2026年 15卷 第1期
2026, 15(1): 1-25.
摘要:
随着现代合成孔径雷达(SAR)三维成像系统对成像精度、效率及稳健性要求的不断提高,传统匹配滤波与压缩感知等方法三维成像性能受限。近年来,深度学习技术的迅猛发展为SAR三维成像提供了新的解决路径,通过将神经网络与雷达成像物理模型深度融合,形成了数据驱动与模型驱动协同的学习成像新范式。该文系统综述了深度学习在SAR三维成像中的研究进展,重点围绕超分辨成像与增强成像两大核心问题,基于前馈神经网络和深度展开网络的超分辨三维成像方法、多通道数据预处理和点云后处理三维增强成像方法论述了目前SAR三维成像方向的研究进展和研究热点,并综述了目前行业已公开发布的SAR三维成像数据集。此外,该文还探讨了当前深度学习SAR三维成像在高泛化高精度深度学习SAR超分辨三维成像技术研究、深度学习SAR高度维解模糊技术研究、深度学习SAR三维成像与图像增强一体化研究、深度学习SAR三维成像数据集构建等方面存在的研究挑战,并对未来发展趋势提出展望,旨在为相关领域学者提供研究参考和技术引导。 随着现代合成孔径雷达(SAR)三维成像系统对成像精度、效率及稳健性要求的不断提高,传统匹配滤波与压缩感知等方法三维成像性能受限。近年来,深度学习技术的迅猛发展为SAR三维成像提供了新的解决路径,通过将神经网络与雷达成像物理模型深度融合,形成了数据驱动与模型驱动协同的学习成像新范式。该文系统综述了深度学习在SAR三维成像中的研究进展,重点围绕超分辨成像与增强成像两大核心问题,基于前馈神经网络和深度展开网络的超分辨三维成像方法、多通道数据预处理和点云后处理三维增强成像方法论述了目前SAR三维成像方向的研究进展和研究热点,并综述了目前行业已公开发布的SAR三维成像数据集。此外,该文还探讨了当前深度学习SAR三维成像在高泛化高精度深度学习SAR超分辨三维成像技术研究、深度学习SAR高度维解模糊技术研究、深度学习SAR三维成像与图像增强一体化研究、深度学习SAR三维成像数据集构建等方面存在的研究挑战,并对未来发展趋势提出展望,旨在为相关领域学者提供研究参考和技术引导。
随着现代合成孔径雷达(SAR)三维成像系统对成像精度、效率及稳健性要求的不断提高,传统匹配滤波与压缩感知等方法三维成像性能受限。近年来,深度学习技术的迅猛发展为SAR三维成像提供了新的解决路径,通过将神经网络与雷达成像物理模型深度融合,形成了数据驱动与模型驱动协同的学习成像新范式。该文系统综述了深度学习在SAR三维成像中的研究进展,重点围绕超分辨成像与增强成像两大核心问题,基于前馈神经网络和深度展开网络的超分辨三维成像方法、多通道数据预处理和点云后处理三维增强成像方法论述了目前SAR三维成像方向的研究进展和研究热点,并综述了目前行业已公开发布的SAR三维成像数据集。此外,该文还探讨了当前深度学习SAR三维成像在高泛化高精度深度学习SAR超分辨三维成像技术研究、深度学习SAR高度维解模糊技术研究、深度学习SAR三维成像与图像增强一体化研究、深度学习SAR三维成像数据集构建等方面存在的研究挑战,并对未来发展趋势提出展望,旨在为相关领域学者提供研究参考和技术引导。 随着现代合成孔径雷达(SAR)三维成像系统对成像精度、效率及稳健性要求的不断提高,传统匹配滤波与压缩感知等方法三维成像性能受限。近年来,深度学习技术的迅猛发展为SAR三维成像提供了新的解决路径,通过将神经网络与雷达成像物理模型深度融合,形成了数据驱动与模型驱动协同的学习成像新范式。该文系统综述了深度学习在SAR三维成像中的研究进展,重点围绕超分辨成像与增强成像两大核心问题,基于前馈神经网络和深度展开网络的超分辨三维成像方法、多通道数据预处理和点云后处理三维增强成像方法论述了目前SAR三维成像方向的研究进展和研究热点,并综述了目前行业已公开发布的SAR三维成像数据集。此外,该文还探讨了当前深度学习SAR三维成像在高泛化高精度深度学习SAR超分辨三维成像技术研究、深度学习SAR高度维解模糊技术研究、深度学习SAR三维成像与图像增强一体化研究、深度学习SAR三维成像数据集构建等方面存在的研究挑战,并对未来发展趋势提出展望,旨在为相关领域学者提供研究参考和技术引导。
2026, 15(1): 26-41.
摘要:
合成孔径雷达(SAR)是一种主动式微波传感器,具备全天时、全天候工作的能力,是重要的对地观测数据源。二维SAR图像回波混叠影响其在目标识别等方面的应用,利用多基线观测的SAR三维成像技术能够解决目标叠掩问题,但受限于系统复杂度,当前机载或星载单航过SAR系统仅能获得稀疏采样,无法满足算法对数据量的需求。由此发展的微波视觉三维成像新理论通过挖掘微波视觉语义信息来弥补采样的不足,其关键技术包括视觉信息获取以及信息融合处理。然而,SAR图像的几何连续性表征和应用方式缺乏相关性研究,该文分析了典型目标在SAR三维成像域内几何连续性的表征形式,并分别提出了隐式和显式几何连续性约束的少轨数三维成像方法。最后采用实测机载阵列InSAR数据进行算法验证,表明利用几何连续性约束能够有效提升稀疏采样下的三维成像性能。该文提出的几何连续性表征方法为微波视觉三维成像的具体实现提供了一种有效途径。 合成孔径雷达(SAR)是一种主动式微波传感器,具备全天时、全天候工作的能力,是重要的对地观测数据源。二维SAR图像回波混叠影响其在目标识别等方面的应用,利用多基线观测的SAR三维成像技术能够解决目标叠掩问题,但受限于系统复杂度,当前机载或星载单航过SAR系统仅能获得稀疏采样,无法满足算法对数据量的需求。由此发展的微波视觉三维成像新理论通过挖掘微波视觉语义信息来弥补采样的不足,其关键技术包括视觉信息获取以及信息融合处理。然而,SAR图像的几何连续性表征和应用方式缺乏相关性研究,该文分析了典型目标在SAR三维成像域内几何连续性的表征形式,并分别提出了隐式和显式几何连续性约束的少轨数三维成像方法。最后采用实测机载阵列InSAR数据进行算法验证,表明利用几何连续性约束能够有效提升稀疏采样下的三维成像性能。该文提出的几何连续性表征方法为微波视觉三维成像的具体实现提供了一种有效途径。
合成孔径雷达(SAR)是一种主动式微波传感器,具备全天时、全天候工作的能力,是重要的对地观测数据源。二维SAR图像回波混叠影响其在目标识别等方面的应用,利用多基线观测的SAR三维成像技术能够解决目标叠掩问题,但受限于系统复杂度,当前机载或星载单航过SAR系统仅能获得稀疏采样,无法满足算法对数据量的需求。由此发展的微波视觉三维成像新理论通过挖掘微波视觉语义信息来弥补采样的不足,其关键技术包括视觉信息获取以及信息融合处理。然而,SAR图像的几何连续性表征和应用方式缺乏相关性研究,该文分析了典型目标在SAR三维成像域内几何连续性的表征形式,并分别提出了隐式和显式几何连续性约束的少轨数三维成像方法。最后采用实测机载阵列InSAR数据进行算法验证,表明利用几何连续性约束能够有效提升稀疏采样下的三维成像性能。该文提出的几何连续性表征方法为微波视觉三维成像的具体实现提供了一种有效途径。 合成孔径雷达(SAR)是一种主动式微波传感器,具备全天时、全天候工作的能力,是重要的对地观测数据源。二维SAR图像回波混叠影响其在目标识别等方面的应用,利用多基线观测的SAR三维成像技术能够解决目标叠掩问题,但受限于系统复杂度,当前机载或星载单航过SAR系统仅能获得稀疏采样,无法满足算法对数据量的需求。由此发展的微波视觉三维成像新理论通过挖掘微波视觉语义信息来弥补采样的不足,其关键技术包括视觉信息获取以及信息融合处理。然而,SAR图像的几何连续性表征和应用方式缺乏相关性研究,该文分析了典型目标在SAR三维成像域内几何连续性的表征形式,并分别提出了隐式和显式几何连续性约束的少轨数三维成像方法。最后采用实测机载阵列InSAR数据进行算法验证,表明利用几何连续性约束能够有效提升稀疏采样下的三维成像性能。该文提出的几何连续性表征方法为微波视觉三维成像的具体实现提供了一种有效途径。
2026, 15(1): 42-63.
摘要:
非视距(NLOS)毫米波雷达三维成像利用电磁波反射、衍射、散射、穿透等传播特性,实现对隐蔽环境目标的探测、定位和成像,在无人驾驶、灾害救援、城市作战等领域具有重要应用潜力。然而,受实际非视距场景中反射面、遮挡面等不确定性引入的相位误差、孔径遮蔽、多径效应影响,雷达成像出现分辨率差、伪影增多等问题。针对上述问题,结合深度展开网络和环境先验感知,该文提出了一种基于距离徙动(RM)算子学习驱动的非视距毫米波雷达三维成像方法。首先,建立了拐角(LAC)场景下非视距毫米波雷达三维成像模型,引入RM核算子提高成像效率,降低计算复杂度;其次,构建了一种基于快速迭代收缩阈值(FISTA)框架的高精度非视距三维成像网络,利用非视距场景特性,将算法参数设计为网络权重的函数,实现非视距目标高精度、高效率三维重构;最后,搭建了近场非视距毫米波雷达成像平台,完成了理想与非理想反射面场景下金属字母“O”“S”以及埃菲尔铁塔模型、人造卫星模型等目标的实验验证,结果表明所提方法在提升三维成像精度的同时,运行速度较传统稀疏成像算法提升了两个数量级。 非视距(NLOS)毫米波雷达三维成像利用电磁波反射、衍射、散射、穿透等传播特性,实现对隐蔽环境目标的探测、定位和成像,在无人驾驶、灾害救援、城市作战等领域具有重要应用潜力。然而,受实际非视距场景中反射面、遮挡面等不确定性引入的相位误差、孔径遮蔽、多径效应影响,雷达成像出现分辨率差、伪影增多等问题。针对上述问题,结合深度展开网络和环境先验感知,该文提出了一种基于距离徙动(RM)算子学习驱动的非视距毫米波雷达三维成像方法。首先,建立了拐角(LAC)场景下非视距毫米波雷达三维成像模型,引入RM核算子提高成像效率,降低计算复杂度;其次,构建了一种基于快速迭代收缩阈值(FISTA)框架的高精度非视距三维成像网络,利用非视距场景特性,将算法参数设计为网络权重的函数,实现非视距目标高精度、高效率三维重构;最后,搭建了近场非视距毫米波雷达成像平台,完成了理想与非理想反射面场景下金属字母“O”“S”以及埃菲尔铁塔模型、人造卫星模型等目标的实验验证,结果表明所提方法在提升三维成像精度的同时,运行速度较传统稀疏成像算法提升了两个数量级。
非视距(NLOS)毫米波雷达三维成像利用电磁波反射、衍射、散射、穿透等传播特性,实现对隐蔽环境目标的探测、定位和成像,在无人驾驶、灾害救援、城市作战等领域具有重要应用潜力。然而,受实际非视距场景中反射面、遮挡面等不确定性引入的相位误差、孔径遮蔽、多径效应影响,雷达成像出现分辨率差、伪影增多等问题。针对上述问题,结合深度展开网络和环境先验感知,该文提出了一种基于距离徙动(RM)算子学习驱动的非视距毫米波雷达三维成像方法。首先,建立了拐角(LAC)场景下非视距毫米波雷达三维成像模型,引入RM核算子提高成像效率,降低计算复杂度;其次,构建了一种基于快速迭代收缩阈值(FISTA)框架的高精度非视距三维成像网络,利用非视距场景特性,将算法参数设计为网络权重的函数,实现非视距目标高精度、高效率三维重构;最后,搭建了近场非视距毫米波雷达成像平台,完成了理想与非理想反射面场景下金属字母“O”“S”以及埃菲尔铁塔模型、人造卫星模型等目标的实验验证,结果表明所提方法在提升三维成像精度的同时,运行速度较传统稀疏成像算法提升了两个数量级。 非视距(NLOS)毫米波雷达三维成像利用电磁波反射、衍射、散射、穿透等传播特性,实现对隐蔽环境目标的探测、定位和成像,在无人驾驶、灾害救援、城市作战等领域具有重要应用潜力。然而,受实际非视距场景中反射面、遮挡面等不确定性引入的相位误差、孔径遮蔽、多径效应影响,雷达成像出现分辨率差、伪影增多等问题。针对上述问题,结合深度展开网络和环境先验感知,该文提出了一种基于距离徙动(RM)算子学习驱动的非视距毫米波雷达三维成像方法。首先,建立了拐角(LAC)场景下非视距毫米波雷达三维成像模型,引入RM核算子提高成像效率,降低计算复杂度;其次,构建了一种基于快速迭代收缩阈值(FISTA)框架的高精度非视距三维成像网络,利用非视距场景特性,将算法参数设计为网络权重的函数,实现非视距目标高精度、高效率三维重构;最后,搭建了近场非视距毫米波雷达成像平台,完成了理想与非理想反射面场景下金属字母“O”“S”以及埃菲尔铁塔模型、人造卫星模型等目标的实验验证,结果表明所提方法在提升三维成像精度的同时,运行速度较传统稀疏成像算法提升了两个数量级。
2026, 15(1): 64-79.
摘要:
层析SAR (TomoSAR)成像技术已经成为获取三维SAR点云的关键技术。然而,如果忽略斜距垂向的二次相位,可能会导致目标在高程方向的散焦问题,这是由于层析SAR成像中第三维也可能存在菲涅耳衍射所导致的。该文利用光学成像中的衍射原理解释了SAR成像中的衍射问题同样在第三维存在,并提出采用稀疏匹配滤波方法对第三维进行聚焦。第三维稀疏匹配滤波的关键在于构建稀疏相位补偿因子,进而构建稀疏匹配滤波器。首先根据TomoSAR影像的空间几何基线,构建第三维归一化的稀疏频率;然后,结合波长、距离、孔径等参数,根据菲涅耳积分特性构建频域稀疏匹配滤波器;最后,使用频域稀疏滤波器对稀疏采样的SAR图像进行相位补偿,再利用经典的稀疏成像算法(如压缩感知、似然比检测方法等)进行高程即第三维目标检测。该文采用中国科学院空天信息创新研究院的机载SAR数据,运用该文构建的频域稀疏匹配滤波器对其进行实验,实验结果验证了该文所提的方法能够解决层析SAR在菲涅耳衍射情况下导致的散焦问题,从而改善散焦引起的目标位置和后向散射信息不准确的问题。 层析SAR (TomoSAR)成像技术已经成为获取三维SAR点云的关键技术。然而,如果忽略斜距垂向的二次相位,可能会导致目标在高程方向的散焦问题,这是由于层析SAR成像中第三维也可能存在菲涅耳衍射所导致的。该文利用光学成像中的衍射原理解释了SAR成像中的衍射问题同样在第三维存在,并提出采用稀疏匹配滤波方法对第三维进行聚焦。第三维稀疏匹配滤波的关键在于构建稀疏相位补偿因子,进而构建稀疏匹配滤波器。首先根据TomoSAR影像的空间几何基线,构建第三维归一化的稀疏频率;然后,结合波长、距离、孔径等参数,根据菲涅耳积分特性构建频域稀疏匹配滤波器;最后,使用频域稀疏滤波器对稀疏采样的SAR图像进行相位补偿,再利用经典的稀疏成像算法(如压缩感知、似然比检测方法等)进行高程即第三维目标检测。该文采用中国科学院空天信息创新研究院的机载SAR数据,运用该文构建的频域稀疏匹配滤波器对其进行实验,实验结果验证了该文所提的方法能够解决层析SAR在菲涅耳衍射情况下导致的散焦问题,从而改善散焦引起的目标位置和后向散射信息不准确的问题。
层析SAR (TomoSAR)成像技术已经成为获取三维SAR点云的关键技术。然而,如果忽略斜距垂向的二次相位,可能会导致目标在高程方向的散焦问题,这是由于层析SAR成像中第三维也可能存在菲涅耳衍射所导致的。该文利用光学成像中的衍射原理解释了SAR成像中的衍射问题同样在第三维存在,并提出采用稀疏匹配滤波方法对第三维进行聚焦。第三维稀疏匹配滤波的关键在于构建稀疏相位补偿因子,进而构建稀疏匹配滤波器。首先根据TomoSAR影像的空间几何基线,构建第三维归一化的稀疏频率;然后,结合波长、距离、孔径等参数,根据菲涅耳积分特性构建频域稀疏匹配滤波器;最后,使用频域稀疏滤波器对稀疏采样的SAR图像进行相位补偿,再利用经典的稀疏成像算法(如压缩感知、似然比检测方法等)进行高程即第三维目标检测。该文采用中国科学院空天信息创新研究院的机载SAR数据,运用该文构建的频域稀疏匹配滤波器对其进行实验,实验结果验证了该文所提的方法能够解决层析SAR在菲涅耳衍射情况下导致的散焦问题,从而改善散焦引起的目标位置和后向散射信息不准确的问题。 层析SAR (TomoSAR)成像技术已经成为获取三维SAR点云的关键技术。然而,如果忽略斜距垂向的二次相位,可能会导致目标在高程方向的散焦问题,这是由于层析SAR成像中第三维也可能存在菲涅耳衍射所导致的。该文利用光学成像中的衍射原理解释了SAR成像中的衍射问题同样在第三维存在,并提出采用稀疏匹配滤波方法对第三维进行聚焦。第三维稀疏匹配滤波的关键在于构建稀疏相位补偿因子,进而构建稀疏匹配滤波器。首先根据TomoSAR影像的空间几何基线,构建第三维归一化的稀疏频率;然后,结合波长、距离、孔径等参数,根据菲涅耳积分特性构建频域稀疏匹配滤波器;最后,使用频域稀疏滤波器对稀疏采样的SAR图像进行相位补偿,再利用经典的稀疏成像算法(如压缩感知、似然比检测方法等)进行高程即第三维目标检测。该文采用中国科学院空天信息创新研究院的机载SAR数据,运用该文构建的频域稀疏匹配滤波器对其进行实验,实验结果验证了该文所提的方法能够解决层析SAR在菲涅耳衍射情况下导致的散焦问题,从而改善散焦引起的目标位置和后向散射信息不准确的问题。
2026, 15(1): 80-94.
摘要:
层析合成孔径雷达(TomoSAR)三维成像能够克服场景叠掩、投影几何失真等问题,具有重要的科学研究和应用价值。由于TomoSAR高程分辨率受到高程向孔径限制,通常利用压缩感知等超分辨算法提升三维成像性能。然而,传统压缩感知方法需预先划分离散网格导致存在网格失配等问题,同时在通道数少、信噪比低等限制条件下,成像分辨精度受限。针对以上问题,该文提出了一种基于联合邻域像素结构化低秩的层析SAR超分辨三维成像方法,通过增强信号内部结构性表征以增加有效样本数量,提高三维重建性能。具体而言,基于邻域像素高程一致性假设,可联合邻域像素稀疏特性构建无网格结构化低秩非凸优化模型,以增强信号内部结构表征并克服传统稀疏网格化的缺陷。此外采用投影梯度下降算法进行高效求解,引入非相干可行域约束,有效降低重构性能对采样位置的依赖性。最后,利用仿真数据、实测SARMV3D-1.0机载阵列数据和陆地探测一号卫星数据进行了验证。实验结果表明,所提方法在三维重建精度和稳定性方面均显著优于现有大多数主流方法。 层析合成孔径雷达(TomoSAR)三维成像能够克服场景叠掩、投影几何失真等问题,具有重要的科学研究和应用价值。由于TomoSAR高程分辨率受到高程向孔径限制,通常利用压缩感知等超分辨算法提升三维成像性能。然而,传统压缩感知方法需预先划分离散网格导致存在网格失配等问题,同时在通道数少、信噪比低等限制条件下,成像分辨精度受限。针对以上问题,该文提出了一种基于联合邻域像素结构化低秩的层析SAR超分辨三维成像方法,通过增强信号内部结构性表征以增加有效样本数量,提高三维重建性能。具体而言,基于邻域像素高程一致性假设,可联合邻域像素稀疏特性构建无网格结构化低秩非凸优化模型,以增强信号内部结构表征并克服传统稀疏网格化的缺陷。此外采用投影梯度下降算法进行高效求解,引入非相干可行域约束,有效降低重构性能对采样位置的依赖性。最后,利用仿真数据、实测SARMV3D-1.0机载阵列数据和陆地探测一号卫星数据进行了验证。实验结果表明,所提方法在三维重建精度和稳定性方面均显著优于现有大多数主流方法。
层析合成孔径雷达(TomoSAR)三维成像能够克服场景叠掩、投影几何失真等问题,具有重要的科学研究和应用价值。由于TomoSAR高程分辨率受到高程向孔径限制,通常利用压缩感知等超分辨算法提升三维成像性能。然而,传统压缩感知方法需预先划分离散网格导致存在网格失配等问题,同时在通道数少、信噪比低等限制条件下,成像分辨精度受限。针对以上问题,该文提出了一种基于联合邻域像素结构化低秩的层析SAR超分辨三维成像方法,通过增强信号内部结构性表征以增加有效样本数量,提高三维重建性能。具体而言,基于邻域像素高程一致性假设,可联合邻域像素稀疏特性构建无网格结构化低秩非凸优化模型,以增强信号内部结构表征并克服传统稀疏网格化的缺陷。此外采用投影梯度下降算法进行高效求解,引入非相干可行域约束,有效降低重构性能对采样位置的依赖性。最后,利用仿真数据、实测SARMV3D-1.0机载阵列数据和陆地探测一号卫星数据进行了验证。实验结果表明,所提方法在三维重建精度和稳定性方面均显著优于现有大多数主流方法。 层析合成孔径雷达(TomoSAR)三维成像能够克服场景叠掩、投影几何失真等问题,具有重要的科学研究和应用价值。由于TomoSAR高程分辨率受到高程向孔径限制,通常利用压缩感知等超分辨算法提升三维成像性能。然而,传统压缩感知方法需预先划分离散网格导致存在网格失配等问题,同时在通道数少、信噪比低等限制条件下,成像分辨精度受限。针对以上问题,该文提出了一种基于联合邻域像素结构化低秩的层析SAR超分辨三维成像方法,通过增强信号内部结构性表征以增加有效样本数量,提高三维重建性能。具体而言,基于邻域像素高程一致性假设,可联合邻域像素稀疏特性构建无网格结构化低秩非凸优化模型,以增强信号内部结构表征并克服传统稀疏网格化的缺陷。此外采用投影梯度下降算法进行高效求解,引入非相干可行域约束,有效降低重构性能对采样位置的依赖性。最后,利用仿真数据、实测SARMV3D-1.0机载阵列数据和陆地探测一号卫星数据进行了验证。实验结果表明,所提方法在三维重建精度和稳定性方面均显著优于现有大多数主流方法。
2026, 15(1): 95-106.
摘要:
层析合成孔径雷达(TomoSAR)是城市建筑物三维重建的重要技术。现有方法虽通过引入几何约束提升了成像质量,并在多极化条件下发展为极化层析SAR (PolTomoSAR),但仍面临复杂建筑结构下几何信息依赖性强、极化模型不完善等问题。为此,该文提出一种几何与极化联合约束的TomoSAR三维成像方法,融合建筑几何结构与Pauli极化相似度信息,结合极化相干最优处理及概率密度约束,显著提升点云成像质量。实验基于机载Ku波段4通道阵列苏州实测数据,结果表明所提方法在成像精度与完整性方面均优于现有方法,验证了其有效性与优越性。 层析合成孔径雷达(TomoSAR)是城市建筑物三维重建的重要技术。现有方法虽通过引入几何约束提升了成像质量,并在多极化条件下发展为极化层析SAR (PolTomoSAR),但仍面临复杂建筑结构下几何信息依赖性强、极化模型不完善等问题。为此,该文提出一种几何与极化联合约束的TomoSAR三维成像方法,融合建筑几何结构与Pauli极化相似度信息,结合极化相干最优处理及概率密度约束,显著提升点云成像质量。实验基于机载Ku波段4通道阵列苏州实测数据,结果表明所提方法在成像精度与完整性方面均优于现有方法,验证了其有效性与优越性。
层析合成孔径雷达(TomoSAR)是城市建筑物三维重建的重要技术。现有方法虽通过引入几何约束提升了成像质量,并在多极化条件下发展为极化层析SAR (PolTomoSAR),但仍面临复杂建筑结构下几何信息依赖性强、极化模型不完善等问题。为此,该文提出一种几何与极化联合约束的TomoSAR三维成像方法,融合建筑几何结构与Pauli极化相似度信息,结合极化相干最优处理及概率密度约束,显著提升点云成像质量。实验基于机载Ku波段4通道阵列苏州实测数据,结果表明所提方法在成像精度与完整性方面均优于现有方法,验证了其有效性与优越性。 层析合成孔径雷达(TomoSAR)是城市建筑物三维重建的重要技术。现有方法虽通过引入几何约束提升了成像质量,并在多极化条件下发展为极化层析SAR (PolTomoSAR),但仍面临复杂建筑结构下几何信息依赖性强、极化模型不完善等问题。为此,该文提出一种几何与极化联合约束的TomoSAR三维成像方法,融合建筑几何结构与Pauli极化相似度信息,结合极化相干最优处理及概率密度约束,显著提升点云成像质量。实验基于机载Ku波段4通道阵列苏州实测数据,结果表明所提方法在成像精度与完整性方面均优于现有方法,验证了其有效性与优越性。
2026, 15(1): 107-119.
摘要:
层析SAR (TomoSAR)技术凭借其三维分辨能力,能够对森林、冰川和积雪等场景的三维结构进行研究。但目前的星载层析SAR主要依靠重复轨道观测来实现。重轨层析SAR观测体制带来两大难题,一是时间去相干,二是对流层或电离层等导致的信号传播延时。严重的时间去相干和对流层、电离层传播延迟会使得层析成像出现散焦,导致无法进行场景三维结构重建。与重轨观测层析SAR体制不同,多站层析SAR所有图像在同一时刻获得,不存在时间去相干,信号传播延迟也能完全抵消,这使得多站层析SAR用于三维重建优势明显。航天宏图信息技术股份有限公司在2023年发射了世界首个X波段四星多站体制雷达星座—宏图一号,该文利用宏图一号星座的四星雷达数据,开展了星载多站层析SAR森林高度反演数据实验。通过对热带雨林和温带森林开展实验,发现宏图一号X波段雷达信号基本无法穿透茂密的热带雨林到达地面,但是能够穿透植被密度较小的温带森林,这表明宏图一号具备对温带森林进行森林高度反演的潜力。通过TomoSAR对温带森林进行树高反演,并以高精度机载激光雷达测得的树高为参考,与GEDI星载激光雷达测量结果做对比验证,发现在该文所采用的测试场景中,星载多站TomoSAR的测量结果比GEDI星载激光雷达具有更高的精度(提升约35%),更多的测量点数和更高的空间分辨率,验证了使用宏图一号数据进行层析SAR森林高度反演的可行性和优势。 层析SAR (TomoSAR)技术凭借其三维分辨能力,能够对森林、冰川和积雪等场景的三维结构进行研究。但目前的星载层析SAR主要依靠重复轨道观测来实现。重轨层析SAR观测体制带来两大难题,一是时间去相干,二是对流层或电离层等导致的信号传播延时。严重的时间去相干和对流层、电离层传播延迟会使得层析成像出现散焦,导致无法进行场景三维结构重建。与重轨观测层析SAR体制不同,多站层析SAR所有图像在同一时刻获得,不存在时间去相干,信号传播延迟也能完全抵消,这使得多站层析SAR用于三维重建优势明显。航天宏图信息技术股份有限公司在2023年发射了世界首个X波段四星多站体制雷达星座—宏图一号,该文利用宏图一号星座的四星雷达数据,开展了星载多站层析SAR森林高度反演数据实验。通过对热带雨林和温带森林开展实验,发现宏图一号X波段雷达信号基本无法穿透茂密的热带雨林到达地面,但是能够穿透植被密度较小的温带森林,这表明宏图一号具备对温带森林进行森林高度反演的潜力。通过TomoSAR对温带森林进行树高反演,并以高精度机载激光雷达测得的树高为参考,与GEDI星载激光雷达测量结果做对比验证,发现在该文所采用的测试场景中,星载多站TomoSAR的测量结果比GEDI星载激光雷达具有更高的精度(提升约35%),更多的测量点数和更高的空间分辨率,验证了使用宏图一号数据进行层析SAR森林高度反演的可行性和优势。
层析SAR (TomoSAR)技术凭借其三维分辨能力,能够对森林、冰川和积雪等场景的三维结构进行研究。但目前的星载层析SAR主要依靠重复轨道观测来实现。重轨层析SAR观测体制带来两大难题,一是时间去相干,二是对流层或电离层等导致的信号传播延时。严重的时间去相干和对流层、电离层传播延迟会使得层析成像出现散焦,导致无法进行场景三维结构重建。与重轨观测层析SAR体制不同,多站层析SAR所有图像在同一时刻获得,不存在时间去相干,信号传播延迟也能完全抵消,这使得多站层析SAR用于三维重建优势明显。航天宏图信息技术股份有限公司在2023年发射了世界首个X波段四星多站体制雷达星座—宏图一号,该文利用宏图一号星座的四星雷达数据,开展了星载多站层析SAR森林高度反演数据实验。通过对热带雨林和温带森林开展实验,发现宏图一号X波段雷达信号基本无法穿透茂密的热带雨林到达地面,但是能够穿透植被密度较小的温带森林,这表明宏图一号具备对温带森林进行森林高度反演的潜力。通过TomoSAR对温带森林进行树高反演,并以高精度机载激光雷达测得的树高为参考,与GEDI星载激光雷达测量结果做对比验证,发现在该文所采用的测试场景中,星载多站TomoSAR的测量结果比GEDI星载激光雷达具有更高的精度(提升约35%),更多的测量点数和更高的空间分辨率,验证了使用宏图一号数据进行层析SAR森林高度反演的可行性和优势。 层析SAR (TomoSAR)技术凭借其三维分辨能力,能够对森林、冰川和积雪等场景的三维结构进行研究。但目前的星载层析SAR主要依靠重复轨道观测来实现。重轨层析SAR观测体制带来两大难题,一是时间去相干,二是对流层或电离层等导致的信号传播延时。严重的时间去相干和对流层、电离层传播延迟会使得层析成像出现散焦,导致无法进行场景三维结构重建。与重轨观测层析SAR体制不同,多站层析SAR所有图像在同一时刻获得,不存在时间去相干,信号传播延迟也能完全抵消,这使得多站层析SAR用于三维重建优势明显。航天宏图信息技术股份有限公司在2023年发射了世界首个X波段四星多站体制雷达星座—宏图一号,该文利用宏图一号星座的四星雷达数据,开展了星载多站层析SAR森林高度反演数据实验。通过对热带雨林和温带森林开展实验,发现宏图一号X波段雷达信号基本无法穿透茂密的热带雨林到达地面,但是能够穿透植被密度较小的温带森林,这表明宏图一号具备对温带森林进行森林高度反演的潜力。通过TomoSAR对温带森林进行树高反演,并以高精度机载激光雷达测得的树高为参考,与GEDI星载激光雷达测量结果做对比验证,发现在该文所采用的测试场景中,星载多站TomoSAR的测量结果比GEDI星载激光雷达具有更高的精度(提升约35%),更多的测量点数和更高的空间分辨率,验证了使用宏图一号数据进行层析SAR森林高度反演的可行性和优势。
2026, 15(1): 120-134.
摘要:
动目标跟踪是双基地多输入多输出(MIMO)雷达系统的核心任务之一,对提升系统的目标感知精度与动态响应能力具有重要意义。针对复杂场景下动目标跟踪性能易受状态变化、高维数据耦合等因素制约的问题,该文提出一种基于自适应张量分解(ATD)的动目标跟踪算法。首先建立包含运动目标波离方向(DOD)和波达方向(DOA)信息的三阶动态张量信号模型,以表征接收信号中时、空多维数据的时变结构。基于所建立动态张量模型,构建运动目标空间位置与张量因子矩阵间的映射关系,采用矩阵随机降维策略设计自适应因子矩阵更新机制,迭代分解包含目标状态信息的阵列流形矩阵,以实现对目标方向的实时稳健跟踪。最后,通过仿真实验分析所提算法的跟踪性能。仿真结果表明,所提算法在低信噪比(SNR)场景下可实现动目标轨迹的持续稳定跟踪。与传统动目标跟踪算法相比,所提算法在保证跟踪精度的同时降低了计算复杂度,跟踪运算时长可缩短1~2个数量级,满足双基地MIMO雷达系统对动目标的实时跟踪需求。 动目标跟踪是双基地多输入多输出(MIMO)雷达系统的核心任务之一,对提升系统的目标感知精度与动态响应能力具有重要意义。针对复杂场景下动目标跟踪性能易受状态变化、高维数据耦合等因素制约的问题,该文提出一种基于自适应张量分解(ATD)的动目标跟踪算法。首先建立包含运动目标波离方向(DOD)和波达方向(DOA)信息的三阶动态张量信号模型,以表征接收信号中时、空多维数据的时变结构。基于所建立动态张量模型,构建运动目标空间位置与张量因子矩阵间的映射关系,采用矩阵随机降维策略设计自适应因子矩阵更新机制,迭代分解包含目标状态信息的阵列流形矩阵,以实现对目标方向的实时稳健跟踪。最后,通过仿真实验分析所提算法的跟踪性能。仿真结果表明,所提算法在低信噪比(SNR)场景下可实现动目标轨迹的持续稳定跟踪。与传统动目标跟踪算法相比,所提算法在保证跟踪精度的同时降低了计算复杂度,跟踪运算时长可缩短1~2个数量级,满足双基地MIMO雷达系统对动目标的实时跟踪需求。
动目标跟踪是双基地多输入多输出(MIMO)雷达系统的核心任务之一,对提升系统的目标感知精度与动态响应能力具有重要意义。针对复杂场景下动目标跟踪性能易受状态变化、高维数据耦合等因素制约的问题,该文提出一种基于自适应张量分解(ATD)的动目标跟踪算法。首先建立包含运动目标波离方向(DOD)和波达方向(DOA)信息的三阶动态张量信号模型,以表征接收信号中时、空多维数据的时变结构。基于所建立动态张量模型,构建运动目标空间位置与张量因子矩阵间的映射关系,采用矩阵随机降维策略设计自适应因子矩阵更新机制,迭代分解包含目标状态信息的阵列流形矩阵,以实现对目标方向的实时稳健跟踪。最后,通过仿真实验分析所提算法的跟踪性能。仿真结果表明,所提算法在低信噪比(SNR)场景下可实现动目标轨迹的持续稳定跟踪。与传统动目标跟踪算法相比,所提算法在保证跟踪精度的同时降低了计算复杂度,跟踪运算时长可缩短1~2个数量级,满足双基地MIMO雷达系统对动目标的实时跟踪需求。 动目标跟踪是双基地多输入多输出(MIMO)雷达系统的核心任务之一,对提升系统的目标感知精度与动态响应能力具有重要意义。针对复杂场景下动目标跟踪性能易受状态变化、高维数据耦合等因素制约的问题,该文提出一种基于自适应张量分解(ATD)的动目标跟踪算法。首先建立包含运动目标波离方向(DOD)和波达方向(DOA)信息的三阶动态张量信号模型,以表征接收信号中时、空多维数据的时变结构。基于所建立动态张量模型,构建运动目标空间位置与张量因子矩阵间的映射关系,采用矩阵随机降维策略设计自适应因子矩阵更新机制,迭代分解包含目标状态信息的阵列流形矩阵,以实现对目标方向的实时稳健跟踪。最后,通过仿真实验分析所提算法的跟踪性能。仿真结果表明,所提算法在低信噪比(SNR)场景下可实现动目标轨迹的持续稳定跟踪。与传统动目标跟踪算法相比,所提算法在保证跟踪精度的同时降低了计算复杂度,跟踪运算时长可缩短1~2个数量级,满足双基地MIMO雷达系统对动目标的实时跟踪需求。
2026, 15(1): 135-149.
摘要:
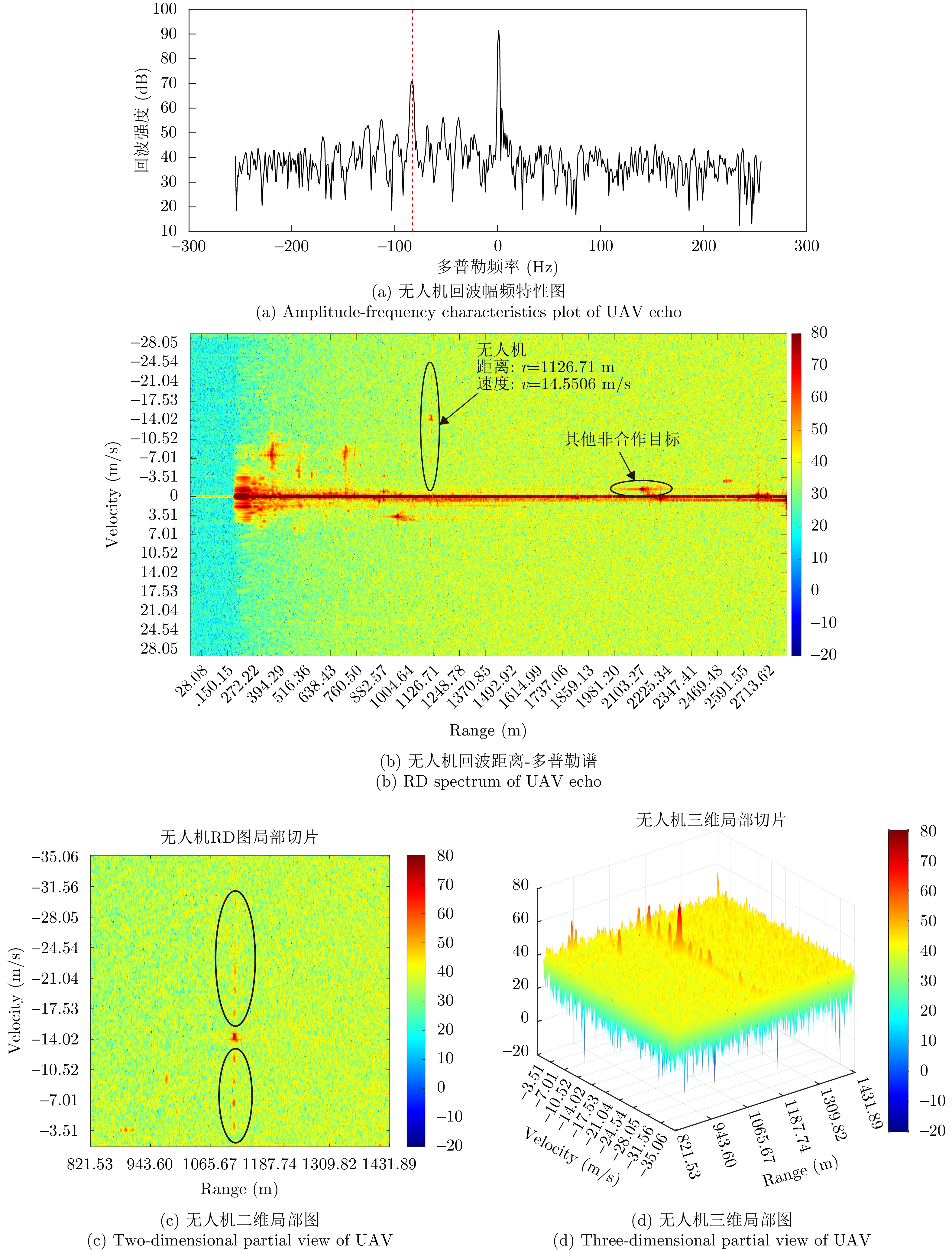
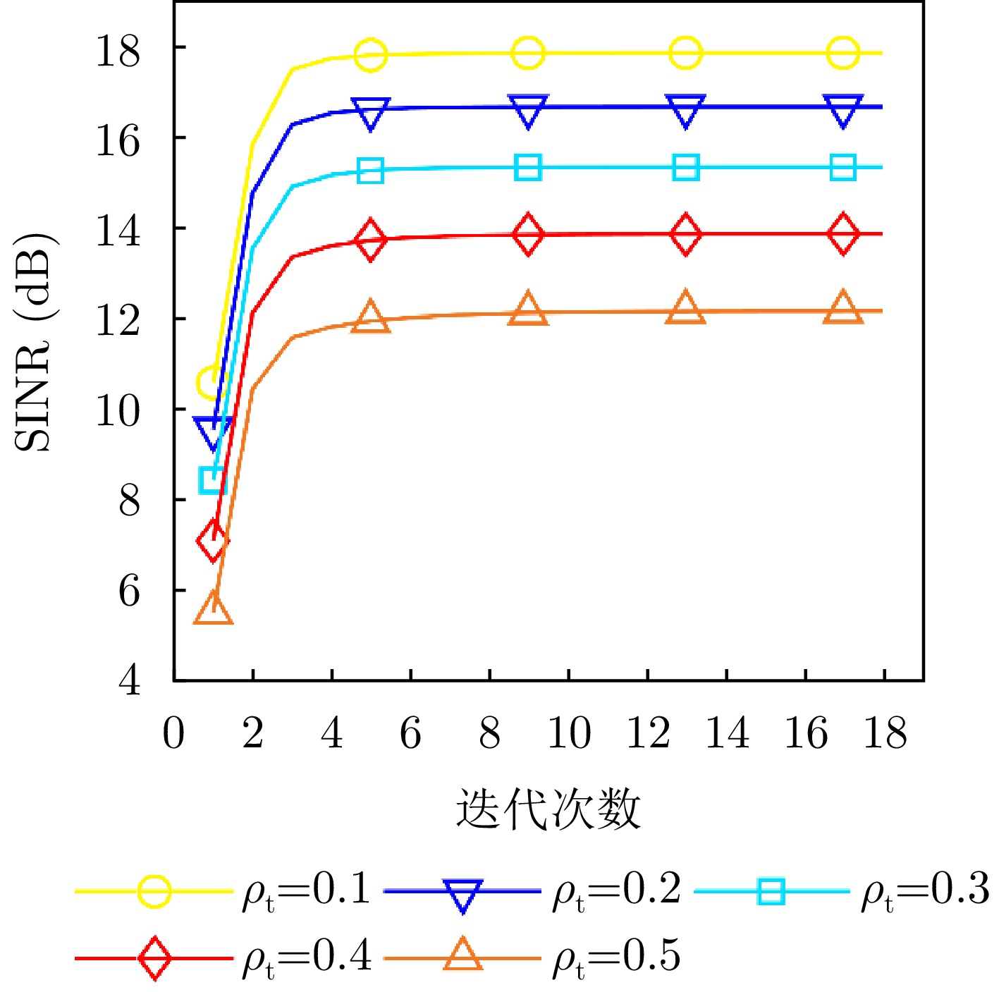
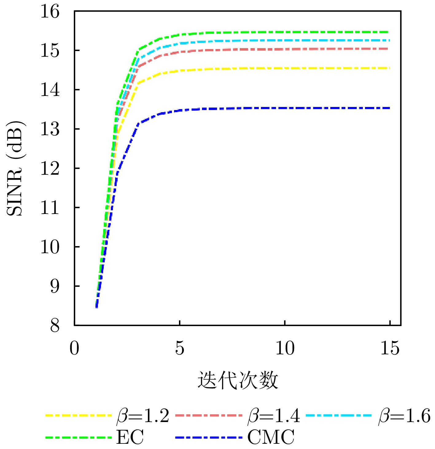
针对雷达通信一体化(RCI)在扩展杂波环境中目标检测能力弱和通信性能受限制的问题,该文提出一种扩展目标脉冲响应(TIR)不确定性集合下MIMO RCI系统发射信号波形和接收滤波器联合优化算法。首先,考虑到实际中无法预先准确获得扩展TIR,该文建立TIR存在于球面不确定性集合下,以最大化最小信干噪比为目标的优化函数。其次,为了保障MIMO RCI系统服务每个用户的信息传输可靠性,采用每用户干扰约束,并引入相似性和峰均比约束以确保发射波形具备良好的模糊函数特性。针对构建的非凸二次约束分式规划问题,该文提出了一种循环优化算法迭代优化发射信号波形和接收滤波器。该算法先利用广义瑞利熵获得最优接收滤波器;再利用拉格朗日对偶原理,将原NP-Hard问题中的非凸部分转化为凸问题,并通过半正定优化方法求解。此外,该文也给出了收敛性和计算复杂度分析。仿真结果表明,提出的算法能在扩展杂波背景下有效提高雷达信干噪比,同时满足多用户通信需求。 针对雷达通信一体化(RCI)在扩展杂波环境中目标检测能力弱和通信性能受限制的问题,该文提出一种扩展目标脉冲响应(TIR)不确定性集合下MIMO RCI系统发射信号波形和接收滤波器联合优化算法。首先,考虑到实际中无法预先准确获得扩展TIR,该文建立TIR存在于球面不确定性集合下,以最大化最小信干噪比为目标的优化函数。其次,为了保障MIMO RCI系统服务每个用户的信息传输可靠性,采用每用户干扰约束,并引入相似性和峰均比约束以确保发射波形具备良好的模糊函数特性。针对构建的非凸二次约束分式规划问题,该文提出了一种循环优化算法迭代优化发射信号波形和接收滤波器。该算法先利用广义瑞利熵获得最优接收滤波器;再利用拉格朗日对偶原理,将原NP-Hard问题中的非凸部分转化为凸问题,并通过半正定优化方法求解。此外,该文也给出了收敛性和计算复杂度分析。仿真结果表明,提出的算法能在扩展杂波背景下有效提高雷达信干噪比,同时满足多用户通信需求。
针对雷达通信一体化(RCI)在扩展杂波环境中目标检测能力弱和通信性能受限制的问题,该文提出一种扩展目标脉冲响应(TIR)不确定性集合下MIMO RCI系统发射信号波形和接收滤波器联合优化算法。首先,考虑到实际中无法预先准确获得扩展TIR,该文建立TIR存在于球面不确定性集合下,以最大化最小信干噪比为目标的优化函数。其次,为了保障MIMO RCI系统服务每个用户的信息传输可靠性,采用每用户干扰约束,并引入相似性和峰均比约束以确保发射波形具备良好的模糊函数特性。针对构建的非凸二次约束分式规划问题,该文提出了一种循环优化算法迭代优化发射信号波形和接收滤波器。该算法先利用广义瑞利熵获得最优接收滤波器;再利用拉格朗日对偶原理,将原NP-Hard问题中的非凸部分转化为凸问题,并通过半正定优化方法求解。此外,该文也给出了收敛性和计算复杂度分析。仿真结果表明,提出的算法能在扩展杂波背景下有效提高雷达信干噪比,同时满足多用户通信需求。 针对雷达通信一体化(RCI)在扩展杂波环境中目标检测能力弱和通信性能受限制的问题,该文提出一种扩展目标脉冲响应(TIR)不确定性集合下MIMO RCI系统发射信号波形和接收滤波器联合优化算法。首先,考虑到实际中无法预先准确获得扩展TIR,该文建立TIR存在于球面不确定性集合下,以最大化最小信干噪比为目标的优化函数。其次,为了保障MIMO RCI系统服务每个用户的信息传输可靠性,采用每用户干扰约束,并引入相似性和峰均比约束以确保发射波形具备良好的模糊函数特性。针对构建的非凸二次约束分式规划问题,该文提出了一种循环优化算法迭代优化发射信号波形和接收滤波器。该算法先利用广义瑞利熵获得最优接收滤波器;再利用拉格朗日对偶原理,将原NP-Hard问题中的非凸部分转化为凸问题,并通过半正定优化方法求解。此外,该文也给出了收敛性和计算复杂度分析。仿真结果表明,提出的算法能在扩展杂波背景下有效提高雷达信干噪比,同时满足多用户通信需求。
2026, 15(1): 150-165.
摘要:
多通道观测数据信号级协同检测是分布式MIMO雷达目标检测的关键技术之一,但该技术在实施过程中需消耗大量系统资源用于数据计算与传输,使其在实际工程应用中面临诸多挑战。鉴于低比特量化技术可显著降低分布式系统的通信传输代价和计算资源消耗,该文研究了广义高斯噪声背景下基于低比特量化的MIMO雷达目标检测问题。分别基于广义似然比检验(GLRT)与广义Rao (G-Rao)检验设计了相应的检测器:前者需要对目标反射系数与多普勒频率进行最大似然估计;后者基于得分函数直接构造统计量,避免冗余参数搜索,有效降低计算复杂度。此外,为改善检测性能,运用动态规划(DP)算法对量化门限进行优化。实验结果表明:与GLRT方法相比,G-Rao检测器的计算效率更高;与均匀量化门限相比,门限优化可有效提高对目标的检测性能;与粒子群优化等现有算法(PSOA)相比,DP的计算复杂度更低。 多通道观测数据信号级协同检测是分布式MIMO雷达目标检测的关键技术之一,但该技术在实施过程中需消耗大量系统资源用于数据计算与传输,使其在实际工程应用中面临诸多挑战。鉴于低比特量化技术可显著降低分布式系统的通信传输代价和计算资源消耗,该文研究了广义高斯噪声背景下基于低比特量化的MIMO雷达目标检测问题。分别基于广义似然比检验(GLRT)与广义Rao (G-Rao)检验设计了相应的检测器:前者需要对目标反射系数与多普勒频率进行最大似然估计;后者基于得分函数直接构造统计量,避免冗余参数搜索,有效降低计算复杂度。此外,为改善检测性能,运用动态规划(DP)算法对量化门限进行优化。实验结果表明:与GLRT方法相比,G-Rao检测器的计算效率更高;与均匀量化门限相比,门限优化可有效提高对目标的检测性能;与粒子群优化等现有算法(PSOA)相比,DP的计算复杂度更低。
多通道观测数据信号级协同检测是分布式MIMO雷达目标检测的关键技术之一,但该技术在实施过程中需消耗大量系统资源用于数据计算与传输,使其在实际工程应用中面临诸多挑战。鉴于低比特量化技术可显著降低分布式系统的通信传输代价和计算资源消耗,该文研究了广义高斯噪声背景下基于低比特量化的MIMO雷达目标检测问题。分别基于广义似然比检验(GLRT)与广义Rao (G-Rao)检验设计了相应的检测器:前者需要对目标反射系数与多普勒频率进行最大似然估计;后者基于得分函数直接构造统计量,避免冗余参数搜索,有效降低计算复杂度。此外,为改善检测性能,运用动态规划(DP)算法对量化门限进行优化。实验结果表明:与GLRT方法相比,G-Rao检测器的计算效率更高;与均匀量化门限相比,门限优化可有效提高对目标的检测性能;与粒子群优化等现有算法(PSOA)相比,DP的计算复杂度更低。 多通道观测数据信号级协同检测是分布式MIMO雷达目标检测的关键技术之一,但该技术在实施过程中需消耗大量系统资源用于数据计算与传输,使其在实际工程应用中面临诸多挑战。鉴于低比特量化技术可显著降低分布式系统的通信传输代价和计算资源消耗,该文研究了广义高斯噪声背景下基于低比特量化的MIMO雷达目标检测问题。分别基于广义似然比检验(GLRT)与广义Rao (G-Rao)检验设计了相应的检测器:前者需要对目标反射系数与多普勒频率进行最大似然估计;后者基于得分函数直接构造统计量,避免冗余参数搜索,有效降低计算复杂度。此外,为改善检测性能,运用动态规划(DP)算法对量化门限进行优化。实验结果表明:与GLRT方法相比,G-Rao检测器的计算效率更高;与均匀量化门限相比,门限优化可有效提高对目标的检测性能;与粒子群优化等现有算法(PSOA)相比,DP的计算复杂度更低。
2026, 15(1): 166-180.
摘要:
针对大规模矩形相控阵波束赋形面临的高计算复杂度瓶颈,该文提出一种基于维度解耦的波束加权向量快速设计方法,显著提升设计效率与波束调控灵活性。首先,充分利用矩形面阵的构型特性,推导方位维与俯仰维导向矢量解耦的波束形成表达式,将传统高维加权向量设计问题高效转化为两个低维加权向量的联合优化问题,从根本上降低计算复杂度。在此基础上,构建以峰值旁瓣电平最小化为代价函数、波束电平与噪声输出功率为约束条件的优化模型,开发基于近端-交替方向乘子法的迭代求解算法,并严格推导算法收敛的充分条件,保障求解稳定性与可靠性。仿真结果验证,所提方法在大幅提升计算效率的同时,不仅能依据先验信息灵活调控主瓣宽度与零陷深度,还可通过调整信噪比损失实现峰值旁瓣抑制性能的精准权衡,展现出优异的工程实用性。 针对大规模矩形相控阵波束赋形面临的高计算复杂度瓶颈,该文提出一种基于维度解耦的波束加权向量快速设计方法,显著提升设计效率与波束调控灵活性。首先,充分利用矩形面阵的构型特性,推导方位维与俯仰维导向矢量解耦的波束形成表达式,将传统高维加权向量设计问题高效转化为两个低维加权向量的联合优化问题,从根本上降低计算复杂度。在此基础上,构建以峰值旁瓣电平最小化为代价函数、波束电平与噪声输出功率为约束条件的优化模型,开发基于近端-交替方向乘子法的迭代求解算法,并严格推导算法收敛的充分条件,保障求解稳定性与可靠性。仿真结果验证,所提方法在大幅提升计算效率的同时,不仅能依据先验信息灵活调控主瓣宽度与零陷深度,还可通过调整信噪比损失实现峰值旁瓣抑制性能的精准权衡,展现出优异的工程实用性。
针对大规模矩形相控阵波束赋形面临的高计算复杂度瓶颈,该文提出一种基于维度解耦的波束加权向量快速设计方法,显著提升设计效率与波束调控灵活性。首先,充分利用矩形面阵的构型特性,推导方位维与俯仰维导向矢量解耦的波束形成表达式,将传统高维加权向量设计问题高效转化为两个低维加权向量的联合优化问题,从根本上降低计算复杂度。在此基础上,构建以峰值旁瓣电平最小化为代价函数、波束电平与噪声输出功率为约束条件的优化模型,开发基于近端-交替方向乘子法的迭代求解算法,并严格推导算法收敛的充分条件,保障求解稳定性与可靠性。仿真结果验证,所提方法在大幅提升计算效率的同时,不仅能依据先验信息灵活调控主瓣宽度与零陷深度,还可通过调整信噪比损失实现峰值旁瓣抑制性能的精准权衡,展现出优异的工程实用性。 针对大规模矩形相控阵波束赋形面临的高计算复杂度瓶颈,该文提出一种基于维度解耦的波束加权向量快速设计方法,显著提升设计效率与波束调控灵活性。首先,充分利用矩形面阵的构型特性,推导方位维与俯仰维导向矢量解耦的波束形成表达式,将传统高维加权向量设计问题高效转化为两个低维加权向量的联合优化问题,从根本上降低计算复杂度。在此基础上,构建以峰值旁瓣电平最小化为代价函数、波束电平与噪声输出功率为约束条件的优化模型,开发基于近端-交替方向乘子法的迭代求解算法,并严格推导算法收敛的充分条件,保障求解稳定性与可靠性。仿真结果验证,所提方法在大幅提升计算效率的同时,不仅能依据先验信息灵活调控主瓣宽度与零陷深度,还可通过调整信噪比损失实现峰值旁瓣抑制性能的精准权衡,展现出优异的工程实用性。
2026, 15(1): 181-195.
摘要:
针对数字阵列天线自适应对抗主瓣内的自卫式和伴飞式干扰时引起的波束畸变和单脉冲测角性能下降等问题,该文提出了一种基于分维的空域-极化域联合主瓣干扰抑制算法(SPJS-DD)。针对双极化矩形平面阵列天线,推导了空域-极化域联合阵列接收信号导向性矢量的方位维与俯仰维正交性。在此基础上,将方位维/俯仰维依次设置为测角维,另一维度为非测角维,SPJS-DD算法分为两级进行处理:第1级在非测角维进行,对波束方向图进行波束指向的空域-极化域联合约束,通过自适应处理完成非测角维的主瓣干扰抑制;第2级在测角维进行静态和、差波束形成。通过二维分级处理能够在测角维保持单脉冲波束形状不失真,并且在非测角维利用空域-极化域联合自由度抑制主瓣干扰。仿真结果表明,SPJS-DD算法能够有效抑制主瓣干扰,同时获得了良好的单脉冲测角性能。 针对数字阵列天线自适应对抗主瓣内的自卫式和伴飞式干扰时引起的波束畸变和单脉冲测角性能下降等问题,该文提出了一种基于分维的空域-极化域联合主瓣干扰抑制算法(SPJS-DD)。针对双极化矩形平面阵列天线,推导了空域-极化域联合阵列接收信号导向性矢量的方位维与俯仰维正交性。在此基础上,将方位维/俯仰维依次设置为测角维,另一维度为非测角维,SPJS-DD算法分为两级进行处理:第1级在非测角维进行,对波束方向图进行波束指向的空域-极化域联合约束,通过自适应处理完成非测角维的主瓣干扰抑制;第2级在测角维进行静态和、差波束形成。通过二维分级处理能够在测角维保持单脉冲波束形状不失真,并且在非测角维利用空域-极化域联合自由度抑制主瓣干扰。仿真结果表明,SPJS-DD算法能够有效抑制主瓣干扰,同时获得了良好的单脉冲测角性能。
针对数字阵列天线自适应对抗主瓣内的自卫式和伴飞式干扰时引起的波束畸变和单脉冲测角性能下降等问题,该文提出了一种基于分维的空域-极化域联合主瓣干扰抑制算法(SPJS-DD)。针对双极化矩形平面阵列天线,推导了空域-极化域联合阵列接收信号导向性矢量的方位维与俯仰维正交性。在此基础上,将方位维/俯仰维依次设置为测角维,另一维度为非测角维,SPJS-DD算法分为两级进行处理:第1级在非测角维进行,对波束方向图进行波束指向的空域-极化域联合约束,通过自适应处理完成非测角维的主瓣干扰抑制;第2级在测角维进行静态和、差波束形成。通过二维分级处理能够在测角维保持单脉冲波束形状不失真,并且在非测角维利用空域-极化域联合自由度抑制主瓣干扰。仿真结果表明,SPJS-DD算法能够有效抑制主瓣干扰,同时获得了良好的单脉冲测角性能。 针对数字阵列天线自适应对抗主瓣内的自卫式和伴飞式干扰时引起的波束畸变和单脉冲测角性能下降等问题,该文提出了一种基于分维的空域-极化域联合主瓣干扰抑制算法(SPJS-DD)。针对双极化矩形平面阵列天线,推导了空域-极化域联合阵列接收信号导向性矢量的方位维与俯仰维正交性。在此基础上,将方位维/俯仰维依次设置为测角维,另一维度为非测角维,SPJS-DD算法分为两级进行处理:第1级在非测角维进行,对波束方向图进行波束指向的空域-极化域联合约束,通过自适应处理完成非测角维的主瓣干扰抑制;第2级在测角维进行静态和、差波束形成。通过二维分级处理能够在测角维保持单脉冲波束形状不失真,并且在非测角维利用空域-极化域联合自由度抑制主瓣干扰。仿真结果表明,SPJS-DD算法能够有效抑制主瓣干扰,同时获得了良好的单脉冲测角性能。
2026, 15(1): 196-214.
摘要:
针对雷达正前视方向多普勒梯度消失导致多目标分辨困难以及前视图像模糊的问题,该文提出一种基于双网络协同的多通道雷达前视成像方法,构建了一个分层级联的端到端处理框架:首先,设计轻量化目标数量估计网络(NEN),基于回波协方差矩阵特征预测主瓣内目标数量;其次,根据目标数量动态选择预训练的角度估计网络(AEN)模型,实现高精度的目标方位角估计;最后,将目标数量与角度估计值作为先验信息,结合迭代自适应算法完成目标强度估计和二维投影成像。仿真和实测实验结果表明:相比于传统超分辨算法,所提方法在正前视区域能够更有效实现对强弱点目标参数的同时估计和精确重构,在目标数量估计上的准确率达到86.75%,角度估计均方根误差在双目标场景下低于0.2°,有效提高了前视成像质量。 针对雷达正前视方向多普勒梯度消失导致多目标分辨困难以及前视图像模糊的问题,该文提出一种基于双网络协同的多通道雷达前视成像方法,构建了一个分层级联的端到端处理框架:首先,设计轻量化目标数量估计网络(NEN),基于回波协方差矩阵特征预测主瓣内目标数量;其次,根据目标数量动态选择预训练的角度估计网络(AEN)模型,实现高精度的目标方位角估计;最后,将目标数量与角度估计值作为先验信息,结合迭代自适应算法完成目标强度估计和二维投影成像。仿真和实测实验结果表明:相比于传统超分辨算法,所提方法在正前视区域能够更有效实现对强弱点目标参数的同时估计和精确重构,在目标数量估计上的准确率达到86.75%,角度估计均方根误差在双目标场景下低于0.2°,有效提高了前视成像质量。
针对雷达正前视方向多普勒梯度消失导致多目标分辨困难以及前视图像模糊的问题,该文提出一种基于双网络协同的多通道雷达前视成像方法,构建了一个分层级联的端到端处理框架:首先,设计轻量化目标数量估计网络(NEN),基于回波协方差矩阵特征预测主瓣内目标数量;其次,根据目标数量动态选择预训练的角度估计网络(AEN)模型,实现高精度的目标方位角估计;最后,将目标数量与角度估计值作为先验信息,结合迭代自适应算法完成目标强度估计和二维投影成像。仿真和实测实验结果表明:相比于传统超分辨算法,所提方法在正前视区域能够更有效实现对强弱点目标参数的同时估计和精确重构,在目标数量估计上的准确率达到86.75%,角度估计均方根误差在双目标场景下低于0.2°,有效提高了前视成像质量。 针对雷达正前视方向多普勒梯度消失导致多目标分辨困难以及前视图像模糊的问题,该文提出一种基于双网络协同的多通道雷达前视成像方法,构建了一个分层级联的端到端处理框架:首先,设计轻量化目标数量估计网络(NEN),基于回波协方差矩阵特征预测主瓣内目标数量;其次,根据目标数量动态选择预训练的角度估计网络(AEN)模型,实现高精度的目标方位角估计;最后,将目标数量与角度估计值作为先验信息,结合迭代自适应算法完成目标强度估计和二维投影成像。仿真和实测实验结果表明:相比于传统超分辨算法,所提方法在正前视区域能够更有效实现对强弱点目标参数的同时估计和精确重构,在目标数量估计上的准确率达到86.75%,角度估计均方根误差在双目标场景下低于0.2°,有效提高了前视成像质量。
2026, 15(1): 215-237.
摘要:
星载干涉合成孔径雷达(InSAR)技术通过测量雷达视线方向的相位差实现地表高程测量与形变监测。然而,面向未来更高精度的干涉测量需求,InSAR系统设计参数与测量精度的解析模型仍存在关键参数不完备、物理约束刻画不充分等问题,对下一代合成孔径雷达干涉测量技术的发展形成制约。该文针对系统设计参数和测量精度间存在的复杂多因素耦合问题开展研究,详细分析了空间、时间基线星载干涉合成孔径雷达成像理论约束关系,构建了融合多源失相干的空-时误差模型,量化了基线参数与测量精度的非线性关系,建立了涵盖相干性、高程精度、基于相干时间基线的形变灵敏度等关键指标的完备评估框架,在此基础上提出了超长基线星载InSAR的概念与体制。同时,对超长基线星载InSAR的性能进行了详细分析,阐述了超长基线星载InSAR在轨道设计、系统设计、同步方法、误差校正以及相位解缠等方面的技术挑战,介绍了超长基线星载InSAR在高精度高程测量与形变测量以及分布式SAR系统等方面的应用潜力,可为未来新一代高精度、多维度InSAR系统设计提供理论支撑,在地球科学前沿探索与国家重大工程安全保障中发挥更大价值。 星载干涉合成孔径雷达(InSAR)技术通过测量雷达视线方向的相位差实现地表高程测量与形变监测。然而,面向未来更高精度的干涉测量需求,InSAR系统设计参数与测量精度的解析模型仍存在关键参数不完备、物理约束刻画不充分等问题,对下一代合成孔径雷达干涉测量技术的发展形成制约。该文针对系统设计参数和测量精度间存在的复杂多因素耦合问题开展研究,详细分析了空间、时间基线星载干涉合成孔径雷达成像理论约束关系,构建了融合多源失相干的空-时误差模型,量化了基线参数与测量精度的非线性关系,建立了涵盖相干性、高程精度、基于相干时间基线的形变灵敏度等关键指标的完备评估框架,在此基础上提出了超长基线星载InSAR的概念与体制。同时,对超长基线星载InSAR的性能进行了详细分析,阐述了超长基线星载InSAR在轨道设计、系统设计、同步方法、误差校正以及相位解缠等方面的技术挑战,介绍了超长基线星载InSAR在高精度高程测量与形变测量以及分布式SAR系统等方面的应用潜力,可为未来新一代高精度、多维度InSAR系统设计提供理论支撑,在地球科学前沿探索与国家重大工程安全保障中发挥更大价值。
星载干涉合成孔径雷达(InSAR)技术通过测量雷达视线方向的相位差实现地表高程测量与形变监测。然而,面向未来更高精度的干涉测量需求,InSAR系统设计参数与测量精度的解析模型仍存在关键参数不完备、物理约束刻画不充分等问题,对下一代合成孔径雷达干涉测量技术的发展形成制约。该文针对系统设计参数和测量精度间存在的复杂多因素耦合问题开展研究,详细分析了空间、时间基线星载干涉合成孔径雷达成像理论约束关系,构建了融合多源失相干的空-时误差模型,量化了基线参数与测量精度的非线性关系,建立了涵盖相干性、高程精度、基于相干时间基线的形变灵敏度等关键指标的完备评估框架,在此基础上提出了超长基线星载InSAR的概念与体制。同时,对超长基线星载InSAR的性能进行了详细分析,阐述了超长基线星载InSAR在轨道设计、系统设计、同步方法、误差校正以及相位解缠等方面的技术挑战,介绍了超长基线星载InSAR在高精度高程测量与形变测量以及分布式SAR系统等方面的应用潜力,可为未来新一代高精度、多维度InSAR系统设计提供理论支撑,在地球科学前沿探索与国家重大工程安全保障中发挥更大价值。 星载干涉合成孔径雷达(InSAR)技术通过测量雷达视线方向的相位差实现地表高程测量与形变监测。然而,面向未来更高精度的干涉测量需求,InSAR系统设计参数与测量精度的解析模型仍存在关键参数不完备、物理约束刻画不充分等问题,对下一代合成孔径雷达干涉测量技术的发展形成制约。该文针对系统设计参数和测量精度间存在的复杂多因素耦合问题开展研究,详细分析了空间、时间基线星载干涉合成孔径雷达成像理论约束关系,构建了融合多源失相干的空-时误差模型,量化了基线参数与测量精度的非线性关系,建立了涵盖相干性、高程精度、基于相干时间基线的形变灵敏度等关键指标的完备评估框架,在此基础上提出了超长基线星载InSAR的概念与体制。同时,对超长基线星载InSAR的性能进行了详细分析,阐述了超长基线星载InSAR在轨道设计、系统设计、同步方法、误差校正以及相位解缠等方面的技术挑战,介绍了超长基线星载InSAR在高精度高程测量与形变测量以及分布式SAR系统等方面的应用潜力,可为未来新一代高精度、多维度InSAR系统设计提供理论支撑,在地球科学前沿探索与国家重大工程安全保障中发挥更大价值。
2026, 15(1): 238-260.
摘要:
该文提出一种从单视复数合成孔径雷达(SAR)图像中检测干扰的方法,并将该方法用于自适应干扰抑制处理。所提方法不仅适用于间歇采样转发干扰,还适用于星载SAR中常见的线性调频脉冲等无意干扰。首先将一幅单视复数SAR图像在距离频域按照等带宽划分为多个子带图像,然后对子带图像的像素强度进行建模,并分析干扰像素和非干扰像素在子带域的起伏机制。干扰像素在不同子带中的能量分布不均匀,导致其强度在子带域具有显著的起伏,而非干扰像素的强度在子带域则较为稳定。基于上述发现,该文定义子带对比度和子带熵作为统计量以衡量像素强度在子带域的起伏特征,然后把两者与设定的阈值进行比较以得到干扰检测结果。经过统计分析,在无干扰情况下上述两个统计量近似服从Beta分布。基于这一发现,该文用Beta分布拟合这两者的分布,并在恒虚警准则下给出了检测阈值的确定方法。实验结果表明,所提方法不仅能有效检测间歇采样转发干扰,还能检测常见的无意干扰。该文还研究了干信比对检测性能的影响,并通过蒙特卡罗仿真验证了方法的可靠性和稳定性。此外,该文还提出了一种基于秩1模型的干扰抑制方法,能够对被检测到含有干扰的图像区域进行自适应干扰抑制,从而降低干扰对下游任务的不利影响。 该文提出一种从单视复数合成孔径雷达(SAR)图像中检测干扰的方法,并将该方法用于自适应干扰抑制处理。所提方法不仅适用于间歇采样转发干扰,还适用于星载SAR中常见的线性调频脉冲等无意干扰。首先将一幅单视复数SAR图像在距离频域按照等带宽划分为多个子带图像,然后对子带图像的像素强度进行建模,并分析干扰像素和非干扰像素在子带域的起伏机制。干扰像素在不同子带中的能量分布不均匀,导致其强度在子带域具有显著的起伏,而非干扰像素的强度在子带域则较为稳定。基于上述发现,该文定义子带对比度和子带熵作为统计量以衡量像素强度在子带域的起伏特征,然后把两者与设定的阈值进行比较以得到干扰检测结果。经过统计分析,在无干扰情况下上述两个统计量近似服从Beta分布。基于这一发现,该文用Beta分布拟合这两者的分布,并在恒虚警准则下给出了检测阈值的确定方法。实验结果表明,所提方法不仅能有效检测间歇采样转发干扰,还能检测常见的无意干扰。该文还研究了干信比对检测性能的影响,并通过蒙特卡罗仿真验证了方法的可靠性和稳定性。此外,该文还提出了一种基于秩1模型的干扰抑制方法,能够对被检测到含有干扰的图像区域进行自适应干扰抑制,从而降低干扰对下游任务的不利影响。
该文提出一种从单视复数合成孔径雷达(SAR)图像中检测干扰的方法,并将该方法用于自适应干扰抑制处理。所提方法不仅适用于间歇采样转发干扰,还适用于星载SAR中常见的线性调频脉冲等无意干扰。首先将一幅单视复数SAR图像在距离频域按照等带宽划分为多个子带图像,然后对子带图像的像素强度进行建模,并分析干扰像素和非干扰像素在子带域的起伏机制。干扰像素在不同子带中的能量分布不均匀,导致其强度在子带域具有显著的起伏,而非干扰像素的强度在子带域则较为稳定。基于上述发现,该文定义子带对比度和子带熵作为统计量以衡量像素强度在子带域的起伏特征,然后把两者与设定的阈值进行比较以得到干扰检测结果。经过统计分析,在无干扰情况下上述两个统计量近似服从Beta分布。基于这一发现,该文用Beta分布拟合这两者的分布,并在恒虚警准则下给出了检测阈值的确定方法。实验结果表明,所提方法不仅能有效检测间歇采样转发干扰,还能检测常见的无意干扰。该文还研究了干信比对检测性能的影响,并通过蒙特卡罗仿真验证了方法的可靠性和稳定性。此外,该文还提出了一种基于秩1模型的干扰抑制方法,能够对被检测到含有干扰的图像区域进行自适应干扰抑制,从而降低干扰对下游任务的不利影响。 该文提出一种从单视复数合成孔径雷达(SAR)图像中检测干扰的方法,并将该方法用于自适应干扰抑制处理。所提方法不仅适用于间歇采样转发干扰,还适用于星载SAR中常见的线性调频脉冲等无意干扰。首先将一幅单视复数SAR图像在距离频域按照等带宽划分为多个子带图像,然后对子带图像的像素强度进行建模,并分析干扰像素和非干扰像素在子带域的起伏机制。干扰像素在不同子带中的能量分布不均匀,导致其强度在子带域具有显著的起伏,而非干扰像素的强度在子带域则较为稳定。基于上述发现,该文定义子带对比度和子带熵作为统计量以衡量像素强度在子带域的起伏特征,然后把两者与设定的阈值进行比较以得到干扰检测结果。经过统计分析,在无干扰情况下上述两个统计量近似服从Beta分布。基于这一发现,该文用Beta分布拟合这两者的分布,并在恒虚警准则下给出了检测阈值的确定方法。实验结果表明,所提方法不仅能有效检测间歇采样转发干扰,还能检测常见的无意干扰。该文还研究了干信比对检测性能的影响,并通过蒙特卡罗仿真验证了方法的可靠性和稳定性。此外,该文还提出了一种基于秩1模型的干扰抑制方法,能够对被检测到含有干扰的图像区域进行自适应干扰抑制,从而降低干扰对下游任务的不利影响。
2026, 15(1): 261-275.
摘要:
小型旋翼无人机由于其体积小、重量轻、机动性优异等特点,常作为合成孔径雷达(SAR)搭载平台,在低空复杂环境探测中具有广阔应用前景。然而,由于小型旋翼无人机低空飞行过程运动误差随机性强,且受限于旋翼无人机载重限制,无法搭载高精度定位设备,导致运动误差成为影响小型旋翼无人机载穿墙SAR成像精度的关键问题。传统基于逐步逼近(SSA)方法的误差补偿算法基于聚束SAR提出,假设场景中所有像素点的相位误差相同,条带宽波束条件下明显不适用。该文提出一种基于SSA算法的宽波束穿墙SAR空变运动误差补偿方法,该方法结合后向投影(BP)算法对旋翼无人机运动误差的雷达回波进行建模,在SAR图像熵评估准则下,利用SSA优化算法估计天线相位中心对成像场景中每个像素点的相位误差,通过BP算法可对每个像素点进行高精度相位补偿,解决了宽波束穿墙SAR运动误差空变问题。仿真与实测数据处理结果表明,该算法能够在宽波束情况下,对空变运动误差完成精确补偿,使场景中多目标均完成良好聚焦,有效解决了宽波束穿墙SAR运动误差空变问题。 小型旋翼无人机由于其体积小、重量轻、机动性优异等特点,常作为合成孔径雷达(SAR)搭载平台,在低空复杂环境探测中具有广阔应用前景。然而,由于小型旋翼无人机低空飞行过程运动误差随机性强,且受限于旋翼无人机载重限制,无法搭载高精度定位设备,导致运动误差成为影响小型旋翼无人机载穿墙SAR成像精度的关键问题。传统基于逐步逼近(SSA)方法的误差补偿算法基于聚束SAR提出,假设场景中所有像素点的相位误差相同,条带宽波束条件下明显不适用。该文提出一种基于SSA算法的宽波束穿墙SAR空变运动误差补偿方法,该方法结合后向投影(BP)算法对旋翼无人机运动误差的雷达回波进行建模,在SAR图像熵评估准则下,利用SSA优化算法估计天线相位中心对成像场景中每个像素点的相位误差,通过BP算法可对每个像素点进行高精度相位补偿,解决了宽波束穿墙SAR运动误差空变问题。仿真与实测数据处理结果表明,该算法能够在宽波束情况下,对空变运动误差完成精确补偿,使场景中多目标均完成良好聚焦,有效解决了宽波束穿墙SAR运动误差空变问题。
小型旋翼无人机由于其体积小、重量轻、机动性优异等特点,常作为合成孔径雷达(SAR)搭载平台,在低空复杂环境探测中具有广阔应用前景。然而,由于小型旋翼无人机低空飞行过程运动误差随机性强,且受限于旋翼无人机载重限制,无法搭载高精度定位设备,导致运动误差成为影响小型旋翼无人机载穿墙SAR成像精度的关键问题。传统基于逐步逼近(SSA)方法的误差补偿算法基于聚束SAR提出,假设场景中所有像素点的相位误差相同,条带宽波束条件下明显不适用。该文提出一种基于SSA算法的宽波束穿墙SAR空变运动误差补偿方法,该方法结合后向投影(BP)算法对旋翼无人机运动误差的雷达回波进行建模,在SAR图像熵评估准则下,利用SSA优化算法估计天线相位中心对成像场景中每个像素点的相位误差,通过BP算法可对每个像素点进行高精度相位补偿,解决了宽波束穿墙SAR运动误差空变问题。仿真与实测数据处理结果表明,该算法能够在宽波束情况下,对空变运动误差完成精确补偿,使场景中多目标均完成良好聚焦,有效解决了宽波束穿墙SAR运动误差空变问题。 小型旋翼无人机由于其体积小、重量轻、机动性优异等特点,常作为合成孔径雷达(SAR)搭载平台,在低空复杂环境探测中具有广阔应用前景。然而,由于小型旋翼无人机低空飞行过程运动误差随机性强,且受限于旋翼无人机载重限制,无法搭载高精度定位设备,导致运动误差成为影响小型旋翼无人机载穿墙SAR成像精度的关键问题。传统基于逐步逼近(SSA)方法的误差补偿算法基于聚束SAR提出,假设场景中所有像素点的相位误差相同,条带宽波束条件下明显不适用。该文提出一种基于SSA算法的宽波束穿墙SAR空变运动误差补偿方法,该方法结合后向投影(BP)算法对旋翼无人机运动误差的雷达回波进行建模,在SAR图像熵评估准则下,利用SSA优化算法估计天线相位中心对成像场景中每个像素点的相位误差,通过BP算法可对每个像素点进行高精度相位补偿,解决了宽波束穿墙SAR运动误差空变问题。仿真与实测数据处理结果表明,该算法能够在宽波束情况下,对空变运动误差完成精确补偿,使场景中多目标均完成良好聚焦,有效解决了宽波束穿墙SAR运动误差空变问题。
2026, 15(1): 276-291.
摘要:
海杂波背景下目标检测在很多方面均发挥着至关重要的作用,但复杂海洋环境中海杂波存在类目标尖峰与宽谱特性,导致海用雷达面临检测低慢小目标虚警率增高的严峻挑战。该文利用S波段高多普勒和高距离分辨体制(“双高”体制)全息凝视雷达开展对海探测试验,获取海面、海空低慢小目标与海杂波数据,并附有目标位置与轨迹真值以及风、浪相关数据,构建S波段全息凝视雷达海上低可观测目标数据集,并分析其时域特性、频域特性与时间-多普勒特性,分析结果为数据使用提供参考。后续将持续开展试验,拓展海洋试验环境(如海况、区域)及目标类型,以提升数据的多样性,为支撑海上低可观测目标新体制雷达系统能力提升与海上目标检测识别性能提升提供开放数据集。 海杂波背景下目标检测在很多方面均发挥着至关重要的作用,但复杂海洋环境中海杂波存在类目标尖峰与宽谱特性,导致海用雷达面临检测低慢小目标虚警率增高的严峻挑战。该文利用S波段高多普勒和高距离分辨体制(“双高”体制)全息凝视雷达开展对海探测试验,获取海面、海空低慢小目标与海杂波数据,并附有目标位置与轨迹真值以及风、浪相关数据,构建S波段全息凝视雷达海上低可观测目标数据集,并分析其时域特性、频域特性与时间-多普勒特性,分析结果为数据使用提供参考。后续将持续开展试验,拓展海洋试验环境(如海况、区域)及目标类型,以提升数据的多样性,为支撑海上低可观测目标新体制雷达系统能力提升与海上目标检测识别性能提升提供开放数据集。
海杂波背景下目标检测在很多方面均发挥着至关重要的作用,但复杂海洋环境中海杂波存在类目标尖峰与宽谱特性,导致海用雷达面临检测低慢小目标虚警率增高的严峻挑战。该文利用S波段高多普勒和高距离分辨体制(“双高”体制)全息凝视雷达开展对海探测试验,获取海面、海空低慢小目标与海杂波数据,并附有目标位置与轨迹真值以及风、浪相关数据,构建S波段全息凝视雷达海上低可观测目标数据集,并分析其时域特性、频域特性与时间-多普勒特性,分析结果为数据使用提供参考。后续将持续开展试验,拓展海洋试验环境(如海况、区域)及目标类型,以提升数据的多样性,为支撑海上低可观测目标新体制雷达系统能力提升与海上目标检测识别性能提升提供开放数据集。 海杂波背景下目标检测在很多方面均发挥着至关重要的作用,但复杂海洋环境中海杂波存在类目标尖峰与宽谱特性,导致海用雷达面临检测低慢小目标虚警率增高的严峻挑战。该文利用S波段高多普勒和高距离分辨体制(“双高”体制)全息凝视雷达开展对海探测试验,获取海面、海空低慢小目标与海杂波数据,并附有目标位置与轨迹真值以及风、浪相关数据,构建S波段全息凝视雷达海上低可观测目标数据集,并分析其时域特性、频域特性与时间-多普勒特性,分析结果为数据使用提供参考。后续将持续开展试验,拓展海洋试验环境(如海况、区域)及目标类型,以提升数据的多样性,为支撑海上低可观测目标新体制雷达系统能力提升与海上目标检测识别性能提升提供开放数据集。
2026, 15(1): 292-306.
摘要:
雷达系统在对多机动目标进行跟踪时,跟踪性能会因为多雷达发射资源的非匹配预设和先验信息的不充分利用而下降。针对该问题,提出了一种面向多机动目标的资源分配与精细化跟踪算法,以期在同等资源消耗条件下获取更高的目标跟踪性能。首先,该文结合跟踪器反馈的目标预测信息,利用多模型交互的思想对目标预测位置分布函数进行拟合,建立了基于多模型交互的检测跟踪一体化方法,实现了系统对机动目标的精细化跟踪。而后,分析了多雷达发射资源和机动目标跟踪性能的耦合机理,结合机动目标贝叶斯克拉美罗下界的推导,建立了跟踪性能驱动的多模型加权资源分配框架。最后通过仿真验证了所提方法在相同资源消耗条件下,能够显著提升多机动目标的综合跟踪精度。 雷达系统在对多机动目标进行跟踪时,跟踪性能会因为多雷达发射资源的非匹配预设和先验信息的不充分利用而下降。针对该问题,提出了一种面向多机动目标的资源分配与精细化跟踪算法,以期在同等资源消耗条件下获取更高的目标跟踪性能。首先,该文结合跟踪器反馈的目标预测信息,利用多模型交互的思想对目标预测位置分布函数进行拟合,建立了基于多模型交互的检测跟踪一体化方法,实现了系统对机动目标的精细化跟踪。而后,分析了多雷达发射资源和机动目标跟踪性能的耦合机理,结合机动目标贝叶斯克拉美罗下界的推导,建立了跟踪性能驱动的多模型加权资源分配框架。最后通过仿真验证了所提方法在相同资源消耗条件下,能够显著提升多机动目标的综合跟踪精度。
雷达系统在对多机动目标进行跟踪时,跟踪性能会因为多雷达发射资源的非匹配预设和先验信息的不充分利用而下降。针对该问题,提出了一种面向多机动目标的资源分配与精细化跟踪算法,以期在同等资源消耗条件下获取更高的目标跟踪性能。首先,该文结合跟踪器反馈的目标预测信息,利用多模型交互的思想对目标预测位置分布函数进行拟合,建立了基于多模型交互的检测跟踪一体化方法,实现了系统对机动目标的精细化跟踪。而后,分析了多雷达发射资源和机动目标跟踪性能的耦合机理,结合机动目标贝叶斯克拉美罗下界的推导,建立了跟踪性能驱动的多模型加权资源分配框架。最后通过仿真验证了所提方法在相同资源消耗条件下,能够显著提升多机动目标的综合跟踪精度。 雷达系统在对多机动目标进行跟踪时,跟踪性能会因为多雷达发射资源的非匹配预设和先验信息的不充分利用而下降。针对该问题,提出了一种面向多机动目标的资源分配与精细化跟踪算法,以期在同等资源消耗条件下获取更高的目标跟踪性能。首先,该文结合跟踪器反馈的目标预测信息,利用多模型交互的思想对目标预测位置分布函数进行拟合,建立了基于多模型交互的检测跟踪一体化方法,实现了系统对机动目标的精细化跟踪。而后,分析了多雷达发射资源和机动目标跟踪性能的耦合机理,结合机动目标贝叶斯克拉美罗下界的推导,建立了跟踪性能驱动的多模型加权资源分配框架。最后通过仿真验证了所提方法在相同资源消耗条件下,能够显著提升多机动目标的综合跟踪精度。
2026, 15(1): 307-330.
摘要:
随着任务需求的日益多样化,雷达成像由传统的侧视和斜视模式开始向前视方向进行拓展。单脉冲成像技术凭借其前视成像能力、实时处理能力以及良好的抗干扰性能,能够有效克服传统成像方法在前视区域方位向分辨率低和多普勒对称模糊等问题,成为解决该问题的一项关键技术。首先,该文介绍了单脉冲跟踪与单脉冲成像的区别,系统梳理了单脉冲成像的现有技术方法和评价指标,并对不同方法的性能进行了分析。接着,介绍了单脉冲成像技术在三维成像、运动目标定位成像以及多视角图像融合等不同场景中的具体应用案例。最后,展望了单脉冲成像技术的发展趋势,分析了成像质量提升和应用范围扩展等未来研究方向。 随着任务需求的日益多样化,雷达成像由传统的侧视和斜视模式开始向前视方向进行拓展。单脉冲成像技术凭借其前视成像能力、实时处理能力以及良好的抗干扰性能,能够有效克服传统成像方法在前视区域方位向分辨率低和多普勒对称模糊等问题,成为解决该问题的一项关键技术。首先,该文介绍了单脉冲跟踪与单脉冲成像的区别,系统梳理了单脉冲成像的现有技术方法和评价指标,并对不同方法的性能进行了分析。接着,介绍了单脉冲成像技术在三维成像、运动目标定位成像以及多视角图像融合等不同场景中的具体应用案例。最后,展望了单脉冲成像技术的发展趋势,分析了成像质量提升和应用范围扩展等未来研究方向。
随着任务需求的日益多样化,雷达成像由传统的侧视和斜视模式开始向前视方向进行拓展。单脉冲成像技术凭借其前视成像能力、实时处理能力以及良好的抗干扰性能,能够有效克服传统成像方法在前视区域方位向分辨率低和多普勒对称模糊等问题,成为解决该问题的一项关键技术。首先,该文介绍了单脉冲跟踪与单脉冲成像的区别,系统梳理了单脉冲成像的现有技术方法和评价指标,并对不同方法的性能进行了分析。接着,介绍了单脉冲成像技术在三维成像、运动目标定位成像以及多视角图像融合等不同场景中的具体应用案例。最后,展望了单脉冲成像技术的发展趋势,分析了成像质量提升和应用范围扩展等未来研究方向。 随着任务需求的日益多样化,雷达成像由传统的侧视和斜视模式开始向前视方向进行拓展。单脉冲成像技术凭借其前视成像能力、实时处理能力以及良好的抗干扰性能,能够有效克服传统成像方法在前视区域方位向分辨率低和多普勒对称模糊等问题,成为解决该问题的一项关键技术。首先,该文介绍了单脉冲跟踪与单脉冲成像的区别,系统梳理了单脉冲成像的现有技术方法和评价指标,并对不同方法的性能进行了分析。接着,介绍了单脉冲成像技术在三维成像、运动目标定位成像以及多视角图像融合等不同场景中的具体应用案例。最后,展望了单脉冲成像技术的发展趋势,分析了成像质量提升和应用范围扩展等未来研究方向。
2026, 15(1): 331-344.
摘要:
智能干扰决策技术的发展,显著提升了敏感目标在战场中的生存对抗能力。然而,现有干扰决策算法仅考虑有源干扰,忽略了无源干扰策略优化问题,严重限制了干扰决策对抗模型的应用场景。针对这一缺陷,该文基于彩虹深度Q网络(Rainbow DQN)与二分法,构建了一种有源-无源干扰策略联合优化方法,利用Rainbow DQN决策有无源干扰样式序列,并以二分法动态搜索无源干扰最优释放位置;考虑干扰对抗环境的非完全观测性,该文进一步设计了基于雷达波束指向点变化的奖励函数,以准确反馈干扰策略的有效性。通过仿真模拟干扰机-雷达对抗实验,与深度Q网络(DQN)、决策优势分离深度Q网络(Dueling DQN)及双重深度Q网络(Double DQN) 3种主流干扰决策模型相比,所提方法的Q值平均提升2.43倍,奖励均值平均提升3.09倍,无源干扰位置决策步数缩短50%以上。实验结果表明,该文所提基于Rainbow DQN与二分法的有源-无源干扰策略联合优化方法,可实现有源干扰与无源干扰联合有效决策,进一步提高了干扰策略决策模型适用性,显著提升了干扰机电子对抗中的价值。 智能干扰决策技术的发展,显著提升了敏感目标在战场中的生存对抗能力。然而,现有干扰决策算法仅考虑有源干扰,忽略了无源干扰策略优化问题,严重限制了干扰决策对抗模型的应用场景。针对这一缺陷,该文基于彩虹深度Q网络(Rainbow DQN)与二分法,构建了一种有源-无源干扰策略联合优化方法,利用Rainbow DQN决策有无源干扰样式序列,并以二分法动态搜索无源干扰最优释放位置;考虑干扰对抗环境的非完全观测性,该文进一步设计了基于雷达波束指向点变化的奖励函数,以准确反馈干扰策略的有效性。通过仿真模拟干扰机-雷达对抗实验,与深度Q网络(DQN)、决策优势分离深度Q网络(Dueling DQN)及双重深度Q网络(Double DQN) 3种主流干扰决策模型相比,所提方法的Q值平均提升2.43倍,奖励均值平均提升3.09倍,无源干扰位置决策步数缩短50%以上。实验结果表明,该文所提基于Rainbow DQN与二分法的有源-无源干扰策略联合优化方法,可实现有源干扰与无源干扰联合有效决策,进一步提高了干扰策略决策模型适用性,显著提升了干扰机电子对抗中的价值。
智能干扰决策技术的发展,显著提升了敏感目标在战场中的生存对抗能力。然而,现有干扰决策算法仅考虑有源干扰,忽略了无源干扰策略优化问题,严重限制了干扰决策对抗模型的应用场景。针对这一缺陷,该文基于彩虹深度Q网络(Rainbow DQN)与二分法,构建了一种有源-无源干扰策略联合优化方法,利用Rainbow DQN决策有无源干扰样式序列,并以二分法动态搜索无源干扰最优释放位置;考虑干扰对抗环境的非完全观测性,该文进一步设计了基于雷达波束指向点变化的奖励函数,以准确反馈干扰策略的有效性。通过仿真模拟干扰机-雷达对抗实验,与深度Q网络(DQN)、决策优势分离深度Q网络(Dueling DQN)及双重深度Q网络(Double DQN) 3种主流干扰决策模型相比,所提方法的Q值平均提升2.43倍,奖励均值平均提升3.09倍,无源干扰位置决策步数缩短50%以上。实验结果表明,该文所提基于Rainbow DQN与二分法的有源-无源干扰策略联合优化方法,可实现有源干扰与无源干扰联合有效决策,进一步提高了干扰策略决策模型适用性,显著提升了干扰机电子对抗中的价值。 智能干扰决策技术的发展,显著提升了敏感目标在战场中的生存对抗能力。然而,现有干扰决策算法仅考虑有源干扰,忽略了无源干扰策略优化问题,严重限制了干扰决策对抗模型的应用场景。针对这一缺陷,该文基于彩虹深度Q网络(Rainbow DQN)与二分法,构建了一种有源-无源干扰策略联合优化方法,利用Rainbow DQN决策有无源干扰样式序列,并以二分法动态搜索无源干扰最优释放位置;考虑干扰对抗环境的非完全观测性,该文进一步设计了基于雷达波束指向点变化的奖励函数,以准确反馈干扰策略的有效性。通过仿真模拟干扰机-雷达对抗实验,与深度Q网络(DQN)、决策优势分离深度Q网络(Dueling DQN)及双重深度Q网络(Double DQN) 3种主流干扰决策模型相比,所提方法的Q值平均提升2.43倍,奖励均值平均提升3.09倍,无源干扰位置决策步数缩短50%以上。实验结果表明,该文所提基于Rainbow DQN与二分法的有源-无源干扰策略联合优化方法,可实现有源干扰与无源干扰联合有效决策,进一步提高了干扰策略决策模型适用性,显著提升了干扰机电子对抗中的价值。
2026, 15(1): 345-360.
摘要:
在雷达目标识别领域,二十面体角反射器的引入无疑提升了目标辨识任务的难度。这种情况在中高海况下将尤为严重。剧烈起伏的海面将与二十面体角反射器形成耦合散射,这可能达到与目标相似的散射特性,从而导致传统目标辨识方法性能下降。针对中高海况下目标辨识难的问题,该文从主要散射机理和散射复杂程度两个方面,构建了极化特征-距离联合矩阵,表征中高海况下舰船与二十面体角反射器阵列之间的差异。然后,利用时序神经网络提取两者极化特征-距离联合矩阵的特征,以实现对目标的有效辨识。经数据集的验证,所提出的方法可以有效减少手工知识提取过程中的信息丢失。在中高海况条件下,相较于现有方法,该方法的准确率提升了10.14%,大幅降低了二十面体角反射器阵列造成的虚警。 在雷达目标识别领域,二十面体角反射器的引入无疑提升了目标辨识任务的难度。这种情况在中高海况下将尤为严重。剧烈起伏的海面将与二十面体角反射器形成耦合散射,这可能达到与目标相似的散射特性,从而导致传统目标辨识方法性能下降。针对中高海况下目标辨识难的问题,该文从主要散射机理和散射复杂程度两个方面,构建了极化特征-距离联合矩阵,表征中高海况下舰船与二十面体角反射器阵列之间的差异。然后,利用时序神经网络提取两者极化特征-距离联合矩阵的特征,以实现对目标的有效辨识。经数据集的验证,所提出的方法可以有效减少手工知识提取过程中的信息丢失。在中高海况条件下,相较于现有方法,该方法的准确率提升了10.14%,大幅降低了二十面体角反射器阵列造成的虚警。
在雷达目标识别领域,二十面体角反射器的引入无疑提升了目标辨识任务的难度。这种情况在中高海况下将尤为严重。剧烈起伏的海面将与二十面体角反射器形成耦合散射,这可能达到与目标相似的散射特性,从而导致传统目标辨识方法性能下降。针对中高海况下目标辨识难的问题,该文从主要散射机理和散射复杂程度两个方面,构建了极化特征-距离联合矩阵,表征中高海况下舰船与二十面体角反射器阵列之间的差异。然后,利用时序神经网络提取两者极化特征-距离联合矩阵的特征,以实现对目标的有效辨识。经数据集的验证,所提出的方法可以有效减少手工知识提取过程中的信息丢失。在中高海况条件下,相较于现有方法,该方法的准确率提升了10.14%,大幅降低了二十面体角反射器阵列造成的虚警。 在雷达目标识别领域,二十面体角反射器的引入无疑提升了目标辨识任务的难度。这种情况在中高海况下将尤为严重。剧烈起伏的海面将与二十面体角反射器形成耦合散射,这可能达到与目标相似的散射特性,从而导致传统目标辨识方法性能下降。针对中高海况下目标辨识难的问题,该文从主要散射机理和散射复杂程度两个方面,构建了极化特征-距离联合矩阵,表征中高海况下舰船与二十面体角反射器阵列之间的差异。然后,利用时序神经网络提取两者极化特征-距离联合矩阵的特征,以实现对目标的有效辨识。经数据集的验证,所提出的方法可以有效减少手工知识提取过程中的信息丢失。在中高海况条件下,相较于现有方法,该方法的准确率提升了10.14%,大幅降低了二十面体角反射器阵列造成的虚警。
2026, 15(1): 361-386.
摘要:
近年来,人工智能技术和对地观测领域的结合已成为领域发展的前沿热点,多模态大语言模型(MLLM)的快速发展为智能解译带来新的机遇和挑战。多模态对地观测大模型通过构建大语言模型与视觉模型之间的桥接机制并采用联合训练方式,深度融合光学影像、合成孔径雷达影像与文本等多模态信息,有效推动对地观测智能解译由浅层语义匹配向高层的世界知识理解跃迁。该文系统性回顾了多模态对地观测大模型的相关研究成果,以期为新的研究方向提供依据。具体而言,该文首先明确了多模态对地观测大模型(EO-MLLM)的概念定义,并梳理了多模态对地观测大模型的发展脉络。随后,详细阐述了多模态对地观测大模型的模型架构、训练方法、适用任务及其对应的基准数据集,并介绍了对地观测智能体。最后,探讨了多模态对地观测大模型的研究现状和未来发展方向。 近年来,人工智能技术和对地观测领域的结合已成为领域发展的前沿热点,多模态大语言模型(MLLM)的快速发展为智能解译带来新的机遇和挑战。多模态对地观测大模型通过构建大语言模型与视觉模型之间的桥接机制并采用联合训练方式,深度融合光学影像、合成孔径雷达影像与文本等多模态信息,有效推动对地观测智能解译由浅层语义匹配向高层的世界知识理解跃迁。该文系统性回顾了多模态对地观测大模型的相关研究成果,以期为新的研究方向提供依据。具体而言,该文首先明确了多模态对地观测大模型(EO-MLLM)的概念定义,并梳理了多模态对地观测大模型的发展脉络。随后,详细阐述了多模态对地观测大模型的模型架构、训练方法、适用任务及其对应的基准数据集,并介绍了对地观测智能体。最后,探讨了多模态对地观测大模型的研究现状和未来发展方向。
近年来,人工智能技术和对地观测领域的结合已成为领域发展的前沿热点,多模态大语言模型(MLLM)的快速发展为智能解译带来新的机遇和挑战。多模态对地观测大模型通过构建大语言模型与视觉模型之间的桥接机制并采用联合训练方式,深度融合光学影像、合成孔径雷达影像与文本等多模态信息,有效推动对地观测智能解译由浅层语义匹配向高层的世界知识理解跃迁。该文系统性回顾了多模态对地观测大模型的相关研究成果,以期为新的研究方向提供依据。具体而言,该文首先明确了多模态对地观测大模型(EO-MLLM)的概念定义,并梳理了多模态对地观测大模型的发展脉络。随后,详细阐述了多模态对地观测大模型的模型架构、训练方法、适用任务及其对应的基准数据集,并介绍了对地观测智能体。最后,探讨了多模态对地观测大模型的研究现状和未来发展方向。 近年来,人工智能技术和对地观测领域的结合已成为领域发展的前沿热点,多模态大语言模型(MLLM)的快速发展为智能解译带来新的机遇和挑战。多模态对地观测大模型通过构建大语言模型与视觉模型之间的桥接机制并采用联合训练方式,深度融合光学影像、合成孔径雷达影像与文本等多模态信息,有效推动对地观测智能解译由浅层语义匹配向高层的世界知识理解跃迁。该文系统性回顾了多模态对地观测大模型的相关研究成果,以期为新的研究方向提供依据。具体而言,该文首先明确了多模态对地观测大模型(EO-MLLM)的概念定义,并梳理了多模态对地观测大模型的发展脉络。随后,详细阐述了多模态对地观测大模型的模型架构、训练方法、适用任务及其对应的基准数据集,并介绍了对地观测智能体。最后,探讨了多模态对地观测大模型的研究现状和未来发展方向。
作者中心
专家审稿
责编办公
编辑办公
上一期
摘要
23305KB
微信 | 公众平台 