能量空洞问题。此外,线性波前电磁波的辐射场分布与俯仰、方位二维角度相关,基于该特性,该文建立了线性波前雷达前视三维成像模型,提出了基于旋转阵列和后向投影算法的目标俯仰-方位成像方法,并结合距离信息得到了三维成像结果。仿真结果表明,该文所提方法能够实现雷达前视区域目标的三维成像,在多目标场景和低信噪比条件下依然具有较好的成像性能,相较于现有电磁涡旋干涉三维成像方法和阵列实孔径三维成像方法具有明显性能优势。
涡旋电磁波以其独特的螺旋形相位波前在雷达前视成像领域受到了广泛关注,然而,其贝塞尔函数形式的辐射强度限制了电磁涡旋雷达的作用距离、成像视场和俯仰维信息获取能力。为解决上述问题,该文从雷达前视成像应用所需的辐射场特性出发,设计了一种新的电磁波线性波前调制模式,借鉴涡旋电磁波调控方式,提出了基于均匀线阵的线性波前电磁波调制方法。全波仿真和辐射场特性测量实验结果表明,线性波前电磁波不仅拥有随俯仰角线性变化的波前相位,同时还具有聚合的波束主瓣,有效避免了涡旋电磁波的能量发散和轴向能量空洞问题。此外,线性波前电磁波的辐射场分布与俯仰、方位二维角度相关,基于该特性,该文建立了线性波前雷达前视三维成像模型,提出了基于旋转阵列和后向投影算法的目标俯仰-方位成像方法,并结合距离信息得到了三维成像结果。仿真结果表明,该文所提方法能够实现雷达前视区域目标的三维成像,在多目标场景和低信噪比条件下依然具有较好的成像性能,相较于现有电磁涡旋干涉三维成像方法和阵列实孔径三维成像方法具有明显性能优势。
状态: , 更新:
月球皱脊是广泛分布于月表月海区域的重要线状构造,对研究月球应力场演化和火山活动历史具有重要意义。传统的皱脊识别与编目主要依赖人工解译,效率低且主观性强。该文提出了一种基于多模态语义分割的皱脊自动提取方法,通过构建高质量的皱脊遥感图像标注数据集,并引入合成孔径雷达(SAR)数据,通过迭代训练构建了基于DeepLabV3+的多模态语义分割网络WR-Net。该网络引入动态融合模块和注意力机制,有效优化了多模态图像的特征提取与融合过程,显著提升了模型的稳健性与精度。在多模态皱脊测试集上,WR-Net取得了优异的性能(Precision=95.516%, Recall=89.963%, F1-Score=92.657%, MIoU=92.944%)。进一步地,该团队利用WR-Net完成了月球南纬70°至北纬70°范围内皱脊的自动识别与提取,并对结果进行了编目与统计。该文提出的方法不仅适用于皱脊的识别,也为月球及其他行星体上类似线状结构的自动提取提供了有效范式。
月球皱脊是广泛分布于月表月海区域的重要线状构造,对研究月球应力场演化和火山活动历史具有重要意义。传统的皱脊识别与编目主要依赖人工解译,效率低且主观性强。该文提出了一种基于多模态语义分割的皱脊自动提取方法,通过构建高质量的皱脊遥感图像标注数据集,并引入合成孔径雷达(SAR)数据,通过迭代训练构建了基于DeepLabV3+的多模态语义分割网络WR-Net。该网络引入动态融合模块和注意力机制,有效优化了多模态图像的特征提取与融合过程,显著提升了模型的稳健性与精度。在多模态皱脊测试集上,WR-Net取得了优异的性能(Precision=95.516%, Recall=89.963%, F1-Score=92.657%, MIoU=92.944%)。进一步地,该团队利用WR-Net完成了月球南纬70°至北纬70°范围内皱脊的自动识别与提取,并对结果进行了编目与统计。该文提出的方法不仅适用于皱脊的识别,也为月球及其他行星体上类似线状结构的自动提取提供了有效范式。
状态: , 更新:
该文基于互质差分共性阵列研究运动单站的多目标直接定位问题。针对现有基于矩阵范数最小化的运动单站直接定位方法存在虚拟阵元冗余数据利用不充分和运算复杂度高的问题,该文提出了一种融合虚拟阵元冗余数据平均和协方差矩阵缺失元素快速补全的多目标直接定位方法。该方法引入虚拟阵元冗余数据平均技术构建差分共性阵列,并结合孔洞零值填充和Toeplitz矩阵重构恢复协方差矩阵的秩,然后基于核范数与Frobenius范数比值最小化原则,设计基于自适应阈值策略和Toeplitz约束的交替投影迭代算法,以实现虚拟阵列协方差矩阵缺失元素的高效补全,最后应用数据融合算法进行定位。数值仿真表明,所提方法能够在降低运算复杂度的同时提升定位精度,尤其在低信噪比和少观测数据场景中表现优异,有效平衡了定位精度与实时性的需求。
该文基于互质差分共性阵列研究运动单站的多目标直接定位问题。针对现有基于矩阵范数最小化的运动单站直接定位方法存在虚拟阵元冗余数据利用不充分和运算复杂度高的问题,该文提出了一种融合虚拟阵元冗余数据平均和协方差矩阵缺失元素快速补全的多目标直接定位方法。该方法引入虚拟阵元冗余数据平均技术构建差分共性阵列,并结合孔洞零值填充和Toeplitz矩阵重构恢复协方差矩阵的秩,然后基于核范数与Frobenius范数比值最小化原则,设计基于自适应阈值策略和Toeplitz约束的交替投影迭代算法,以实现虚拟阵列协方差矩阵缺失元素的高效补全,最后应用数据融合算法进行定位。数值仿真表明,所提方法能够在降低运算复杂度的同时提升定位精度,尤其在低信噪比和少观测数据场景中表现优异,有效平衡了定位精度与实时性的需求。
状态: , 更新:
针对雷达人体动作识别任务中标注数据不足的问题,该文提出了一种基于多域协同训练的半监督学习方法。该方法融合慢时间-距离域、慢时间-多普勒频率域和距离-多普勒频率域的动作特征,构建决策层集成框架,通过域间一致性评估机制动态调整各域在集成预测中的权重,并设计了分层置信度动态伪标签策略,通过多层次质量评估和动态阈值校准实现伪标签质量与利用率的平衡。此外,该方法引入了特征对齐约束机制,利用快速主成分分析方法提取多域特征的主成分,引导网络模型学习紧凑的特征表示,增强模型的判别能力。在基于随机码雷达的穿墙人体动作数据集上,该文所提方法在5%标注比例下平均识别准确率达到(93.6±1.6)%。在基于调频连续波雷达的室内人体动作数据集上,5%标注比例下平均识别准确率达到(91.3±1.9)%,既高于包括Bi-LSTM, LH-ViT和MFAFN的监督学习方法,也高于包括FixMatch, C-TGAN, MF-Match和LW-HGR的半监督学习方法。实验结果证明该方法在随机码雷达和调频连续波雷达两种不同雷达体制下,以及在穿墙和室内两种不同探测场景下,均表现稳定,验证了其跨体制和跨场景的适应性。此外,基于多域协同训练的半监督学习模型的参数量为1.30 M,浮点计算量为26.16 M,模型大小为5.01 MB,展现出较高的计算效率。
针对雷达人体动作识别任务中标注数据不足的问题,该文提出了一种基于多域协同训练的半监督学习方法。该方法融合慢时间-距离域、慢时间-多普勒频率域和距离-多普勒频率域的动作特征,构建决策层集成框架,通过域间一致性评估机制动态调整各域在集成预测中的权重,并设计了分层置信度动态伪标签策略,通过多层次质量评估和动态阈值校准实现伪标签质量与利用率的平衡。此外,该方法引入了特征对齐约束机制,利用快速主成分分析方法提取多域特征的主成分,引导网络模型学习紧凑的特征表示,增强模型的判别能力。在基于随机码雷达的穿墙人体动作数据集上,该文所提方法在5%标注比例下平均识别准确率达到(93.6±1.6)%。在基于调频连续波雷达的室内人体动作数据集上,5%标注比例下平均识别准确率达到(91.3±1.9)%,既高于包括Bi-LSTM, LH-ViT和MFAFN的监督学习方法,也高于包括FixMatch, C-TGAN, MF-Match和LW-HGR的半监督学习方法。实验结果证明该方法在随机码雷达和调频连续波雷达两种不同雷达体制下,以及在穿墙和室内两种不同探测场景下,均表现稳定,验证了其跨体制和跨场景的适应性。此外,基于多域协同训练的半监督学习模型的参数量为1.30 M,浮点计算量为26.16 M,模型大小为5.01 MB,展现出较高的计算效率。
状态: , 更新:
干扰辨识是提升雷达目标识别系统抗干扰能力的关键环节。相较于单一干扰,复合干扰由于结构复杂、组合形式灵活,其辨识难度显著增加。然而,现有辨识方法大多为数据驱动模型,未引入干扰的先验信息,导致模型在复杂场景下存在性能瓶颈,且可解释性不足;同时,大多方法缺乏噪声抑制机制,在复杂环境下易出现噪声过拟合问题。为此,该文基于不同干扰在时域上的对称性数学先验,提出了一种干扰先验引导的噪声鲁棒雷达复合干扰多标签识别网络。首先,通过由粗到细去噪的策略对复合干扰进行噪声抑制,并优化干扰的先验结构,缓解辨识过程中由噪声引起的过拟合问题;其次,计算自相关对称性得分量化干扰先验强度,并通过对称编码器,将先验强度映射为门控机制,引导干扰特征融合并时序建模;最后,将噪声强度与时序特征联合嵌入到识别网络中,进一步增强模型在不同信噪比条件下的鲁棒性。实验表明,在低信噪比条件下,所提方法对15种间歇采样转发复合干扰和30种复杂复合干扰的平均识别准确率均超过90%,在性能优于最优对比模型的同时,显著降低了模型参数量。
干扰辨识是提升雷达目标识别系统抗干扰能力的关键环节。相较于单一干扰,复合干扰由于结构复杂、组合形式灵活,其辨识难度显著增加。然而,现有辨识方法大多为数据驱动模型,未引入干扰的先验信息,导致模型在复杂场景下存在性能瓶颈,且可解释性不足;同时,大多方法缺乏噪声抑制机制,在复杂环境下易出现噪声过拟合问题。为此,该文基于不同干扰在时域上的对称性数学先验,提出了一种干扰先验引导的噪声鲁棒雷达复合干扰多标签识别网络。首先,通过由粗到细去噪的策略对复合干扰进行噪声抑制,并优化干扰的先验结构,缓解辨识过程中由噪声引起的过拟合问题;其次,计算自相关对称性得分量化干扰先验强度,并通过对称编码器,将先验强度映射为门控机制,引导干扰特征融合并时序建模;最后,将噪声强度与时序特征联合嵌入到识别网络中,进一步增强模型在不同信噪比条件下的鲁棒性。实验表明,在低信噪比条件下,所提方法对15种间歇采样转发复合干扰和30种复杂复合干扰的平均识别准确率均超过90%,在性能优于最优对比模型的同时,显著降低了模型参数量。
状态: , 更新:
携带轨道角动量(OAM)的涡旋电磁波在理论上能够提供无穷多组正交模态和差异性的螺旋波前相位梯度特性,可有效提升无线通信的频谱利用率和雷达的探测感知能力,在无线通信和雷达探测与成像领域均表现出重要的研究价值和应用潜力。然而,多模态涡旋电磁波产生过程中易出现模态间串扰及模态纯度不平衡等问题,严重影响其在通信与雷达探测系统中的性能表现。针对上述问题,该文从数学原理出发,提出了一种基于1比特相位调控的多模态涡旋电磁波生成与优化新方法,可有效实现多模态涡旋电磁波(l = ±1, ±2, ···, ±n, n ∈ N+)的同时生成、模态间串扰抑制以及多模态纯度的一致性提升。为验证所提方法的有效性,该文通过数值仿真实现了16模态(l = ±1 & ±2 & ±3 & ±4 & ±5 & ±6 & ±7 & ±8)涡旋电磁波的复用生成与优化;进一步选取具有代表性的8模态涡旋波(l = ±1 & ±2 & ±3 & ±4)示例,完成了相应透射型超表面设计、仿真、加工与实验验证。仿真与实测结果均表明基于该方法能够稳定产生目标多模态涡旋电磁波,其中模态干扰被有效抑制,各涡旋模态的模态纯度实现一致性优化。该研究为解决多模态涡旋电磁波的串扰与纯度控制难题提供了一条低相位调控复杂度、高灵活性且具有普适性的技术路径,为高容量涡旋通信与高分辨率雷达探测系统提供了创新性的实现方案。
携带轨道角动量(OAM)的涡旋电磁波在理论上能够提供无穷多组正交模态和差异性的螺旋波前相位梯度特性,可有效提升无线通信的频谱利用率和雷达的探测感知能力,在无线通信和雷达探测与成像领域均表现出重要的研究价值和应用潜力。然而,多模态涡旋电磁波产生过程中易出现模态间串扰及模态纯度不平衡等问题,严重影响其在通信与雷达探测系统中的性能表现。针对上述问题,该文从数学原理出发,提出了一种基于1比特相位调控的多模态涡旋电磁波生成与优化新方法,可有效实现多模态涡旋电磁波(l = ±1, ±2, ···, ±n, n ∈ N+)的同时生成、模态间串扰抑制以及多模态纯度的一致性提升。为验证所提方法的有效性,该文通过数值仿真实现了16模态(l = ±1 & ±2 & ±3 & ±4 & ±5 & ±6 & ±7 & ±8)涡旋电磁波的复用生成与优化;进一步选取具有代表性的8模态涡旋波(l = ±1 & ±2 & ±3 & ±4)示例,完成了相应透射型超表面设计、仿真、加工与实验验证。仿真与实测结果均表明基于该方法能够稳定产生目标多模态涡旋电磁波,其中模态干扰被有效抑制,各涡旋模态的模态纯度实现一致性优化。该研究为解决多模态涡旋电磁波的串扰与纯度控制难题提供了一条低相位调控复杂度、高灵活性且具有普适性的技术路径,为高容量涡旋通信与高分辨率雷达探测系统提供了创新性的实现方案。
状态: , 更新:
携带相互正交的轨道角动量(OAM)的多模态涡旋电磁波由于其特殊的幅相特性在通信及雷达领域受到了广泛关注。该文研究了金属目标在近场条件下的多模态涡旋波散射特性。首先,基于环形孔径辐射理论,构建多模态涡旋波入射场模型,利用物理光学法(PO)推导了理想导体圆板的近场散射场。其次定量分析了目标纵向距离、横向位移、几何特征及模态组合参数(起始模态、模态间隔、模态数量)对散射特性的调控规律,并计算了多模态近场涡旋雷达散射截面(NORCS)。研究结果表明相比平面波入射,多模态波束相干叠加后携带了更丰富的空间特征信息。目标对高阶模态能量的截获效率随传播距离增加显著下降;目标的横向位移会引发显著的模态谱串扰,但利用空间位置互补性,通过散射场的矢量叠加可实现目标原始散射特征的有效重构;目标几何形状在尺寸与主瓣相当时会对散射场产生精细调制,随着目标尺寸增大几何形状对散射场的调制作用逐渐减弱。理论计算与仿真结果吻合良好,主模态纯度偏差小于0.0207 ,散射场幅度分布的均方根误差为0.054,验证了理论的准确性。该研究揭示了多模态涡旋波与目标的相互作用机理,可为未来多模态涡旋雷达系统的目标识别与成像设计提供理论支撑。
携带相互正交的轨道角动量(OAM)的多模态涡旋电磁波由于其特殊的幅相特性在通信及雷达领域受到了广泛关注。该文研究了金属目标在近场条件下的多模态涡旋波散射特性。首先,基于环形孔径辐射理论,构建多模态涡旋波入射场模型,利用物理光学法(PO)推导了理想导体圆板的近场散射场。其次定量分析了目标纵向距离、横向位移、几何特征及模态组合参数(起始模态、模态间隔、模态数量)对散射特性的调控规律,并计算了多模态近场涡旋雷达散射截面(NORCS)。研究结果表明相比平面波入射,多模态波束相干叠加后携带了更丰富的空间特征信息。目标对高阶模态能量的截获效率随传播距离增加显著下降;目标的横向位移会引发显著的模态谱串扰,但利用空间位置互补性,通过散射场的矢量叠加可实现目标原始散射特征的有效重构;目标几何形状在尺寸与主瓣相当时会对散射场产生精细调制,随着目标尺寸增大几何形状对散射场的调制作用逐渐减弱。理论计算与仿真结果吻合良好,主模态纯度偏差小于0.0207 ,散射场幅度分布的均方根误差为0.054,验证了理论的准确性。该研究揭示了多模态涡旋波与目标的相互作用机理,可为未来多模态涡旋雷达系统的目标识别与成像设计提供理论支撑。
状态: , 更新:
经典的直方图方法易受反侦察参数的欺骗干扰。针对此问题,该文提出一种对抗反侦察欺骗干扰的分选方法。通过理论推导建立兼容0~50%脉冲丢失率的骨架周期检测机制;进而联合自相关与交叠率实现骨架周期的精准识别,有效区分伪装成固定脉冲重复间隔(PRI)的干扰项,避免分选被误导;同时引入相干鉴别机制以有效应对参数相似场景,并且实现同一框架内兼容固定、参差、滑变及正弦4种PRI调制。实验表明,面对反侦察参数,直方图方法性能骤降,最大降至0,而所提方法性能最低为96.5%;同时,参数相似场景下该方法性能最低为95.31%。该方法无论反侦察参数存在与否,均可有效应对4种调制,显著提升了复杂电磁环境下的分选可靠性,对电子战系统的发展具有重要意义。
经典的直方图方法易受反侦察参数的欺骗干扰。针对此问题,该文提出一种对抗反侦察欺骗干扰的分选方法。通过理论推导建立兼容0~50%脉冲丢失率的骨架周期检测机制;进而联合自相关与交叠率实现骨架周期的精准识别,有效区分伪装成固定脉冲重复间隔(PRI)的干扰项,避免分选被误导;同时引入相干鉴别机制以有效应对参数相似场景,并且实现同一框架内兼容固定、参差、滑变及正弦4种PRI调制。实验表明,面对反侦察参数,直方图方法性能骤降,最大降至0,而所提方法性能最低为96.5%;同时,参数相似场景下该方法性能最低为95.31%。该方法无论反侦察参数存在与否,均可有效应对4种调制,显著提升了复杂电磁环境下的分选可靠性,对电子战系统的发展具有重要意义。
状态: , 更新:
涡旋电磁波雷达利用携带轨道角动量的电磁波进行探测,可以在波束内提供独特的方位分辨能力并增强目标散射信息,在目标检测、成像与识别中具有重要潜力。然而,面对日益复杂的探测场景,传统涡旋电磁波雷达受限于电子器件带宽瓶颈,在宽带信号产生与调控方面面临巨大挑战,难以兼顾高距离分辨率与高方位分辨率。微波光子技术凭借其超宽带、低损耗及抗电磁干扰等天然优势,为突破上述限制提供了有效途径。该文介绍了微波光子宽带涡旋电磁波雷达的研究进展及其在前视成像领域的应用能力。首先,阐述了基于微波光子技术的宽带涡旋电磁信号收发架构与成像机理,深入分析了宽带条件下涡旋电磁波的频率依赖特性及其对成像的影响。其次,梳理了微波光子宽带移相、光控波束形成及宽带信号产生等关键技术,阐明其相较于传统电子方案的显著性能优势。在此基础上,展示了3种典型的微波光子宽带涡旋电磁波雷达系统方案,并通过原理样机实验验证了其在前视场景下的高分辨成像能力。最后,对微波光子宽带涡旋电磁波雷达未来的发展趋势进行了展望。
涡旋电磁波雷达利用携带轨道角动量的电磁波进行探测,可以在波束内提供独特的方位分辨能力并增强目标散射信息,在目标检测、成像与识别中具有重要潜力。然而,面对日益复杂的探测场景,传统涡旋电磁波雷达受限于电子器件带宽瓶颈,在宽带信号产生与调控方面面临巨大挑战,难以兼顾高距离分辨率与高方位分辨率。微波光子技术凭借其超宽带、低损耗及抗电磁干扰等天然优势,为突破上述限制提供了有效途径。该文介绍了微波光子宽带涡旋电磁波雷达的研究进展及其在前视成像领域的应用能力。首先,阐述了基于微波光子技术的宽带涡旋电磁信号收发架构与成像机理,深入分析了宽带条件下涡旋电磁波的频率依赖特性及其对成像的影响。其次,梳理了微波光子宽带移相、光控波束形成及宽带信号产生等关键技术,阐明其相较于传统电子方案的显著性能优势。在此基础上,展示了3种典型的微波光子宽带涡旋电磁波雷达系统方案,并通过原理样机实验验证了其在前视场景下的高分辨成像能力。最后,对微波光子宽带涡旋电磁波雷达未来的发展趋势进行了展望。
状态: , 更新:
针对当前对飞鸟和旋翼无人机(UAVs)识别的迫切需求,该文提出了一种基于涡旋雷达的目标参数提取方法。工作核心聚焦于目标参数获取,在建模与参数提取维度上进行了系统扩展。首先分别对飞鸟主体运动与扑翼行为以及旋翼无人机的旋翼转动与机体结构进行了数学建模与分析,推导了散射点对应的径向多普勒与旋转多普勒频移表达式,并从雷达回波信号中提取微多普勒特征,实现目标参数反演。对于鸟类目标,基于回波信号的频谱峰值提取径向多普勒估计飞行速度,并结合散射点旋转多普勒频移公式,通过短时傅里叶变换(STFT)计算旋转多普勒变化,实现对扑翼长度的估计,在低信噪比(SNR)条件下,扑翼长度估计误差保持在0.03 m以内。对于旋翼无人机目标,首先建立回波信号模型,推导微多普勒频移中径向与旋转分量的解析关系,并结合重构的多普勒信息与距离-时间维度,反演获得欧拉角、旋翼转速、旋翼长度以及机体到旋翼的距离等共6项结构与运动参数,各参数的估计误差显著低于传统基于单一多普勒的方法,其参数提取误差均保持在2%以内。仿真结果表明,该文提出的基于涡旋雷达的鸟类与旋翼无人机参数提取方法能够实现多参数的高精度获取,并在低信噪比条件下仍保持稳定可靠的性能,验证了方法的有效性与工程应用潜力。
针对当前对飞鸟和旋翼无人机(UAVs)识别的迫切需求,该文提出了一种基于涡旋雷达的目标参数提取方法。工作核心聚焦于目标参数获取,在建模与参数提取维度上进行了系统扩展。首先分别对飞鸟主体运动与扑翼行为以及旋翼无人机的旋翼转动与机体结构进行了数学建模与分析,推导了散射点对应的径向多普勒与旋转多普勒频移表达式,并从雷达回波信号中提取微多普勒特征,实现目标参数反演。对于鸟类目标,基于回波信号的频谱峰值提取径向多普勒估计飞行速度,并结合散射点旋转多普勒频移公式,通过短时傅里叶变换(STFT)计算旋转多普勒变化,实现对扑翼长度的估计,在低信噪比(SNR)条件下,扑翼长度估计误差保持在0.03 m以内。对于旋翼无人机目标,首先建立回波信号模型,推导微多普勒频移中径向与旋转分量的解析关系,并结合重构的多普勒信息与距离-时间维度,反演获得欧拉角、旋翼转速、旋翼长度以及机体到旋翼的距离等共6项结构与运动参数,各参数的估计误差显著低于传统基于单一多普勒的方法,其参数提取误差均保持在2%以内。仿真结果表明,该文提出的基于涡旋雷达的鸟类与旋翼无人机参数提取方法能够实现多参数的高精度获取,并在低信噪比条件下仍保持稳定可靠的性能,验证了方法的有效性与工程应用潜力。
状态: , 更新:
轻小型无人机载分布式层析合成孔径雷达(SAR)系统受限于载荷,难以搭载高精度定位定姿系统,且其飞行轨迹易受低空大气湍流影响,导致系统中存在显著的残余时变基线误差,严重降低目标三维重建精度。与飞行高度较高的常规机载重轨三维SAR系统相比,轻小型无人机载分布式层析SAR系统的飞行高度低,对时变基线误差的补偿精度要求更为苛刻。在图像信噪比较低且系统中存在较大的时变基线误差的情况下,现有时变基线估计方法难以获得稳定可靠的估计结果。针对上述问题,该文提出一种基于图像方位偏移量的两步式时变基线误差估计算法。该方法通过分块配准与曲面拟合、子孔径处理两个步骤,依次估计时变基线误差,并采用迭代策略进一步提升估计精度。基于C波段轻小型无人机载分布式层析SAR的实测数据验证结果表明,与EMSP方法相比,所提方法在多数通道上可显著降低子孔径干涉相位差分的均方根值,有效提升通道间相干性,所提方法获得的点云高程向标准差由5.16 m降低至1.33 m,建筑目标的高度重建误差优于0.5 m,验证了所提方法的有效性与优势。
轻小型无人机载分布式层析合成孔径雷达(SAR)系统受限于载荷,难以搭载高精度定位定姿系统,且其飞行轨迹易受低空大气湍流影响,导致系统中存在显著的残余时变基线误差,严重降低目标三维重建精度。与飞行高度较高的常规机载重轨三维SAR系统相比,轻小型无人机载分布式层析SAR系统的飞行高度低,对时变基线误差的补偿精度要求更为苛刻。在图像信噪比较低且系统中存在较大的时变基线误差的情况下,现有时变基线估计方法难以获得稳定可靠的估计结果。针对上述问题,该文提出一种基于图像方位偏移量的两步式时变基线误差估计算法。该方法通过分块配准与曲面拟合、子孔径处理两个步骤,依次估计时变基线误差,并采用迭代策略进一步提升估计精度。基于C波段轻小型无人机载分布式层析SAR的实测数据验证结果表明,与EMSP方法相比,所提方法在多数通道上可显著降低子孔径干涉相位差分的均方根值,有效提升通道间相干性,所提方法获得的点云高程向标准差由5.16 m降低至1.33 m,建筑目标的高度重建误差优于0.5 m,验证了所提方法的有效性与优势。
状态: , 更新:
雷达通过发射波形接收并处理回波信号从而获取目标信息,因此发射波形性能是决定雷达系统性能的关键因素。相比于其他雷达体制,合成孔径雷达(SAR)具有分布式目标场景,大时间带宽积波形,大幅宽远距离成像,距离-方位耦合等独特的工作特性,这对SAR波形设计提出了更高的要求。基于作者在SAR波形编码领域相关的研究工作和思考,该文总结了SAR波形设计近年来国内外的研究现状,讨论了SAR波形设计面临的技术挑战和其在提升系统成像性能上的作用,并展望了未来SAR波形设计的研究和发展趋势。
雷达通过发射波形接收并处理回波信号从而获取目标信息,因此发射波形性能是决定雷达系统性能的关键因素。相比于其他雷达体制,合成孔径雷达(SAR)具有分布式目标场景,大时间带宽积波形,大幅宽远距离成像,距离-方位耦合等独特的工作特性,这对SAR波形设计提出了更高的要求。基于作者在SAR波形编码领域相关的研究工作和思考,该文总结了SAR波形设计近年来国内外的研究现状,讨论了SAR波形设计面临的技术挑战和其在提升系统成像性能上的作用,并展望了未来SAR波形设计的研究和发展趋势。
状态: , 更新:
心率作为反映人体健康的核心生理指标,其精准监测在心律失常筛查、冠心病预警、慢性心衰管理等场景中具有重要临床意义。然而,心跳回波信号易受呼吸运动伪影、环境电磁干扰等耦合影响,导致信号信噪比降低,进而影响心率估计的准确性。针对上述问题,该文充分挖掘不同通道间的共有心跳信息,提出一种基于多变量变分模态分解(MVMD)的多通道联合心率估计方法。该方法首先构建以模态总带宽最小化为目标、以重构残差为约束的多通道联合优化模型;其次,利用多通道频谱峰值的累积效应自适应初始化中心频率,从而在多通道数据中稳健分离出具有频率一致性的心跳模态;最后,依据能量最大准则从分解模态中筛选出心率模态,完成心率估计。基于6名受试者的实测数据验证显示,该文所提出的基于多通道联合估计方法的心率中位误差为1.53 bpm,性能优于传统单通道及现有多通道融合心率估计方法。
心率作为反映人体健康的核心生理指标,其精准监测在心律失常筛查、冠心病预警、慢性心衰管理等场景中具有重要临床意义。然而,心跳回波信号易受呼吸运动伪影、环境电磁干扰等耦合影响,导致信号信噪比降低,进而影响心率估计的准确性。针对上述问题,该文充分挖掘不同通道间的共有心跳信息,提出一种基于多变量变分模态分解(MVMD)的多通道联合心率估计方法。该方法首先构建以模态总带宽最小化为目标、以重构残差为约束的多通道联合优化模型;其次,利用多通道频谱峰值的累积效应自适应初始化中心频率,从而在多通道数据中稳健分离出具有频率一致性的心跳模态;最后,依据能量最大准则从分解模态中筛选出心率模态,完成心率估计。基于6名受试者的实测数据验证显示,该文所提出的基于多通道联合估计方法的心率中位误差为1.53 bpm,性能优于传统单通道及现有多通道融合心率估计方法。
状态: , 更新:
随着毫米波雷达技术在室内目标检测与跟踪领域的广泛应用,多径效应逐渐成为影响目标跟踪精度的关键因素。室内毫米波雷达目标跟踪易受多径效应干扰,而传统点目标跟踪方法忽略目标的扩展特性与多路径传播机制,难以有效抑制由多径引起的虚假目标。为此,该文提出一种基于多径扩展投影的毫米波雷达室内目标跟踪方法(EM-ETT)。首先,采用随机矩阵模型表征目标几何形状,将扩展状态建模为逆Wishart分布;然后,结合蒙特卡罗统计传播机制构建扩展投影框架,通过对真实目标散射点进行非线性多径映射生成鬼影点云,并拟合其扩展状态先验;进一步地,引入目标-路径匹配策略,通过几何一致性与似然评估建立多径传播路径关联,提升状态辨识能力。实测结果表明,在多径干扰的多目标场景下,所提方法能显著提升状态估计精度,有效避免虚假轨迹生成,相比传统点目标跟踪算法在跟踪准确率与鲁棒性方面均具有明显优势。
随着毫米波雷达技术在室内目标检测与跟踪领域的广泛应用,多径效应逐渐成为影响目标跟踪精度的关键因素。室内毫米波雷达目标跟踪易受多径效应干扰,而传统点目标跟踪方法忽略目标的扩展特性与多路径传播机制,难以有效抑制由多径引起的虚假目标。为此,该文提出一种基于多径扩展投影的毫米波雷达室内目标跟踪方法(EM-ETT)。首先,采用随机矩阵模型表征目标几何形状,将扩展状态建模为逆Wishart分布;然后,结合蒙特卡罗统计传播机制构建扩展投影框架,通过对真实目标散射点进行非线性多径映射生成鬼影点云,并拟合其扩展状态先验;进一步地,引入目标-路径匹配策略,通过几何一致性与似然评估建立多径传播路径关联,提升状态辨识能力。实测结果表明,在多径干扰的多目标场景下,所提方法能显著提升状态估计精度,有效避免虚假轨迹生成,相比传统点目标跟踪算法在跟踪准确率与鲁棒性方面均具有明显优势。
状态: , 更新:
针对低慢小(LSS)目标雷达分类中存在的特征提取不充分、时空关联建模能力薄弱及分类性能欠佳等问题,该文围绕图网络特征提取和分类技术开展研究。首先,聚焦数字阵泛探雷达,构建了雷达低慢小目标探测数据集LSS-DAUR-1.0,包含客轮、快艇、直升机、旋翼无人机、鸟类与固定翼无人机6类目标的多普勒和航迹数据。其次,基于该数据集分析了目标的多域多维特性,通过相关性和余弦相似度分析,验证了多普勒特征与物理运动特征的互补性。在此基础上,提出融合双特征的动态图图卷积网络(DG-GCN)分类方法设计自适应窗口调整、混合衰减函数和动态阈值机制,构建时空关联自适应动态图,结合图卷积特征学习和分类模块,实现对低慢小目标的精细化分类。LSS-DAUR-1.0数据集验证表明,DG-GCN分类准确率达99.66%,较ResNet和Transformer模型分别提升6.78%和17.97%,总处理时间仅4.98 ms,较对比模型降低80%以上,兼顾高精度与高效性。此外,噪声环境测试其鲁棒性良好。消融实验验证,动态边权机制可弥补纯时序连接的空间特征关联上不足,提升模型泛化能力。
针对低慢小(LSS)目标雷达分类中存在的特征提取不充分、时空关联建模能力薄弱及分类性能欠佳等问题,该文围绕图网络特征提取和分类技术开展研究。首先,聚焦数字阵泛探雷达,构建了雷达低慢小目标探测数据集LSS-DAUR-1.0,包含客轮、快艇、直升机、旋翼无人机、鸟类与固定翼无人机6类目标的多普勒和航迹数据。其次,基于该数据集分析了目标的多域多维特性,通过相关性和余弦相似度分析,验证了多普勒特征与物理运动特征的互补性。在此基础上,提出融合双特征的动态图图卷积网络(DG-GCN)分类方法设计自适应窗口调整、混合衰减函数和动态阈值机制,构建时空关联自适应动态图,结合图卷积特征学习和分类模块,实现对低慢小目标的精细化分类。LSS-DAUR-1.0数据集验证表明,DG-GCN分类准确率达99.66%,较ResNet和Transformer模型分别提升6.78%和17.97%,总处理时间仅4.98 ms,较对比模型降低80%以上,兼顾高精度与高效性。此外,噪声环境测试其鲁棒性良好。消融实验验证,动态边权机制可弥补纯时序连接的空间特征关联上不足,提升模型泛化能力。
状态: , 更新:
在对运动辐射源定位方面,传统无源定位方法如波达方向(DOA)定位常常依赖较长时间的观测滤波,定位效率低下。而现有基于合成孔径的定位方法大多针对静止辐射源,难以实现对运动辐射源的高精度定位。针对此问题,该文分别针对单/双站定位体制提出了基于合成孔径的运动辐射源快速定位与速度估计方法。该方法通过建立辐射源瞬时斜距模型,解析定位参数(位置、速度)与成像参数的映射关系:单站定位场景下,将传统2阶斜距模型扩展至3阶,通过引入3次调频率补充自由度,实现位置与速度的同步估计;双站定位场景下,利用额外观测站新增两个成像参数,提升定位的快速性与准确性。针对定位方程存在的多解问题,该文分别提出单/双站真实解判定准则,并给出双站定位满足唯一性求解的初始化策略。该文进一步分析了不同因素对单站和双站定位精度的影响,并对所提单/双站无源定位模型进行了性能对比,仿真实验验证了所提算法的有效性。
在对运动辐射源定位方面,传统无源定位方法如波达方向(DOA)定位常常依赖较长时间的观测滤波,定位效率低下。而现有基于合成孔径的定位方法大多针对静止辐射源,难以实现对运动辐射源的高精度定位。针对此问题,该文分别针对单/双站定位体制提出了基于合成孔径的运动辐射源快速定位与速度估计方法。该方法通过建立辐射源瞬时斜距模型,解析定位参数(位置、速度)与成像参数的映射关系:单站定位场景下,将传统2阶斜距模型扩展至3阶,通过引入3次调频率补充自由度,实现位置与速度的同步估计;双站定位场景下,利用额外观测站新增两个成像参数,提升定位的快速性与准确性。针对定位方程存在的多解问题,该文分别提出单/双站真实解判定准则,并给出双站定位满足唯一性求解的初始化策略。该文进一步分析了不同因素对单站和双站定位精度的影响,并对所提单/双站无源定位模型进行了性能对比,仿真实验验证了所提算法的有效性。
状态: , 更新:
雷达自动目标识别性能主要取决于回波信号中的特征质量,发射波形作为主动塑造回波的信息载体,对分类性能具有决定性影响。然而现有波形设计常与分类器优化解耦,忽略两者间的协同,且波形优化准则与分类指标间缺乏直接关联,难以充分提升分类性能;多局限于单站雷达模型,未建立观测视角、发射波形与分类性能之间的联系,亦缺乏节点间的波形协同机制,无法利用空间与波形分集增益。为突破上述局限,该文提出一种面向分布式雷达目标分类的,端到端的“角度-波形匹配”优化框架。该框架将波形参数化,构建为可训练的波形生成模块,并与分类网络级联,从而将孤立的波形设计问题,转化为以分类任务直接驱动的波形与分类器的联合优化。利用目标先验信息对模型进行训练,优化得到与视角相匹配的波形及其适配的分类网络。进一步地,为提升分布式雷达联合分类性能,该文提出了基于非因果状态空间对偶模块的双分支网络,实现多视角信息的提取与融合。实验结果表明,该文所提方法能协同利用波形分集与空间分集,提升分类性能,且在节点缺失的场景下表现出鲁棒性,为分布式雷达智能波形设计提供了新方案。
雷达自动目标识别性能主要取决于回波信号中的特征质量,发射波形作为主动塑造回波的信息载体,对分类性能具有决定性影响。然而现有波形设计常与分类器优化解耦,忽略两者间的协同,且波形优化准则与分类指标间缺乏直接关联,难以充分提升分类性能;多局限于单站雷达模型,未建立观测视角、发射波形与分类性能之间的联系,亦缺乏节点间的波形协同机制,无法利用空间与波形分集增益。为突破上述局限,该文提出一种面向分布式雷达目标分类的,端到端的“角度-波形匹配”优化框架。该框架将波形参数化,构建为可训练的波形生成模块,并与分类网络级联,从而将孤立的波形设计问题,转化为以分类任务直接驱动的波形与分类器的联合优化。利用目标先验信息对模型进行训练,优化得到与视角相匹配的波形及其适配的分类网络。进一步地,为提升分布式雷达联合分类性能,该文提出了基于非因果状态空间对偶模块的双分支网络,实现多视角信息的提取与融合。实验结果表明,该文所提方法能协同利用波形分集与空间分集,提升分类性能,且在节点缺失的场景下表现出鲁棒性,为分布式雷达智能波形设计提供了新方案。
状态: , 更新:
基于探地雷达数据的冰裂隙检测研究对于冰川和气候研究、冰川地区活动安全性具有重要的意义。针对极地环境中冰裂隙纹理特征差异大易误检、检测实时性和检测泛化能力不足等难题,提出一种兼顾高精度与实时性的基于域对抗学习的冰裂隙自动检测方法。基于不同区域、复杂场景下的探地雷达数据,该文通过构建特征提取器与域判别器之间的对抗博弈机制,使模型能够在保持判别性特征提取能力的同时,有效缩小不同数据源之间的分布差异,从而实现跨域特征对齐,提升模型在不同数据源和复杂场景下的鲁棒性与稳定性。在特征提取阶段,设计并构建了基于小波残差网络的冰裂隙特征提取器。该模块通过在残差网络的首层引入可学习的多尺度小波卷积模块,实现在多尺度空间中自适应提取探地雷达数据中的冰裂隙特征,显著增强冰裂隙与连续雪层在特征空间的区分能力。实验基于2015年南极麦克默多剪切带与北极格陵兰岛两个数据集,所提模型的冰裂隙检测平均准确率达95.70%,F1指数达95.50%,虚警率达1.87%,单样本平均推理时间为5.26 ms,满足在冰裂隙数据采集下的裂隙实时预警需求。多项实验结果综合表明,所提方法可在多场景、跨区域探地雷达数据中实现高精度、低虚警率与实时性的统一,适用于保障南极科考通行安全与冰川裂隙检测等场景。
基于探地雷达数据的冰裂隙检测研究对于冰川和气候研究、冰川地区活动安全性具有重要的意义。针对极地环境中冰裂隙纹理特征差异大易误检、检测实时性和检测泛化能力不足等难题,提出一种兼顾高精度与实时性的基于域对抗学习的冰裂隙自动检测方法。基于不同区域、复杂场景下的探地雷达数据,该文通过构建特征提取器与域判别器之间的对抗博弈机制,使模型能够在保持判别性特征提取能力的同时,有效缩小不同数据源之间的分布差异,从而实现跨域特征对齐,提升模型在不同数据源和复杂场景下的鲁棒性与稳定性。在特征提取阶段,设计并构建了基于小波残差网络的冰裂隙特征提取器。该模块通过在残差网络的首层引入可学习的多尺度小波卷积模块,实现在多尺度空间中自适应提取探地雷达数据中的冰裂隙特征,显著增强冰裂隙与连续雪层在特征空间的区分能力。实验基于2015年南极麦克默多剪切带与北极格陵兰岛两个数据集,所提模型的冰裂隙检测平均准确率达95.70%,F1指数达95.50%,虚警率达1.87%,单样本平均推理时间为5.26 ms,满足在冰裂隙数据采集下的裂隙实时预警需求。多项实验结果综合表明,所提方法可在多场景、跨区域探地雷达数据中实现高精度、低虚警率与实时性的统一,适用于保障南极科考通行安全与冰川裂隙检测等场景。
状态: , 更新:
基于海量图文数据预训练的大规模视觉语言模型(VLM)在自然图像领域表现出色,但将其迁移至合成孔径雷达(SAR)图像领域面临两大挑战:一是SAR图像高质量文本标注成本高昂,限制了SAR图文配对数据集的构建;二是SAR图像与光学自然图像在图像特征上存在显著差异,增加了跨域知识迁移难度。针对上述问题,该文提出一种面向SAR图像的视觉语言大模型知识迁移方法。首先,利用配对的SAR与光学遥感图像,借助生成式视觉语言大模型为光学遥感图像自动生成文本描述,从而以较低成本间接构建了SAR图文配对数据集。其次,设计了两阶段迁移策略,将自然图像领域向SAR图像领域的大跨度迁移进行拆解,降低单次迁移难度。最后,在SAR图像零样本场景分类、检索以及目标识别任务上进行实验验证,实验结果表明所提方法能够有效实现视觉语言大模型向SAR图像领域的知识迁移。
基于海量图文数据预训练的大规模视觉语言模型(VLM)在自然图像领域表现出色,但将其迁移至合成孔径雷达(SAR)图像领域面临两大挑战:一是SAR图像高质量文本标注成本高昂,限制了SAR图文配对数据集的构建;二是SAR图像与光学自然图像在图像特征上存在显著差异,增加了跨域知识迁移难度。针对上述问题,该文提出一种面向SAR图像的视觉语言大模型知识迁移方法。首先,利用配对的SAR与光学遥感图像,借助生成式视觉语言大模型为光学遥感图像自动生成文本描述,从而以较低成本间接构建了SAR图文配对数据集。其次,设计了两阶段迁移策略,将自然图像领域向SAR图像领域的大跨度迁移进行拆解,降低单次迁移难度。最后,在SAR图像零样本场景分类、检索以及目标识别任务上进行实验验证,实验结果表明所提方法能够有效实现视觉语言大模型向SAR图像领域的知识迁移。
状态: , 更新:
毫米波雷达因其体积小、分辨率高、穿透能力强等优势,在安全检查、无损检测与穿墙成像等领域得到了广泛应用。高分辨率的毫米波雷达成像需要模拟合成孔径,即利用机械平台的结构化扫描实现二维空间密集采样,该过程在实际应用中耗时较长,因此已有许多研究在稀疏采样条件下对回波数据进行重建并用于成像。然而,现有稀疏恢复方法多依赖均匀随机采样假设,或计算复杂度较高,难以在合成孔径雷达(SAR)成像系统中实际应用。为解决此问题,该文提出一种基于低秩平滑矩阵补全的快速结构化稀疏毫米波三维SAR成像方法。首先,基于近场毫米波SAR成像原理,分析了回波数据所具有的全局低秩性质与局部平滑先验,论证了实际扫描采样中整行或整列缺失导致的结构化稀疏SAR数据具备可恢复性。在此基础上,构建了一种融合低秩与平滑约束的矩阵补全模型,该模型通过核范数与全变差正则化进行联合建模,并在交替方向乘子法(ADMM)框架下实现快速求解。最后,通过多组仿真与实测实验对所提出方法的性能进行验证,实验结果表明,在仅使用20%~30%随机稀疏采样的行或列回波数据下,该文方法即可在数十秒内实现快速数据恢复与高分辨率三维成像。
毫米波雷达因其体积小、分辨率高、穿透能力强等优势,在安全检查、无损检测与穿墙成像等领域得到了广泛应用。高分辨率的毫米波雷达成像需要模拟合成孔径,即利用机械平台的结构化扫描实现二维空间密集采样,该过程在实际应用中耗时较长,因此已有许多研究在稀疏采样条件下对回波数据进行重建并用于成像。然而,现有稀疏恢复方法多依赖均匀随机采样假设,或计算复杂度较高,难以在合成孔径雷达(SAR)成像系统中实际应用。为解决此问题,该文提出一种基于低秩平滑矩阵补全的快速结构化稀疏毫米波三维SAR成像方法。首先,基于近场毫米波SAR成像原理,分析了回波数据所具有的全局低秩性质与局部平滑先验,论证了实际扫描采样中整行或整列缺失导致的结构化稀疏SAR数据具备可恢复性。在此基础上,构建了一种融合低秩与平滑约束的矩阵补全模型,该模型通过核范数与全变差正则化进行联合建模,并在交替方向乘子法(ADMM)框架下实现快速求解。最后,通过多组仿真与实测实验对所提出方法的性能进行验证,实验结果表明,在仅使用20%~30%随机稀疏采样的行或列回波数据下,该文方法即可在数十秒内实现快速数据恢复与高分辨率三维成像。
状态: , 更新:
星载混合极化合成孔径雷达(HP-SAR)作为一种兼顾丰富极化信息获取与高性能成像的体制,具有系统复杂度低、数据获取成本小等优势,已成为多维度微波成像遥感的热点方向。陆地探测一号(LT-1)是中国首颗具备星载混合极化成像能力的雷达卫星,同时也是国际上首颗实现多通道混合极化成像雷达体制的卫星。该研究基于LT-1卫星HP影像,构建并系统阐释了星载HP-SAR评估与分析数据集(HEAD-1.0),填补了高质量开源HP数据集的空白,旨在为HP-SAR影像质量的定量评估、HP-SAR技术的发展及下一代卫星任务设计提供数据保障,尤其支持陆地、海洋与深空等领域的新观测技术发展。该数据集涵盖3部分:(1)LT-1 SAR影像,包含30景混合极化与16景全极化影像,覆盖面积约64000 km2;(2)辅助数据,包括6景光学遥感影像与SAR影像同区域DEM数据;(3)标注数据,包括28个有源/无源定标器、约17 km2地物分类与23个多边形/线形类行星场景的标注。基于HEAD-1.0,该文初步开展了混合极化SAR定标、混合极化/全极化地物分类能力对比及类行星地貌混合极化特征分析等相关工作的定性与定量研究。后续将通过协同多平台、融合多波段、多角度和多时相的成像数据,进一步构建国际先进的极化SAR遥感基准数据库,重点支撑行星表面与次表层探测、多源遥感数据智能融合、SAR影像智能解译算法等关键技术的创新研究。
星载混合极化合成孔径雷达(HP-SAR)作为一种兼顾丰富极化信息获取与高性能成像的体制,具有系统复杂度低、数据获取成本小等优势,已成为多维度微波成像遥感的热点方向。陆地探测一号(LT-1)是中国首颗具备星载混合极化成像能力的雷达卫星,同时也是国际上首颗实现多通道混合极化成像雷达体制的卫星。该研究基于LT-1卫星HP影像,构建并系统阐释了星载HP-SAR评估与分析数据集(HEAD-1.0),填补了高质量开源HP数据集的空白,旨在为HP-SAR影像质量的定量评估、HP-SAR技术的发展及下一代卫星任务设计提供数据保障,尤其支持陆地、海洋与深空等领域的新观测技术发展。该数据集涵盖3部分:(1)LT-1 SAR影像,包含30景混合极化与16景全极化影像,覆盖面积约64000 km2;(2)辅助数据,包括6景光学遥感影像与SAR影像同区域DEM数据;(3)标注数据,包括28个有源/无源定标器、约17 km2地物分类与23个多边形/线形类行星场景的标注。基于HEAD-1.0,该文初步开展了混合极化SAR定标、混合极化/全极化地物分类能力对比及类行星地貌混合极化特征分析等相关工作的定性与定量研究。后续将通过协同多平台、融合多波段、多角度和多时相的成像数据,进一步构建国际先进的极化SAR遥感基准数据库,重点支撑行星表面与次表层探测、多源遥感数据智能融合、SAR影像智能解译算法等关键技术的创新研究。
状态: , 更新:
强化学习是实现认知雷达目标检测的重要手段。现有研究主要面向集中式MIMO雷达设计检测方法,存在观测视角单一的缺陷。针对该问题,该文面向同时具备波形、空间分集的分布式MIMO雷达提出一种基于强化学习的多目标检测方法。该方法在利用空间分集保障目标检测鲁棒性的同时,以波形分集为核心构建了马尔可夫决策过程:首先通过统计信号检测手段感知环境中的目标属性,据此优化发射波形,并利用积累经验更新对环境态势的认知,循环往复,最终稳定获取在目标方向上聚焦的雷达波形,达到优异检测性能。其中,为方便目标定位,该文以形状规则的栅格作为待检测单元推导了多天线相干处理模式下的极大化栅格广义似然比检测器;为实现波形优化,该文设计了常规及强目标限制共两种优化问题,并给出基于连续凸近似的解法。经静态、动态场景的仿真实验表明,所提方法能够实现对环境态势的自主感知,且拥有比对比方法更优的检测性能,尤其在弱目标上表现更佳。
强化学习是实现认知雷达目标检测的重要手段。现有研究主要面向集中式MIMO雷达设计检测方法,存在观测视角单一的缺陷。针对该问题,该文面向同时具备波形、空间分集的分布式MIMO雷达提出一种基于强化学习的多目标检测方法。该方法在利用空间分集保障目标检测鲁棒性的同时,以波形分集为核心构建了马尔可夫决策过程:首先通过统计信号检测手段感知环境中的目标属性,据此优化发射波形,并利用积累经验更新对环境态势的认知,循环往复,最终稳定获取在目标方向上聚焦的雷达波形,达到优异检测性能。其中,为方便目标定位,该文以形状规则的栅格作为待检测单元推导了多天线相干处理模式下的极大化栅格广义似然比检测器;为实现波形优化,该文设计了常规及强目标限制共两种优化问题,并给出基于连续凸近似的解法。经静态、动态场景的仿真实验表明,所提方法能够实现对环境态势的自主感知,且拥有比对比方法更优的检测性能,尤其在弱目标上表现更佳。
状态: , 更新:
月球浅表层结构是理解月球地质演化、物质组成及空间风化过程的重要窗口。随着嫦娥工程等国内外探月任务获得大量雷达数据,月壤层状结构与物性特征的精细刻画成为月球科学研究的重点与难点之一。鉴于现有雷达层位识别与追踪方法在复杂散射环境下易受噪声和非均一性地质条件的影响,该文提出一种基于动态搜索中心的层位自动追踪算法。该算法引入高斯加权预测机制实现历史趋势与当前信号间的平衡,并采用多特征融合决策函数增强噪声环境下的追踪鲁棒性。模拟实验结果表明,当搜索半径l = 20、历史窗口n = 20 时,算法在浅层(<140 ns)层位识别误差小于2%;针对深层(>170 ns)信号衰减问题,引入边缘方向权重可将追踪误差降低30%以上。将所提算法应用于嫦娥四号实测数据,实现了测月雷达剖面层位的自动拾取,所得分层结果与前人研究高度吻合。算法在数值模拟与任务实测穿透雷达数据中均表现优异,能够准确识别不同介质与复杂形态下的真实层位,抑制噪声并保持路径平滑。综上,该文提出的算法实现了低人工依赖、高鲁棒性与高精度的层位自动追踪,对精确识别未来嫦娥7号月球任务与火星浅表层雷达数据中的地下结构,具有重要参考价值。
月球浅表层结构是理解月球地质演化、物质组成及空间风化过程的重要窗口。随着嫦娥工程等国内外探月任务获得大量雷达数据,月壤层状结构与物性特征的精细刻画成为月球科学研究的重点与难点之一。鉴于现有雷达层位识别与追踪方法在复杂散射环境下易受噪声和非均一性地质条件的影响,该文提出一种基于动态搜索中心的层位自动追踪算法。该算法引入高斯加权预测机制实现历史趋势与当前信号间的平衡,并采用多特征融合决策函数增强噪声环境下的追踪鲁棒性。模拟实验结果表明,当搜索半径l = 20、历史窗口n = 20 时,算法在浅层(<140 ns)层位识别误差小于2%;针对深层(>170 ns)信号衰减问题,引入边缘方向权重可将追踪误差降低30%以上。将所提算法应用于嫦娥四号实测数据,实现了测月雷达剖面层位的自动拾取,所得分层结果与前人研究高度吻合。算法在数值模拟与任务实测穿透雷达数据中均表现优异,能够准确识别不同介质与复杂形态下的真实层位,抑制噪声并保持路径平滑。综上,该文提出的算法实现了低人工依赖、高鲁棒性与高精度的层位自动追踪,对精确识别未来嫦娥7号月球任务与火星浅表层雷达数据中的地下结构,具有重要参考价值。
状态: , 更新:
超宽带(UWB) MIMO雷达因其分辨率良好、穿透性强、隐私保护性好以及对光照条件不敏感等优势,在人体智能感知领域展现出巨大潜力,但低图像分辨率导致轮廓模糊、动作难辨。基于以上背景,该文提出一种融合时空特征的人体轮廓恢复与动作识别联合框架(STWTnet)。该方法采用多任务网络框架,利用Res2Net和小波下采样提取雷达图像空间细节特征,并以Transformer建立时空依赖,通过多任务学习共享人体轮廓恢复与动作识别的共性特征,同时避免特征冲突,实现两任务的互补。在自建同步UWB-光学数据集上的实验表明,STWTnet具有较好的动作识别率而且在轮廓精度显著优于现有技术,为隐私友好、全天候的人体行为理解提供了新途径。
超宽带(UWB) MIMO雷达因其分辨率良好、穿透性强、隐私保护性好以及对光照条件不敏感等优势,在人体智能感知领域展现出巨大潜力,但低图像分辨率导致轮廓模糊、动作难辨。基于以上背景,该文提出一种融合时空特征的人体轮廓恢复与动作识别联合框架(STWTnet)。该方法采用多任务网络框架,利用Res2Net和小波下采样提取雷达图像空间细节特征,并以Transformer建立时空依赖,通过多任务学习共享人体轮廓恢复与动作识别的共性特征,同时避免特征冲突,实现两任务的互补。在自建同步UWB-光学数据集上的实验表明,STWTnet具有较好的动作识别率而且在轮廓精度显著优于现有技术,为隐私友好、全天候的人体行为理解提供了新途径。
状态: , 更新:
脉冲多普勒雷达具备全天候工作能力,可通过距离-多普勒(RD)图像同时获取目标的距离与速度信息。在近垂直飞行场景下,RD图的几何结构中蕴含飞行平台的高度、速度及俯仰角等关键运动参数,但这些参数在RD域中呈现明显耦合,传统信号处理方法在复杂地形和近垂直入射条件下难以实现有效解耦。近年来,深度学习在运动信息感知领域展现出显著优势,但多任务学习在该场景下仍难以同时满足实时性与高精度要求。为此,该文提出一种新型的网络结构——RDMFNet,通过共享编码器与并行解码器实现多表征信息融合,并采用两阶段渐进式训练策略,以提高参数估计的精度。实验表明,RDMFNet在高度、速度及俯仰角估计上的误差分别降低至14.447 m, 4.635 m/s和0.755°,展现了其在高精度实时感知中的优势。
脉冲多普勒雷达具备全天候工作能力,可通过距离-多普勒(RD)图像同时获取目标的距离与速度信息。在近垂直飞行场景下,RD图的几何结构中蕴含飞行平台的高度、速度及俯仰角等关键运动参数,但这些参数在RD域中呈现明显耦合,传统信号处理方法在复杂地形和近垂直入射条件下难以实现有效解耦。近年来,深度学习在运动信息感知领域展现出显著优势,但多任务学习在该场景下仍难以同时满足实时性与高精度要求。为此,该文提出一种新型的网络结构——RDMFNet,通过共享编码器与并行解码器实现多表征信息融合,并采用两阶段渐进式训练策略,以提高参数估计的精度。实验表明,RDMFNet在高度、速度及俯仰角估计上的误差分别降低至14.447 m, 4.635 m/s和0.755°,展现了其在高精度实时感知中的优势。
状态: , 更新:
携带轨道角动量(OAM)的涡旋电磁波能够满足现代雷达探测系统对高分辨率、高精度等的需求,而现有OAM波束的产生方法面临多模态纯度受限及阵元间互耦合严重等问题。为解决以上问题,该文首先基于均匀同心圆环阵列设计方法,设计并优化角锥喇叭天线单元,建立了多模态OAM阵列模型,通过双层金属地板设计方法抑制阵列中阵元间的互耦合效应,并对阵列构型进行优化,使其能够生成同指向高纯度的多模态OAM波束;在此基础上,使用遗传算法优化设计生成低旁瓣的多模态OAM波束。全波仿真表明,优化后阵列的有源反射系数低于–10 dB,阵元间互耦合得到显著抑制,所设计的阵列结构稳定,能够进行工程应用,并支持14种模态纯度超过0.92的同指向OAM波束和旁瓣低于–13 dB的OAM波束生成。最后,通过加工、测试与超分辨成像实验仿真验证了所设计阵列的性能。
携带轨道角动量(OAM)的涡旋电磁波能够满足现代雷达探测系统对高分辨率、高精度等的需求,而现有OAM波束的产生方法面临多模态纯度受限及阵元间互耦合严重等问题。为解决以上问题,该文首先基于均匀同心圆环阵列设计方法,设计并优化角锥喇叭天线单元,建立了多模态OAM阵列模型,通过双层金属地板设计方法抑制阵列中阵元间的互耦合效应,并对阵列构型进行优化,使其能够生成同指向高纯度的多模态OAM波束;在此基础上,使用遗传算法优化设计生成低旁瓣的多模态OAM波束。全波仿真表明,优化后阵列的有源反射系数低于–10 dB,阵元间互耦合得到显著抑制,所设计的阵列结构稳定,能够进行工程应用,并支持14种模态纯度超过0.92的同指向OAM波束和旁瓣低于–13 dB的OAM波束生成。最后,通过加工、测试与超分辨成像实验仿真验证了所设计阵列的性能。
状态: , 更新:
相参频率分集阵列(FDA)雷达具有系统结构简单、波束扫描灵活和发射自由度高等优点,在宽覆盖对空探测任务中展现出巨大潜力,但固有的波束扫描机制导致其在特定方向的驻留时间缩短,从而限制了传统宽带波形成像时的距离分辨率。为解决广域搜索与高分辨率成像之间的内在矛盾,该文提出了一种基于深度学习的相参FDA搜索成像一体化波形设计方法。该方法利用相参FDA多自由度灵活发射的优势,在保证宽覆盖搜索能力的同时,为多个感兴趣区域(ROI)定制化地设计波形、带宽、发射增益等多维发射资源。为了解决基带波形设计中恒模与相关性双重约束的非凸优化问题,该文构建了以残差自编码网络为核心优化器,旨在直接学习并建立从初始相位空间到满足预设性能准则的最优相位空间的高维非线性映射关系。该网络能够高效地生成一组在多个ROI方向上同时具备低自相关旁瓣和低互相关电平的相位编码子波形。仿真结果验证了所提方法的有效性,表明其设计的波形在同步执行搜索与多目标成像任务时,(相比于窄带搜索模式)能够在指定ROI方向同时获得发射增益和距离分辨率提升,且自相关与互相关性能相较于传统方法具有显著优势,为提高现代雷达系统的同时多任务探测能力提供了一种有效途径。
相参频率分集阵列(FDA)雷达具有系统结构简单、波束扫描灵活和发射自由度高等优点,在宽覆盖对空探测任务中展现出巨大潜力,但固有的波束扫描机制导致其在特定方向的驻留时间缩短,从而限制了传统宽带波形成像时的距离分辨率。为解决广域搜索与高分辨率成像之间的内在矛盾,该文提出了一种基于深度学习的相参FDA搜索成像一体化波形设计方法。该方法利用相参FDA多自由度灵活发射的优势,在保证宽覆盖搜索能力的同时,为多个感兴趣区域(ROI)定制化地设计波形、带宽、发射增益等多维发射资源。为了解决基带波形设计中恒模与相关性双重约束的非凸优化问题,该文构建了以残差自编码网络为核心优化器,旨在直接学习并建立从初始相位空间到满足预设性能准则的最优相位空间的高维非线性映射关系。该网络能够高效地生成一组在多个ROI方向上同时具备低自相关旁瓣和低互相关电平的相位编码子波形。仿真结果验证了所提方法的有效性,表明其设计的波形在同步执行搜索与多目标成像任务时,(相比于窄带搜索模式)能够在指定ROI方向同时获得发射增益和距离分辨率提升,且自相关与互相关性能相较于传统方法具有显著优势,为提高现代雷达系统的同时多任务探测能力提供了一种有效途径。
状态: , 更新:
阵元-脉冲编码( EPC-MIMO)雷达通过在发射阵元和脉冲间引入相位编码,可实现主瓣欺骗干扰抑制,但仍然无法应对主瓣压制干扰的威胁。对此,该文在EPC-MIMO雷达中加入极化调制,研究了极化阵元-脉冲编码(PEPC-MIMO)雷达体制下的主瓣压制干扰抑制方法。具体而言,基于主值成分追踪(SPCP)分解框架,利用压制干扰在空间-极化联合域的低秩特性,将主瓣压制干扰抑制问题转化为一个“低秩+稀疏”模型的优化问题。随后,利用L-BFGS-AO算法进行迭代求解,实现目标回波和主瓣压制干扰的精准分离。进一步地,提出了一种基于稀疏重构的PEPC-MIMO雷达参数估计方法用于估计目标回波信号的发射角度、接收角度以及目标距离模糊区,从而构造最优的波束形成权矢量对各通道信号进行加权求和。仿真实验验证了所提方法在无先验知识前提下抑制主瓣压制干扰方面的有效性。
阵元-脉冲编码( EPC-MIMO)雷达通过在发射阵元和脉冲间引入相位编码,可实现主瓣欺骗干扰抑制,但仍然无法应对主瓣压制干扰的威胁。对此,该文在EPC-MIMO雷达中加入极化调制,研究了极化阵元-脉冲编码(PEPC-MIMO)雷达体制下的主瓣压制干扰抑制方法。具体而言,基于主值成分追踪(SPCP)分解框架,利用压制干扰在空间-极化联合域的低秩特性,将主瓣压制干扰抑制问题转化为一个“低秩+稀疏”模型的优化问题。随后,利用L-BFGS-AO算法进行迭代求解,实现目标回波和主瓣压制干扰的精准分离。进一步地,提出了一种基于稀疏重构的PEPC-MIMO雷达参数估计方法用于估计目标回波信号的发射角度、接收角度以及目标距离模糊区,从而构造最优的波束形成权矢量对各通道信号进行加权求和。仿真实验验证了所提方法在无先验知识前提下抑制主瓣压制干扰方面的有效性。
状态: , 更新:
该文针对分布式多输入多输出雷达系统中存在的时频同步误差问题,提出了一种基于多时刻测量数据的目标参数与系统时频偏差联合估计方法,突破了传统方法基于单时刻观测与依赖直达波数据的局限,实现了无须直达波的多时刻测量数据融合的高精度参数联合估计。该文采用“闭式解”和“迭代优化”两步策略结合方法,首先利用两阶段加权最小二乘框架构建闭式解,仅使用首尾两个时刻的观测数据获得目标位置、速度及辅助变量的初始估计,该方法显式地对误差项中的二阶分量进行了建模并优化了加权矩阵的构建,有效提高了算法在高误差水平条件下的精确性和鲁棒性;其次,以该闭式解作为初始值,基于多时刻测量数据构建最大似然-最大后验概率目标函数,采用信赖域迭代优化方法进一步优化估计结果,并且实现了时频偏差参数的估计校正。仿真实验表明,所提方法在多种实验误差水平和几何配置下均展现了优于对比方法的性能优势,显著提升了目标定位、测速及时频偏差估计的精度与鲁棒性,具有重要的理论价值与实际应用前景。
该文针对分布式多输入多输出雷达系统中存在的时频同步误差问题,提出了一种基于多时刻测量数据的目标参数与系统时频偏差联合估计方法,突破了传统方法基于单时刻观测与依赖直达波数据的局限,实现了无须直达波的多时刻测量数据融合的高精度参数联合估计。该文采用“闭式解”和“迭代优化”两步策略结合方法,首先利用两阶段加权最小二乘框架构建闭式解,仅使用首尾两个时刻的观测数据获得目标位置、速度及辅助变量的初始估计,该方法显式地对误差项中的二阶分量进行了建模并优化了加权矩阵的构建,有效提高了算法在高误差水平条件下的精确性和鲁棒性;其次,以该闭式解作为初始值,基于多时刻测量数据构建最大似然-最大后验概率目标函数,采用信赖域迭代优化方法进一步优化估计结果,并且实现了时频偏差参数的估计校正。仿真实验表明,所提方法在多种实验误差水平和几何配置下均展现了优于对比方法的性能优势,显著提升了目标定位、测速及时频偏差估计的精度与鲁棒性,具有重要的理论价值与实际应用前景。
状态: , 更新:
空时自适应处理(STAP)是机载雷达地/海杂波抑制和运动目标检测的关键技术。然而,在距离模糊条件下,机载双基地雷达所面临的杂波非平稳性会破坏训练样本的独立同分布假设,导致传统STAP方法性能显著下降。针对该问题,该文首先分析了基于常规波束形成的解模糊方法中存在的主瓣增益损失与旁瓣抑制之间的固有矛盾;继而提出一种基于阻塞矩阵级联自适应波束形成的距离模糊杂波分离方法,虽在一定程度上提升了性能,但因引入噪声畸变而存在局限性。为克服上述方法的不足,该文进一步提出一种基于波束图重构的距离模糊杂波抑制方法。在主瓣杂波估计和子阵处理的基础上,该方法通过构建包含波束保形约束与旁瓣控制项的优化问题,直接设计空域滤波器权值,从而在分离不同模糊距离杂波的同时,有效兼顾主瓣目标增益与低旁瓣性能。随后,对分离后的杂波进行角度-多普勒补偿,并利用子阵级多普勒三通道联合处理空时自适应处理(3DT-STAP)完成最终抑制。仿真结果表明,与典型方法相比,该文所提方法能够更有效地分离不同模糊距离区间的杂波,主瓣凹口宽度显著收窄,且输出信杂噪比损失控制在3 dB以内,显著提升了距离模糊场景下的杂波抑制性能与目标检测能力。
空时自适应处理(STAP)是机载雷达地/海杂波抑制和运动目标检测的关键技术。然而,在距离模糊条件下,机载双基地雷达所面临的杂波非平稳性会破坏训练样本的独立同分布假设,导致传统STAP方法性能显著下降。针对该问题,该文首先分析了基于常规波束形成的解模糊方法中存在的主瓣增益损失与旁瓣抑制之间的固有矛盾;继而提出一种基于阻塞矩阵级联自适应波束形成的距离模糊杂波分离方法,虽在一定程度上提升了性能,但因引入噪声畸变而存在局限性。为克服上述方法的不足,该文进一步提出一种基于波束图重构的距离模糊杂波抑制方法。在主瓣杂波估计和子阵处理的基础上,该方法通过构建包含波束保形约束与旁瓣控制项的优化问题,直接设计空域滤波器权值,从而在分离不同模糊距离杂波的同时,有效兼顾主瓣目标增益与低旁瓣性能。随后,对分离后的杂波进行角度-多普勒补偿,并利用子阵级多普勒三通道联合处理空时自适应处理(3DT-STAP)完成最终抑制。仿真结果表明,与典型方法相比,该文所提方法能够更有效地分离不同模糊距离区间的杂波,主瓣凹口宽度显著收窄,且输出信杂噪比损失控制在3 dB以内,显著提升了距离模糊场景下的杂波抑制性能与目标检测能力。
状态: , 更新:
低仰角目标波达方向(DOA)估计是米波雷达与全息凝视雷达中的关键问题,其估计误差直接影响目标的测高精度。传统波束空间方法通过构建波束形成器,将高维阵元空间数据映射至低维波束空间以降低计算复杂度。然而,该类方法的有损映射会造成部分目标信息丢失,使目标仰角估计精度显著低于阵元空间方法。为解决这一问题,该文提出了一种低仰角目标高精度波束空间DOA估计方法。首先,推导了阵元空间与波束空间中DOA估计的克拉美罗界(CRB),并分析了两者相等所需满足的充分条件。由于该条件在实际应用中难以严格满足,该文进一步提出一种基于近似条件的波束形成器设计方法。该方法在降低数据维度的同时,最大限度保留目标的有效信息。最后,基于最大似然准则实现了目标仰角的精确估计。仿真与实测结果表明,所提方法在显著降低处理数据维度的同时,能够在低仰角观测区域内保持与阵元空间方法相近的估计精度,并优于现有波束空间算法。
低仰角目标波达方向(DOA)估计是米波雷达与全息凝视雷达中的关键问题,其估计误差直接影响目标的测高精度。传统波束空间方法通过构建波束形成器,将高维阵元空间数据映射至低维波束空间以降低计算复杂度。然而,该类方法的有损映射会造成部分目标信息丢失,使目标仰角估计精度显著低于阵元空间方法。为解决这一问题,该文提出了一种低仰角目标高精度波束空间DOA估计方法。首先,推导了阵元空间与波束空间中DOA估计的克拉美罗界(CRB),并分析了两者相等所需满足的充分条件。由于该条件在实际应用中难以严格满足,该文进一步提出一种基于近似条件的波束形成器设计方法。该方法在降低数据维度的同时,最大限度保留目标的有效信息。最后,基于最大似然准则实现了目标仰角的精确估计。仿真与实测结果表明,所提方法在显著降低处理数据维度的同时,能够在低仰角观测区域内保持与阵元空间方法相近的估计精度,并优于现有波束空间算法。
状态: , 更新:
合成孔径雷达(SAR)以其全天时、全天候及高分辨成像优势,在军事侦察与遥感监测等领域发挥着关键作用。然而,现代复杂电磁环境中的多样化干扰手段,严重破坏SAR回波信号特征,导致成像结果出现模糊、失真乃至目标完全不可辨识等问题。鉴于不同类型干扰在形成机理和抑制策略上的本质差异,精确的干扰鉴别成为实现有效抗干扰的核心前提。当前SAR干扰鉴别方法仍面临两大挑战:其一,在干扰信号与目标信号能量相近时,干扰特征易被目标能量掩盖,难以可靠检测与鉴别;其二,现有鉴别网络普遍复杂度过高、实时性差,难以满足实际工程应用需求。针对上述问题,该文提出一种基于轻量化网络的低干信比SAR非虚假目标类有源干扰鉴别网络。该方法创新性地引入了格型变换模块与超核感知模块。其中,格型变换模块旨在强化对干扰目标的细粒度特征提取能力,进而显著提升了低干信比条件下的干扰鉴别性能;超核感知模块则基于点目标成像特性,设计了超核卷积,该卷积在增强上下文信息捕获能力的同时,亦实现了算法的轻量化。实验部分通过多维度评估验证了方法的优越性,包括模块的有效性分析、不同模型的精度-复杂度权衡分析,以及不同干信比下的鲁棒性测试。结果表明,所提方法在低干信比条件下仍能保持较高鉴别性能,同时计算效率满足实时性需求。
合成孔径雷达(SAR)以其全天时、全天候及高分辨成像优势,在军事侦察与遥感监测等领域发挥着关键作用。然而,现代复杂电磁环境中的多样化干扰手段,严重破坏SAR回波信号特征,导致成像结果出现模糊、失真乃至目标完全不可辨识等问题。鉴于不同类型干扰在形成机理和抑制策略上的本质差异,精确的干扰鉴别成为实现有效抗干扰的核心前提。当前SAR干扰鉴别方法仍面临两大挑战:其一,在干扰信号与目标信号能量相近时,干扰特征易被目标能量掩盖,难以可靠检测与鉴别;其二,现有鉴别网络普遍复杂度过高、实时性差,难以满足实际工程应用需求。针对上述问题,该文提出一种基于轻量化网络的低干信比SAR非虚假目标类有源干扰鉴别网络。该方法创新性地引入了格型变换模块与超核感知模块。其中,格型变换模块旨在强化对干扰目标的细粒度特征提取能力,进而显著提升了低干信比条件下的干扰鉴别性能;超核感知模块则基于点目标成像特性,设计了超核卷积,该卷积在增强上下文信息捕获能力的同时,亦实现了算法的轻量化。实验部分通过多维度评估验证了方法的优越性,包括模块的有效性分析、不同模型的精度-复杂度权衡分析,以及不同干信比下的鲁棒性测试。结果表明,所提方法在低干信比条件下仍能保持较高鉴别性能,同时计算效率满足实时性需求。
状态: , 更新:
嫦娥七号将搭载全极化合成孔径雷达,对月球极区地形与物质特性开展探测。极化合成孔径雷达要求极化定标,而传统地面定标方法在月球探测任务中难以应用,需要发展新的月面极化相对定标方法。针对月表相对定标问题,该文采用垂直观测,分析同极化比\begin{document}$ {\sigma _{{\text{HH}}}} $\end{document} /\begin{document}$ {\sigma _{{\text{VV}}}} $\end{document} ,HH和VV相位差与斜坡间关系,提出参数v衡量极化旋转角分布均匀性并用于筛选月球定标场。仿真实验表明,极化旋转角越均匀,极化比分布越趋于1,相位差分布越趋近于0°。该文结合粗糙面电磁散射回波和月船二号实测数据,建立统计模型约束下的定标所需最小观测次数估算方法,为月球极化SAR系统的相对定标提供了理论依据和技术路径。
嫦娥七号将搭载全极化合成孔径雷达,对月球极区地形与物质特性开展探测。极化合成孔径雷达要求极化定标,而传统地面定标方法在月球探测任务中难以应用,需要发展新的月面极化相对定标方法。针对月表相对定标问题,该文采用垂直观测,分析同极化比\begin{document}$ {\sigma _{{\text{HH}}}} $\end{document} /\begin{document}$ {\sigma _{{\text{VV}}}} $\end{document} ,HH和VV相位差与斜坡间关系,提出参数v衡量极化旋转角分布均匀性并用于筛选月球定标场。仿真实验表明,极化旋转角越均匀,极化比分布越趋于1,相位差分布越趋近于0°。该文结合粗糙面电磁散射回波和月船二号实测数据,建立统计模型约束下的定标所需最小观测次数估算方法,为月球极化SAR系统的相对定标提供了理论依据和技术路径。
状态: , 更新:
合成孔径雷达(SAR)和可见光是地球观测领域中两类关键的遥感传感器,其影像匹配在图像融合、协同解译与高精度定位等任务中具有广泛应用。随着对地观测数据的迅猛增长,SAR-光学跨模态影像匹配的重要性日益凸显,相关研究也取得了显著进展。特别是基于深度学习的方法,凭借其在跨模态特征表达与高层语义提取方面的优势,展现出卓越的匹配精度与环境适应能力。然而,现有公开数据集多局限于小尺寸图像块,缺乏涵盖真实大尺度场景的完整影像对,难以全面评估匹配算法在实际遥感场景中的性能,同时也制约了深度学习模型的训练与泛化能力提升。针对上述问题,该文构建并公开发布了OSDataset2.0,一个面向SAR-光学影像匹配任务的大规模基准数据集。该数据集包含两部分:局部训练数据集与全幅场景测试集,局部训练数据集提供覆盖阿根廷、澳大利亚、波兰、德国、俄罗斯、法国、卡塔尔、马来西亚、美国、日本、土耳其、新加坡、印度、中国14个国家的6476块512×512像素的配准图像块,全幅场景测试集则提供一对光学与SAR整景影像。团队为整景影像提供了利用成像机理一致性原则提取出的高精度均匀分布的真值数据,并配套通用评估代码,支持对任意匹配算法进行配准精度的量化分析。为进一步验证数据集的有效性与挑战性,该文在OSDataset2.0上系统评估了11种具有代表性的SAR-光学影像匹配方法,涵盖了传统特征匹配与主流深度学习模型。实验结果表明,该数据集不仅能够有效支撑算法性能对比,还可为后续研究提供可靠的训练资源与统一的评估基准。
合成孔径雷达(SAR)和可见光是地球观测领域中两类关键的遥感传感器,其影像匹配在图像融合、协同解译与高精度定位等任务中具有广泛应用。随着对地观测数据的迅猛增长,SAR-光学跨模态影像匹配的重要性日益凸显,相关研究也取得了显著进展。特别是基于深度学习的方法,凭借其在跨模态特征表达与高层语义提取方面的优势,展现出卓越的匹配精度与环境适应能力。然而,现有公开数据集多局限于小尺寸图像块,缺乏涵盖真实大尺度场景的完整影像对,难以全面评估匹配算法在实际遥感场景中的性能,同时也制约了深度学习模型的训练与泛化能力提升。针对上述问题,该文构建并公开发布了OSDataset2.0,一个面向SAR-光学影像匹配任务的大规模基准数据集。该数据集包含两部分:局部训练数据集与全幅场景测试集,局部训练数据集提供覆盖阿根廷、澳大利亚、波兰、德国、俄罗斯、法国、卡塔尔、马来西亚、美国、日本、土耳其、新加坡、印度、中国14个国家的6476块512×512像素的配准图像块,全幅场景测试集则提供一对光学与SAR整景影像。团队为整景影像提供了利用成像机理一致性原则提取出的高精度均匀分布的真值数据,并配套通用评估代码,支持对任意匹配算法进行配准精度的量化分析。为进一步验证数据集的有效性与挑战性,该文在OSDataset2.0上系统评估了11种具有代表性的SAR-光学影像匹配方法,涵盖了传统特征匹配与主流深度学习模型。实验结果表明,该数据集不仅能够有效支撑算法性能对比,还可为后续研究提供可靠的训练资源与统一的评估基准。
状态: , 更新:
特定辐射源个体识别依赖设备发射信号的“射频指纹”微弱差异识别辐射源所属个体身份属性,是支撑无线安全、频谱管控和态势感知的重要基石。随着无线场景的多样化与动态化,单一域(源域与目标域分布相同)下训练的深度学习模型往往在跨接收机、跨时间等真实环境中性能急剧下降,目前缺乏关于该方面全面、细致的综述。基于此,该文首先对跨场景类型进行分类,然后系统归纳总结主流算法框架及代表性方法,着重剖析每类方法的核心思想与关键技术,并总结了主要开源跨场景数据集,最后指出当前研究的瓶颈与未来可能方向,旨在推动复杂电磁环境下的辐射源个体识别理论和方法研究的新发展。
特定辐射源个体识别依赖设备发射信号的“射频指纹”微弱差异识别辐射源所属个体身份属性,是支撑无线安全、频谱管控和态势感知的重要基石。随着无线场景的多样化与动态化,单一域(源域与目标域分布相同)下训练的深度学习模型往往在跨接收机、跨时间等真实环境中性能急剧下降,目前缺乏关于该方面全面、细致的综述。基于此,该文首先对跨场景类型进行分类,然后系统归纳总结主流算法框架及代表性方法,着重剖析每类方法的核心思想与关键技术,并总结了主要开源跨场景数据集,最后指出当前研究的瓶颈与未来可能方向,旨在推动复杂电磁环境下的辐射源个体识别理论和方法研究的新发展。
状态: , 更新:
高速前斜视(斜视角≥70°)合成孔径雷达(SAR)成像受制于严重的距离多普勒耦合和多普勒空变。传统非线性频调变标(NCS)算法能够在大斜视(斜视角>30°)模式下有效消除多普勒空变,但其推导过程存在近似处理且推导复杂度随阶数急剧增长,难以推广至高阶形式,限制其在高速前斜视SAR系统中的应用。针对这一难题,该文证明基于驻定相位法(POSP)和级数反演法(MSR)进行傅里叶变换(FT)/傅里叶逆变换(IFT)实现方位数据域变换呈现规律性特征,据此提出一种基于低推导复杂度的5阶NCS算法,并针对NCS算法设计几何校正方法。确定斜距模型和NCS阶数,该方法仅需一次FT/IFT的推导即可获得NCS处理后的信号解析式,有效简化多普勒参数线性方程组的构建及NCS参数的求解过程,显著降低算法推导复杂度。基于前斜视成像几何模型,该文提出相应的瞬时投影几何模型,推导适用于NCS算法的几何校正方法。相比传统NCS算法,所提算法在保证计算效率的前提下具备更优的SAR成像性能,仿真与实测数据处理均验证了其在高速前斜视场景下的有效性和优越性。
高速前斜视(斜视角≥70°)合成孔径雷达(SAR)成像受制于严重的距离多普勒耦合和多普勒空变。传统非线性频调变标(NCS)算法能够在大斜视(斜视角>30°)模式下有效消除多普勒空变,但其推导过程存在近似处理且推导复杂度随阶数急剧增长,难以推广至高阶形式,限制其在高速前斜视SAR系统中的应用。针对这一难题,该文证明基于驻定相位法(POSP)和级数反演法(MSR)进行傅里叶变换(FT)/傅里叶逆变换(IFT)实现方位数据域变换呈现规律性特征,据此提出一种基于低推导复杂度的5阶NCS算法,并针对NCS算法设计几何校正方法。确定斜距模型和NCS阶数,该方法仅需一次FT/IFT的推导即可获得NCS处理后的信号解析式,有效简化多普勒参数线性方程组的构建及NCS参数的求解过程,显著降低算法推导复杂度。基于前斜视成像几何模型,该文提出相应的瞬时投影几何模型,推导适用于NCS算法的几何校正方法。相比传统NCS算法,所提算法在保证计算效率的前提下具备更优的SAR成像性能,仿真与实测数据处理均验证了其在高速前斜视场景下的有效性和优越性。
状态: , 更新:
基于合成孔径的无源定位方法具有高的定位精度,但对多个发射线性调频信号的雷达辐射源,由于难以分辨多个在时域和频域均混叠的信号,这会引起信号的相位重叠,导致其定位性能显著下降。针对这个问题,该文提出了一种基于时频参数估计的单星多雷达辐射源合成孔径无源定位方法。首先,构建了多个发射线性调频信号的雷达辐射源信号模型,采用短时傅里叶变换(STFT)与DBSCAN联合估计多个雷达辐射源信号的时频参数,通过STFT结合粗估计与精估计的搜索方式实现方位调频率的快速估计,最终通过距离和方位两维聚焦实现多个雷达辐射源的准确定位。在此基础上,推导了该文所提方法的克拉美罗下界(CRLB)。实验结果表明:与改进实值空时子空间数据融合的直接定位法相比,所提方法在信噪比–10 dB下定位精度提高了约10 km;与基于CLEAN的合成孔径多源定位方法相比,所提方法运算时间缩短一半。
基于合成孔径的无源定位方法具有高的定位精度,但对多个发射线性调频信号的雷达辐射源,由于难以分辨多个在时域和频域均混叠的信号,这会引起信号的相位重叠,导致其定位性能显著下降。针对这个问题,该文提出了一种基于时频参数估计的单星多雷达辐射源合成孔径无源定位方法。首先,构建了多个发射线性调频信号的雷达辐射源信号模型,采用短时傅里叶变换(STFT)与DBSCAN联合估计多个雷达辐射源信号的时频参数,通过STFT结合粗估计与精估计的搜索方式实现方位调频率的快速估计,最终通过距离和方位两维聚焦实现多个雷达辐射源的准确定位。在此基础上,推导了该文所提方法的克拉美罗下界(CRLB)。实验结果表明:与改进实值空时子空间数据融合的直接定位法相比,所提方法在信噪比–10 dB下定位精度提高了约10 km;与基于CLEAN的合成孔径多源定位方法相比,所提方法运算时间缩短一半。
状态: , 更新:
涡旋电磁波雷达(VEWR)利用轨道角动量(OAM)模态的正交性,理论上为突破传统雷达的方位向分辨率限制提供了新的物理维度,从而也为目标微动感知与前视成像开辟了新途径。然而,实际应用中有限可用模态与复杂电磁噪声导致严重的模态混叠和分辨率退化,现有稀疏成像方法普遍存在精度-效率失衡、噪声鲁棒性不足等问题。该文提出一种融合模态相关性加权与自适应正则化(MCW-AR)的超分辨成像框架。首先构建VEWR前视成像几何与波前调制信号模型;进而设计OAM模态相关矩阵量化模态间辐射能量的非均匀分布特性,通过贝塞尔函数幅值加权调制强化主导模态的低秩约束;最终建立联合稀疏性与低秩性的复合优化模型,引入自适应权重机制动态平衡结构保持与噪声抑制,并设计基于交替方向乘子法(ADMM)与增广拉格朗日(ALM)的联合优化框架,其中核心图像更新子问题采用动量加速的二维共轭梯度最小二乘(2D-CGLS)法高效求解。数值仿真与电磁仿真实验表明:该方法在有限模态和强噪声下仍能保持目标结构完整性,计算效率与成像质量得到显著提升。
涡旋电磁波雷达(VEWR)利用轨道角动量(OAM)模态的正交性,理论上为突破传统雷达的方位向分辨率限制提供了新的物理维度,从而也为目标微动感知与前视成像开辟了新途径。然而,实际应用中有限可用模态与复杂电磁噪声导致严重的模态混叠和分辨率退化,现有稀疏成像方法普遍存在精度-效率失衡、噪声鲁棒性不足等问题。该文提出一种融合模态相关性加权与自适应正则化(MCW-AR)的超分辨成像框架。首先构建VEWR前视成像几何与波前调制信号模型;进而设计OAM模态相关矩阵量化模态间辐射能量的非均匀分布特性,通过贝塞尔函数幅值加权调制强化主导模态的低秩约束;最终建立联合稀疏性与低秩性的复合优化模型,引入自适应权重机制动态平衡结构保持与噪声抑制,并设计基于交替方向乘子法(ADMM)与增广拉格朗日(ALM)的联合优化框架,其中核心图像更新子问题采用动量加速的二维共轭梯度最小二乘(2D-CGLS)法高效求解。数值仿真与电磁仿真实验表明:该方法在有限模态和强噪声下仍能保持目标结构完整性,计算效率与成像质量得到显著提升。
状态: , 更新:
高分辨率宽幅(HRWS)成像是未来星载合成孔径雷达(SAR)系统的重要发展方向。多发多收(MIMO) SAR系统具备更高的空间自由度,具有进一步增强系统性能的潜力。然而有效实现MIMO-SAR中不同发射通道回波的分离,是发挥其空间自由度优势的关键前提。该文基于SAR体制中所采用信号的相位特性,以及“走-停”模型中空间-时间特性,设计一种适用于MIMO-SAR体制的新型空时相位编码(STPC)波形。该波形通过相位编码对发射信号在距离向进行调制,并依据预设的编码调制序列,在每个脉冲周期内的不同空间位置处进行信号发射。接收时基于与发射端匹配的编码调制时序,对混叠回波进行解调处理,可实现不同发射通道回波的高效分离。所提方案能够与现有经典的方位多通道重构方法结合,有效缓解了脉冲重复频率(PRF)与回波可分离性之间的矛盾。与现有MIMO-SAR系统中的Alamouti波形、短偏移正交(STSO)波形、分段相位编码(SPC)波形相比,所需天线资源减少近一半,降低了系统硬件实现成本与复杂度。最后,通过点目标与分布场景的仿真实验证明所提波形及处理方案能够有效抑制不同波形之间的干扰信号,具有良好的成像性能。
高分辨率宽幅(HRWS)成像是未来星载合成孔径雷达(SAR)系统的重要发展方向。多发多收(MIMO) SAR系统具备更高的空间自由度,具有进一步增强系统性能的潜力。然而有效实现MIMO-SAR中不同发射通道回波的分离,是发挥其空间自由度优势的关键前提。该文基于SAR体制中所采用信号的相位特性,以及“走-停”模型中空间-时间特性,设计一种适用于MIMO-SAR体制的新型空时相位编码(STPC)波形。该波形通过相位编码对发射信号在距离向进行调制,并依据预设的编码调制序列,在每个脉冲周期内的不同空间位置处进行信号发射。接收时基于与发射端匹配的编码调制时序,对混叠回波进行解调处理,可实现不同发射通道回波的高效分离。所提方案能够与现有经典的方位多通道重构方法结合,有效缓解了脉冲重复频率(PRF)与回波可分离性之间的矛盾。与现有MIMO-SAR系统中的Alamouti波形、短偏移正交(STSO)波形、分段相位编码(SPC)波形相比,所需天线资源减少近一半,降低了系统硬件实现成本与复杂度。最后,通过点目标与分布场景的仿真实验证明所提波形及处理方案能够有效抑制不同波形之间的干扰信号,具有良好的成像性能。
状态: , 更新:
为提高雷达在复杂电磁环境下的干扰识别能力,该文提出一种具备智能化、轻量化以及高实时性3项主要特性的轻量化复合干扰信号识别网络YOLO-S3。首先,提出利用视觉检测算法对雷达干扰的二维时频数据进行识别的技术路线,并基于信号建模仿真技术和短时傅里叶变换构建复合干扰信号图像数据集。其次,通过引入StarNet和SlimNeck重构YOLOv8n的主干及颈部网络,同时设计具有自注意力机制的检测头(SADH),在保证识别精度的同时实现了网络轻量化。最后,通过消融实验和对比实验验证了网络性能。实验结果表明,YOLO-S3具有最轻量化的网络设计。在信干比–10~0 dB范围内随机分布的条件下,当信噪比≥0 dB时,该网络的平均识别精度高达99.5%;当信噪比降至–10 dB时,仍可保持95.5%的平均识别精度,在低信噪比条件下表现出较好的鲁棒性和泛化能力。该文的研究成果为机载雷达信号处理器、便携式电子设备等资源受限平台的实时复合干扰信号识别提供了新的技术途径。
为提高雷达在复杂电磁环境下的干扰识别能力,该文提出一种具备智能化、轻量化以及高实时性3项主要特性的轻量化复合干扰信号识别网络YOLO-S3。首先,提出利用视觉检测算法对雷达干扰的二维时频数据进行识别的技术路线,并基于信号建模仿真技术和短时傅里叶变换构建复合干扰信号图像数据集。其次,通过引入StarNet和SlimNeck重构YOLOv8n的主干及颈部网络,同时设计具有自注意力机制的检测头(SADH),在保证识别精度的同时实现了网络轻量化。最后,通过消融实验和对比实验验证了网络性能。实验结果表明,YOLO-S3具有最轻量化的网络设计。在信干比–10~0 dB范围内随机分布的条件下,当信噪比≥0 dB时,该网络的平均识别精度高达99.5%;当信噪比降至–10 dB时,仍可保持95.5%的平均识别精度,在低信噪比条件下表现出较好的鲁棒性和泛化能力。该文的研究成果为机载雷达信号处理器、便携式电子设备等资源受限平台的实时复合干扰信号识别提供了新的技术途径。
状态: , 更新:
非合作双基地雷达凭借其抗隐身、抗干扰等特性,在民用与军用领域具有重要应用价值。然而在实际应用中,不可控雷达辐射源及复杂地理环境导致参考信号中不可避免地混入多径干扰与噪声污染,致使参考信号与回波信号互相关处理检测性能显著劣化于理想最优匹配滤波器,并产生固定虚假目标,成为制约非合作双基地雷达实战应用的瓶颈问题。该文针对该问题展开系统性研究:首先分析了参考通道存在多径和噪声时的互相关结果,定量分析了参考通道中多径强度和噪声功率与检测概率的映射关系。其次针对线性调频信号,提出了一种基于去斜解调的参考通道多径抑制算法,该算法利用线性调频信号特性,将不同时延的多径分量转化为显著的频率偏移,相同多径分量相较于现有主流分数阶傅里叶变化产生更大频移效果,能以显著降低滤波器阶数实现相当的抑制效果,得益于更彻底的信号分离度,相较于常规算法该算法在整体上能更有效地提升目标检测概率。在强多径淹没直达波的实际外场试验场景下,实测数据处理结果验证了所提方法在消除虚假目标、修正距离偏移和提升目标检测概率方面的有效性。
非合作双基地雷达凭借其抗隐身、抗干扰等特性,在民用与军用领域具有重要应用价值。然而在实际应用中,不可控雷达辐射源及复杂地理环境导致参考信号中不可避免地混入多径干扰与噪声污染,致使参考信号与回波信号互相关处理检测性能显著劣化于理想最优匹配滤波器,并产生固定虚假目标,成为制约非合作双基地雷达实战应用的瓶颈问题。该文针对该问题展开系统性研究:首先分析了参考通道存在多径和噪声时的互相关结果,定量分析了参考通道中多径强度和噪声功率与检测概率的映射关系。其次针对线性调频信号,提出了一种基于去斜解调的参考通道多径抑制算法,该算法利用线性调频信号特性,将不同时延的多径分量转化为显著的频率偏移,相同多径分量相较于现有主流分数阶傅里叶变化产生更大频移效果,能以显著降低滤波器阶数实现相当的抑制效果,得益于更彻底的信号分离度,相较于常规算法该算法在整体上能更有效地提升目标检测概率。在强多径淹没直达波的实际外场试验场景下,实测数据处理结果验证了所提方法在消除虚假目标、修正距离偏移和提升目标检测概率方面的有效性。
状态: , 更新:
针对无人机集群对组网雷达实施航迹欺骗过程中因平台故障、损毁等导致生成虚假航迹中断的问题,提出面向航迹欺骗的无人机集群任务分配与飞行路径联合博弈优化算法。首先,基于去中心化的集群协作机制,构建针对组网雷达的无人机集群航迹欺骗合作博弈模型。在此基础上,根据组网雷达同源检验准则,以最大化无人机集群航迹欺骗博弈效用函数为优化目标,以满足集群动力学性能与任务分配限制为约束条件,建立无人机集群航迹欺骗博弈优化模型,并通过严格势博弈理论证明纳什均衡解的存在性与收敛性。针对上述非凸、非线性混合整数优化问题,采用基于分布式联盟博弈和遗传算法的迭代算法进行求解。仿真结果表明,与现有算法相比,所提算法能够在平台故障、损毁等情况下,对无人机集群欺骗干扰任务和飞行路径进行联合重规划,提升针对组网雷达生成虚假航迹的连续性和航迹欺骗效果。
针对无人机集群对组网雷达实施航迹欺骗过程中因平台故障、损毁等导致生成虚假航迹中断的问题,提出面向航迹欺骗的无人机集群任务分配与飞行路径联合博弈优化算法。首先,基于去中心化的集群协作机制,构建针对组网雷达的无人机集群航迹欺骗合作博弈模型。在此基础上,根据组网雷达同源检验准则,以最大化无人机集群航迹欺骗博弈效用函数为优化目标,以满足集群动力学性能与任务分配限制为约束条件,建立无人机集群航迹欺骗博弈优化模型,并通过严格势博弈理论证明纳什均衡解的存在性与收敛性。针对上述非凸、非线性混合整数优化问题,采用基于分布式联盟博弈和遗传算法的迭代算法进行求解。仿真结果表明,与现有算法相比,所提算法能够在平台故障、损毁等情况下,对无人机集群欺骗干扰任务和飞行路径进行联合重规划,提升针对组网雷达生成虚假航迹的连续性和航迹欺骗效果。
作者中心
专家审稿
责编办公
编辑办公
摘要
1550KB
微信 | 公众平台 