基于弱监督小波KAN网络的弱标注辐射源识别算法

刘康晟 凌青 闫文君 张立民 于柯远 刘恒燕

刘康晟, 凌青, 闫文君, 等. 基于弱监督小波KAN网络的弱标注辐射源识别算法[J]. 雷达学报(中英文), 2025, 14(2): 338–352. doi: 10.12000/JR24248
引用本文: 刘康晟, 凌青, 闫文君, 等. 基于弱监督小波KAN网络的弱标注辐射源识别算法[J]. 雷达学报(中英文), 2025, 14(2): 338–352. doi: 10.12000/JR24248
LIU Kangsheng, LING Qing, YAN Wenjun, et al. Weak labeling-specific emitter identification algorithm based on the weakly supervised Wav-KAN network[J]. Journal of Radars, 2025, 14(2): 338–352. doi: 10.12000/JR24248
Citation: LIU Kangsheng, LING Qing, YAN Wenjun, et al. Weak labeling-specific emitter identification algorithm based on the weakly supervised Wav-KAN network[J]. Journal of Radars, 2025, 14(2): 338–352. doi: 10.12000/JR24248

基于弱监督小波KAN网络的弱标注辐射源识别算法

DOI: 10.12000/JR24248 CSTR: 32380.14.JR24248
基金项目: 国家自然科学基金(62371465),泰山学者工程专项经费基金(ts201511020),山东省青创团队资助(2022KJ084)
详细信息
    作者简介:

    刘康晟,硕士生,主要研究方向为特定辐射源识别、信号智能处理

    凌 青,博士,教授,主要研究方向为信号智能处理

    闫文君,博士,副教授,主要研究方向为空时分组码检测、信号智能处理

    张立民,教授,博士生导师,主要研究方向为卫星信号处理及应用、信号智能处理

    于柯远,博士,讲师,主要研究方向为信号智能处理

    刘恒燕,博士,讲师,主要研究方向为LDPC译码

    通讯作者:

    凌青 linqing19870522@163.com

    闫文君 wj_yan@foxmail.com

    责任主编:朱卫纲 Corresponding Editor: ZHU Weigang

  • 中图分类号: TN911.7

Weak Labeling-specific Emitter Identification Algorithm Based on the Weakly Supervised Wav-KAN Network

Funds: The National Natural Science Foundation of China (62371465), The Taishan Scholars Project Special Fund (ts201511020), Youth Innovation Teams in Shandong Province Fund (2022KJ084)
More Information
  • 摘要: 当前辐射源个体识别技术多数基于有监督学习条件下开展,不适应由于采集环境(天气条件、地形和障碍物、干扰源)、器件性能(雷达分辨率、信号处理能力、硬件故障)、标注者水平等因素导致的大范围标签缺失的情形。该文提出了一种基于弱监督小波KAN (WSW-KAN)网络的弱标注辐射源识别算法。该算法首先结合KAN网络独有的边缘函数可学习特性和小波函数的多分辨率分析特性,构建WSW-KAN基线网络;然后将弱标注数据集拆分为小样本有标注数据集和大样本无标注数据集,利用小样本有标注数据集初步训练模型;最后在预训练模型基础上,基于自适应感知伪标签加权选择方法(APLWS),采用对比学习方法提取无标签数据特征并迭代训练,从而有效提高模型的泛化能力。基于真实采集雷达数据集验证,该文所提出的算法对特定辐射源个体识别精度达到95%左右,且算法效率高、参数规模小、适应能力强,能够满足实际场景的需求。

     

  • 图  1  MLP与KAN网络结构对比

    Figure  1.  Comparison of MLP and KAN network structure

    图  2  基于WSW-KAN网络的弱标注辐射源识别算法整体结构

    Figure  2.  Overall structure of weak label emitter identification algorithm based on WSW-KAN network

    图  3  WSW-KAN网络结构

    Figure  3.  WSW-KAN network structure

    图  4  采集环境设计

    Figure  4.  Acquisition environment design

    图  5  实验数据集信噪比值分布

    Figure  5.  SNR distribution in experimental data sets

    图  6  预训练阶段不同网络模型的迭代次数与识别精度关系曲线图

    Figure  6.  The relationship between the number of iterations and the identification accuracy of different network models in the pre-training stage

    图  7  预训练阶段各网络混淆矩阵

    Figure  7.  Network confusion matrixs in pre-training stage

    图  8  对比学习阶段不同网络模型的迭代次数与识别精度关系曲线图

    Figure  8.  The relationship between the number of iterations and the identification accuracy of different network models in the contrastive learning stage

    图  9  对比学习阶段各网络混淆矩阵

    Figure  9.  Network confusion matrixs in contrastive learning stage

    图  10  自适应感知伪标签加权选择算法消融实验迭代次数与识别精度关系曲线图

    Figure  10.  The relationship between the number of iterations and the identification accuracy of adaptive pseudo-label weighted selection algorithm ablation study

    图  11  各算法处理情形混淆矩阵

    Figure  11.  Confusion matrixs of all algorithm processing cases

    图  12  不同小波基函数效果对比

    Figure  12.  The comparison of the effect of different wavelet basis functions

    图  13  伪标签阈值参数对识别精度的影响

    Figure  13.  The effect of identification accuracy of pseudo-label threshold parameters

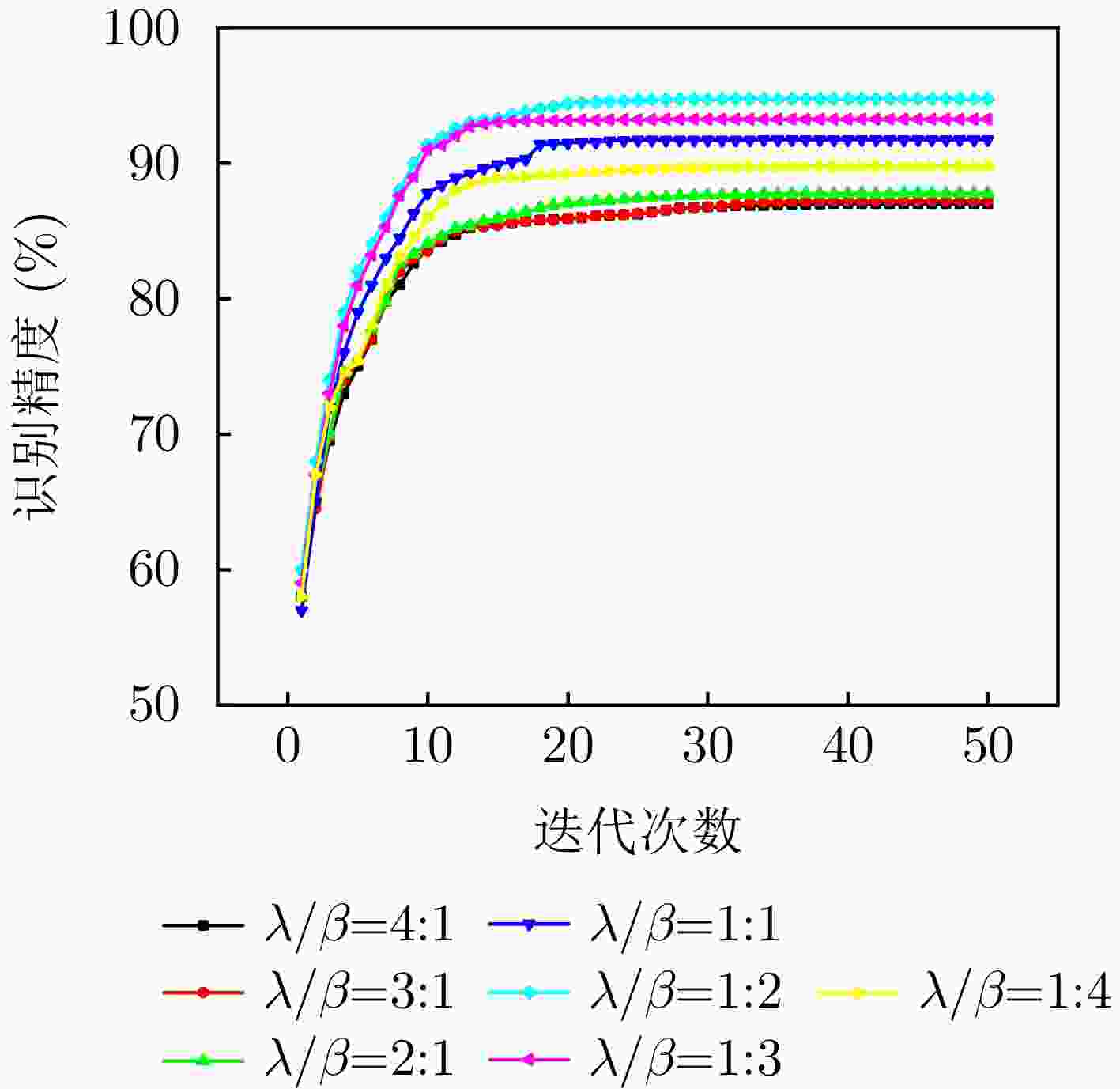
    图  14  不同平衡系数比例情况下识别精度与迭代次数关系曲线图

    Figure  14.  The relationship between the identification accuracy and the number of iterations under different balance coefficients

    1  对比学习阶段自适应感知伪标签加权选择算法

    1.   Adaptive sensing pseudo label weighted selection algorithm in contrastive learning phase

     1. 针对对比学习阶段数据流$ {D_{{\mathrm{U,unlabeled}}}} = \{ ({x^{(i)}})\} _{i = 1}^{{N_{{\mathrm{U,unlabeled}}}}} $
     利用自适应感知伪标签加权选择算法调整代价函数。
     2. for $j = 1,2, \cdots ,50$ do 迭代条件
     3.  对于每一类样本$ {x_t} $,计算特征空间中的成对余弦距离;
     4.  构造相似样本对$ {N_t} $;
     5.  计算样本类$ {x_t} $的后验概率${\hat p_t}$;
     6.  更新样本临时伪标签$ {\hat y_t} $;
     7.  计算置信度分数$ {q_t} $,并对置信度分数排序,依据所设定的
       阈值比例过滤伪标签;
     8.  根据置信度分数$ {q_t} $计算动态权重$ {w^i} $;
     9.  计算损失${l^i}$,并调整网络的代价函数;
     10. end
    下载: 导出CSV

    表  1  雷达型号参数

    Table  1.   Radar type parameters

    技术指标 参数值
    工作频段 X
    工作频段范围(GHz) 9.3~9.5
    量程(nm) 0.0625~96.0000
    扫描带宽(MHz) 25
    距离分辨率(m) 6
    脉冲重复频率 1.6 K, 3.0 K, 5.0 K和10.0 K
    发射峰值功率(W) 50
    天线转速(r/min) 2, 12, 24, 48
    天线长度(m) 1.8
    天线工作模式 凝视、圆周扫描
    天线极化方式 HH
    天线水平波束宽度(°) 1.2
    天线垂直波束宽度(°) 22
    下载: 导出CSV

    表  2  预训练阶段和对比学习阶段数据情况(表中为接收到的辐射源脉冲数量)

    Table  2.   Data of pre-training stage and comparative learning stage (the number of emitter pulses received is shown in the table)

    类型预训练阶段对比学习阶段
    辐射源A5000100000
    辐射源B450096890
    辐射源C498795678
    辐射源D432198978
    辐射源E390798765
    辐射源F467890780
    辐射源G418796789
    下载: 导出CSV

    表  3  不同网络参数设置情况

    Table  3.   Different network parameter settings

    类别 网络层数 网络层类型 网络层设置 残差块 激活函数 批归一化 叠加层 小波变换 具体参数
    Wav-KAN 5 Wav-KANLinear层、
    叠加层
    小波变换、一维卷积核、
    叠加函数
    ReLU 小波基选择(DOG),一维卷积核,滤波器数量64
    KAN 5 KANLinear层、
    叠加层
    一维卷积核、叠加
    函数
    ReLU 一维卷积核,滤波器数量64
    CNN-13 13 卷积层、池化层、
    全连接层
    卷积核、激活函数 ReLU 3$ \times $3卷积核,滤波器64,步幅1
    Wideresnet 15 卷积层、残差连接 残差块、宽卷积核、
    激活函数
    ReLU 16-4 (16基本通道数,
    宽度乘数4)
    下载: 导出CSV

    表  4  预训练阶段不同识别网络识别性能

    Table  4.   Identification performance of different identification networks in pre-training stage

    迭代次数 WSW-KAN (%) Wav-KAN (%) KAN (%) CNN-13 (%) Wideresnet (%)
    1 50.44 46.23 46.14 47.16 47.62
    2 58.87 56.11 53.14 54.37 53.88
    3 66.14 60.87 61.77 58.89 57.10
    4 70.88 64.50 63.99 61.41 59.14
    5 73.11 67.34 65.98 63.76 62.02
    6 75.27 69.78 67.77 64.18 64.89
    7 77.84 72.66 69.08 65.66 66.67
    8 79.91 75.90 71.67 66.94 68.11
    9 81.07 77.36 73.20 67.20 69.56
    ··· ··· ··· ··· ··· ···
    46 88.74 87.36 84.09 76.05 78.60
    47 88.74 87.36 84.09 76.05 78.60
    48 88.75 87.36 84.09 76.05 78.60
    49 88.75 87.36 84.09 76.05 78.60
    50 88.75 87.36 84.09 76.05 78.60
    下载: 导出CSV

    表  5  对比学习阶段不同识别网络识别性能

    Table  5.   Identification performance of different identification networks in contrastive learning stage

    迭代次数 WSW-KAN (%) Wav-KAN (%) KAN (%) CNN-13 (%) Wideresnet (%)
    1 79.33 77.18 76.08 69.49 70.80
    2 82.27 80.00 79.80 72.81 75.91
    3 84.11 82.30 81.01 74.40 77.14
    4 86.84 84.23 82.77 77.21 78.81
    5 88.58 85.98 83.66 79.31 80.10
    6 89.98 86.89 84.49 80.90 81.71
    7 90.50 88.10 85.31 81.77 82.61
    8 91.21 89.87 86.02 82.68 83.27
    9 91.61 90.40 86.80 83.51 84.50
    ··· ··· ··· ··· ··· ···
    46 94.98 93.16 92.29 85.59 87.20
    47 94.99 93.16 92.29 85.59 87.21
    48 94.99 93.16 92.29 85.59 87.21
    49 94.99 93.16 92.29 85.59 87.21
    50 94.99 93.16 92.29 85.59 87.21
    下载: 导出CSV

    表  6  自适应感知伪标签加权选择算法消融实验数据

    Table  6.   Adaptive pseudo-label weighted selection algorithm ablation study data

    迭代次数 本文算法处理
    情形(%)
    传统伪标签处理
    情形(%)
    无伪标签处理
    情形(%)
    1 79.33 61.45 54.47
    2 82.27 68.06 59.03
    3 84.11 73.15 61.95
    4 86.84 75.06 63.89
    5 88.58 77.35 65.71
    6 89.98 79.03 67.11
    7 90.50 80.50 68.97
    8 91.21 81.22 69.70
    9 91.61 81.90 70.40
    ··· ··· ··· ···
    46 94.98 83.60 72.45
    47 94.99 83.60 72.45
    48 94.99 83.60 72.45
    49 94.99 83.60 72.45
    50 94.99 83.60 72.45
    下载: 导出CSV

    表  7  预训练阶段不同识别网络算法复杂度对比

    Table  7.   Comparison of the complexity of different identification network algorithms in pre-training stage

    网络模型耗时(s)参数数量(个)识别精度(%)
    WSW-KAN246.5641993588.75
    Wav-KAN280.8843997887.36
    KAN312.7370211884.09
    CNN-13408.68315099076.05
    Wideresnet379.03146693578.60
    下载: 导出CSV

    表  8  对比学习阶段不同识别网络算法时间复杂度和空间复杂度对比

    Table  8.   Comparison of the complexity of different identification network algorithms in contrastive learning stage

    网络模型耗时(s)参数数量(个)识别精度(%)
    WSW-KAN356.7841993594.99
    Wav-KAN392.4543997893.16
    KAN430.9870211892.29
    CNN-13544.23315099085.59
    Wideresnet487.78146693587.21
    下载: 导出CSV

    表  9  小波基函数形式和参数对比

    Table  9.   The comparison of wavelet basis function form and parameters

    类型 小波基函数形式 参数
    Mexican hat $ \psi (t) = \dfrac{2}{{\sqrt 3 {p^{1/4}}}}({t^2} - 1){{\mathrm{e}}^{ - {\textstyle\frac{{{t^2}}}{2}}}} $ $ \tau ,s $
    Derivative of Gaussian (DOG) $ \psi (t) = - \dfrac{{\mathrm{d}}}{{{\mathrm{d}}t}}\left({{\mathrm{e}}^{ -\textstyle{ \frac{{{t^2}}}{2}}}}\right) $ $ \tau ,s $
    Shannon $ \psi (t) = {\mathrm{sinc}}(t/p) \cdot \omega (t) $ $ \tau ,s,w(t):矩形窗 $
    Meyer $ \psi (t) = \dfrac{1}{{2p}}\displaystyle\int_{ - \infty }^\infty {\hat \psi (\xi ){{\mathrm{e}}^{{\mathrm{i}}\xi t}}{\mathrm{d}}\xi } $ $ \tau ,s $
    下载: 导出CSV

    表  10  不同伪标签阈值参数识别性能(%)

    Table  10.   The identification performance of different pseudo-label threshold parameters (%)

    $\lambda $ $\mu $
    0.01 0.02 0.05 0.10 0.15 0.20
    0.95 95.12 95.12 95.04 94.03 92.79 89.45
    0.90 95.02 95.02 95.02 93.99 92.03 89.21
    0.85 94.99 95.00 94.99 93.86 91.56 87.79
    0.80 94.99 94.99 94.99 93.14 90.34 86.34
    0.70 91.78 91.58 90.89 90.82 87.45 84.45
    0.60 87.34 87.13 86.88 86.34 85.56 82.98
    下载: 导出CSV
  • [1] 吴琼. 基于改进CNN的雷达辐射源识别算法研究[D]. [硕士论文], 西安电子科技大学, 2019: 1–4. doi: 10.7666/d.D01905147.

    WU Qiong. Research on radar emitter recognition algorithm based on improved CNN[D]. [Master dissertation], Xidian University, 2019: 1–4. doi: 10.7666/d.D01905147.
    [2] TAN Kaiwen, YAN Wenjun, ZHANG Limin, et al. Specific emitter identification based on software-defined radio and decision fusion[J]. IEEE Access, 2021, 9: 86217–86229. doi: 10.1109/ACCESS.2021.3088542.
    [3] 王艺卉, 闫文君, 凌青, 等. 基于置信学习的低标注率辐射源个体识别算法[J]. 兵器装备工程学报, 2024, 45(5): 267–275. doi: 10.11809/bqzbgcxb2024.05.037.

    WANG Yihui, YAN Wenjun, LING Qing, et al. Low labeling rate specific emitter identification algorithm based on confidence learning[J]. Journal of Ordnance Equipment Engineering, 2024, 45(5): 267–275. doi: 10.11809/bqzbgcxb2024.05.037.
    [4] 张顺生, 丁宦城, 王文钦. 面向辐射源识别的多尺度特征提取与特征选择网络[J]. 国防科技大学学报, 2024, 46(6): 141–148. doi: 10.11887/j.cn.202406015.

    ZHANG Shunsheng, DING Huancheng, and WANG Wenqin. Multi-scale feature extraction and feature selection network for radiation source identification[J]. Journal of National University of Defense Technology, 2024, 46(6): 141–148. doi: 10.11887/j.cn.202406015.
    [5] XING Yuexiu, HU Aiqun, ZHANG Junqing, et al. Design of a robust radio-frequency fingerprint identification scheme for multimode LFM radar[J]. IEEE Internet of Things Journal, 2020, 7(10): 10581–10593. doi: 10.1109/JIOT.2020.3003692.
    [6] 李昕. 基于无监督学习的通信辐射源个体识别技术研究[D]. [硕士论文], 国防科技大学, 2019: 1–10. doi: 10.27052/d.cnki.gzjgu.2019.000718.

    LI Xin. Research on individual communication transmitter identification based on unsupervised learning[D]. [Master dissertation], National University of Defense Technology, 2019: 1–10. doi: 10.27052/d.cnki.gzjgu.2019.000718.
    [7] CHEN Qi, YANG Lingxiao, LAI Jianhuang, et al. Self-supervised image-specific prototype exploration for weakly supervised semantic segmentation[C]. 2022 IEEE/CVF Conference on Computer Vision and Pattern Recognition (CVPR), New Orleans, USA, 2022: 4278–4288. doi: 10.1109/CVPR52688.2022.00425.
    [8] DU Ye, FU Zehua, LIU Qingjie, et al. Weakly supervised semantic segmentation by pixel-to-prototype contrast[C]. 2022 IEEE/CVF Conference on Computer Vision and Pattern Recognition (CVPR), New Orleans, USA, 2022: 4310–4319. doi: 10.1109/CVPR52688.2022.00428.
    [9] JIANG Pengtao, YANG Yuqi, HOU Qibin, et al. L2G: A simple local-to-global knowledge transfer framework for weakly supervised semantic segmentation[C]. 2022 IEEE/CVF Conference on Computer Vision and Pattern Recognition (CVPR), New Orleans, USA, 2022: 16865–16875. doi: 10.1109/CVPR52688.2022.01638.
    [10] LEE J, KIM E, and YOON S. Anti-adversarially manipulated attributions for weakly and semi-supervised semantic segmentation[C]. 2021 IEEE/CVF Conference on Computer Vision and Pattern Recognition (CVPR), Nashville, USA, 2021: 4070–4078. doi: 10.1109/CVPR46437.2021.00406.
    [11] LEE S, LEE M, LEE J, et al. Railroad is not a train: Saliency as pseudo-pixel supervision for weakly supervised semantic segmentation[C]. 2021 IEEE/CVF Conference on Computer Vision and Pattern Recognition (CVPR), Nashville, USA, 2021: 5491–5501. doi: 10.1109/CVPR46437.2021.00545.
    [12] ZHOU Tianfei, ZHANG Meijie, ZHAO Fand, et al. Regional semantic contrast and aggregation for weakly supervised semantic segmentation[C]. 2022 IEEE/CVF Conference on Computer Vision and Pattern Recognition (CVPR), New Orleans, USA, 2022: 4289–4299. doi: 10.1109/CVPR52688.2022.00426.
    [13] HE Kaiming, FAN Haoqi, WU Yuxin, et al. Momentum contrast for unsupervised visual representation learning[C]. 2020 IEEE/CVF Conference on Computer Vision and Pattern Recognition (CVPR), Seattle, USA, 2020: 9726–9735. doi: 10.1109/CVPR42600.2020.00975.
    [14] PENG Yang, HOU Changbo, ZHANG Yibin, et al. Supervised contrastive learning for RFF identification with limited samples[J]. IEEE Internet of Things Journal, 2023, 10(19): 17293–17306. doi: 10.1109/JIOT.2023.3272628.
    [15] CHEN Jun, WONG W K, and HAMDAOUI B. Unsupervised contrastive learning for robust RF device fingerprinting under time-domain shift[C]. ICC 2024 - IEEE International Conference on Communications, Denver, USA, 2024: 3567–3572. doi: 10.1109/ICC51166.2024.10622173.
    [16] ZHAN Mengqi, LI Yang, CUI Huajun, et al. MCRFF: A meta-contrastive learning-based RF fingerprinting method[C]. MILCOM 2023 - 2023 IEEE Military Communications Conference (MILCOM), Boston, USA, 2023: 391–396. doi: 10.1109/MILCOM58377.2023.10356211.
    [17] DU Mingyang, PAN Jifei, and BI Daping. A contrastive learner for automatic modulation classification[J]. IEEE Transactions on Wireless Communications, in press. doi: 10.1109/TWC.2025.3532438.
    [18] LIU Ziming, WANG Yixuan, VAIDYA S, et al. KAN: Kolmogorov-Arnold networks[EB/OL]. https://arxiv.org/abs/2404.19756, 2024.
    [19] BOZORGASL Z and CHEN Hao. Wav-KAN: Wavelet Kolmogorov-Arnold networks[EB/OL]. https://arxiv.org/abs/2405.12832, 2024.
    [20] PERSONS J B, WONG L J, MOORE M O, et al. Classification of radio signals using truncated Gaussian discriminant analysis of convolutional neural network-derived features[C]. MILCOM 2022 - 2022 IEEE Military Communications Conference (MILCOM), Rockville, USA, 2022: 304–310. doi: 10.1109/MILCOM55135.2022.10017724.
    [21] ZHENG Qinghe, ZHAO Penghui, LI Yang, et al. Spectrum interference-based two-level data augmentation method in deep learning for automatic modulation classification[J]. Neural Computing and Applications, 2021, 33(13): 7723–7745. doi: 10.1007/s00521-020-05514-1.
    [22] CHEN Xi, YANG Haosen, ZHANG Huicong, et al. Uncertainty-aware pseudo-label filtering for source-free unsupervised domain adaptation[J]. Neurocomputing, 2024, 575: 127190. doi: 10.1016/j.neucom.2023.127190.
    [23] 刘宁波, 丁昊, 黄勇, 等. X波段雷达对海探测试验与数据获取年度进展[J]. 雷达学报, 2021, 10(1): 173–182. doi: 10.12000/JR21011.

    LIU Ningbo, DING Hao, HUANG Yong, et al. Annual progress of the sea-detecting X-band radar and data acquisition program[J]. Journal of Radars, 2021, 10(1): 173–182. doi: 10.12000/JR21011.
    [24] ALBATINEH A N, BOUBAKARI I, and KIBRIA B M G. New confidence interval estimator of the signal-to-noise ratio based on asymptotic sampling distribution[J]. Communications in Statistics - Theory and Methods, 2017, 46(2): 574–590. doi: 10.1080/03610926.2014.1000498.
    [25] ZAGORUYKO S and KOMODAKIS N. Wide residual networks[C]. British Machine Vision Conference 2016, York, UK, 2016.
    [26] 谭凯文, 张立民, 闫文君, 等. 面向非均衡类别的半监督辐射源识别方法[J]. 雷达学报, 2022, 11(4): 713–727. doi: 10.12000/JR22043.

    TAN Kaiwen, ZHANG Limin, YAN Wenjun, et al. A semi-supervised emitter identification method for imbalanced category[J]. Journal of Radars, 2022, 11(4): 713–727. doi: 10.12000/JR22043.
    [27] 王程昱, 凌青, 闫文君. 基于DCGAN的雷达辐射源信号个体识别算法[J]. 测控技术, 2024, 43(7): 17–22, 64. doi: 10.19708/j.ckjs.2024.04.222.

    WANG Chengyu, LING Qing, and YAN Wenjun. Individual identification algorithm for radar emitter signal based on DCGAN[J]. Measurement and Control Technology, 2024, 43(7): 17–22, 64. doi: 10.19708/j.ckjs.2024.04.222.
  • 加载中
图(14) / 表(11)
计量
  • 文章访问数: 
  • HTML全文浏览量: 
  • PDF下载量: 
  • 被引次数: 0
出版历程
  • 收稿日期:  2024-12-11
  • 修回日期:  2025-03-04
  • 网络出版日期:  2025-03-25
  • 刊出日期:  2025-04-28

目录

    /

    返回文章
    返回