扩展杂波下MIMO雷达通信一体化收发机联合设计研究

张卓钰 巩朋成 尹晨 郭庆华 吴云韬 曾丽 黎扬

张卓钰, 巩朋成, 尹晨, 等. 扩展杂波下MIMO雷达通信一体化收发机联合设计研究[J]. 雷达学报(中英文), 2026, 15(1): 135–149. doi: 10.12000/JR25035
引用本文: 张卓钰, 巩朋成, 尹晨, 等. 扩展杂波下MIMO雷达通信一体化收发机联合设计研究[J]. 雷达学报(中英文), 2026, 15(1): 135–149. doi: 10.12000/JR25035
ZHANG Zhuoyu, GONG Pengcheng, YIN Chen, et al. Research on joint design of transceiver for MIMO radar-communication integration under extended clutter[J]. Journal of Radars, 2026, 15(1): 135–149. doi: 10.12000/JR25035
Citation: ZHANG Zhuoyu, GONG Pengcheng, YIN Chen, et al. Research on joint design of transceiver for MIMO radar-communication integration under extended clutter[J]. Journal of Radars, 2026, 15(1): 135–149. doi: 10.12000/JR25035

扩展杂波下MIMO雷达通信一体化收发机联合设计研究

DOI: 10.12000/JR25035 CSTR: 32380.14.JR25035
基金项目: 中央引导地方科技发展资金(2024CSA080),国家自然科学基金(62071172),湖北省自然科学基金创新群体项目(2023AFA035),湖北省计划创新项目(2024BAA005),武汉工程大学科学研究基金(K2023117),武汉工程大学研究生教育创新基金(CX2024168)
详细信息
    作者简介:

    张卓钰,硕士生,主要研究方向为MIMO雷达信号处理、通信雷达一体化

    巩朋成,博士,副教授,硕士生导师,主要研究方向为频率分集阵列雷达、MIMO雷达信号处理

    尹 晨,硕士生,主要研究方向为MIMO雷达信号处理、雷达通信一体化

    郭庆华,博士,副教授,主要研究方向为信号处理、通信、雷达和光学传感

    吴云韬,博士,教授、博士生导师,主要研究方向为阵列信号处理

    曾 丽,博士,讲师,主要研究方向为雷达信号处理、阵列信号处理

    黎扬:黎 杨,博士,讲师,主要研究方向为雷达信号处理、阵列信号处理、天线与电波传播

    通讯作者:

    巩朋成 gpcheng03@163.com

    吴云韬 ytwu@sina.com

    责任主编:刘凡 Corresponding Editor: LIU Fan

  • 中图分类号: TN95

Research on Joint Design of Transceiver for MIMO Radar-communication Integration under Extended Clutter

Funds: The Central Government Guided Local Funds for Science and Technology Development (2024CSA080), The National Natural Science Foundation of China (62071172), The Hubei Provincial Natural Science Foundation of China (2023AFA035), The Plan Innovation of Hubei Province (2024BAA005), The Scientific Research Foundation of Wuhan Institute of Technology (K2023117), The Graduate Education Innovation Foundation of Wuhan Institute of Technology (CX2024168)
More Information
  • 摘要: 针对雷达通信一体化(RCI)在扩展杂波环境中目标检测能力弱和通信性能受限制的问题,该文提出一种扩展目标脉冲响应(TIR)不确定性集合下MIMO RCI系统发射信号波形和接收滤波器联合优化算法。首先,考虑到实际中无法预先准确获得扩展TIR,该文建立TIR存在于球面不确定性集合下,以最大化最小信干噪比为目标的优化函数。其次,为了保障MIMO RCI系统服务每个用户的信息传输可靠性,采用每用户干扰约束,并引入相似性和峰均比约束以确保发射波形具备良好的模糊函数特性。针对构建的非凸二次约束分式规划问题,该文提出了一种循环优化算法迭代优化发射信号波形和接收滤波器。该算法先利用广义瑞利熵获得最优接收滤波器;再利用拉格朗日对偶原理,将原NP-Hard问题中的非凸部分转化为凸问题,并通过半正定优化方法求解。此外,该文也给出了收敛性和计算复杂度分析。仿真结果表明,提出的算法能在扩展杂波背景下有效提高雷达信干噪比,同时满足多用户通信需求。

     

  • 图  1  MIMO雷达通信一体化系统

    Figure  1.  Multi-input multi-output radar-communication integration system

    图  2  不同PAR参数下输出SINR对比

    Figure  2.  Comparison of output SINR under different PAR

    图  3  不同PAR参数下设计波形的功率

    Figure  3.  Power of designed waveforms under different PAR

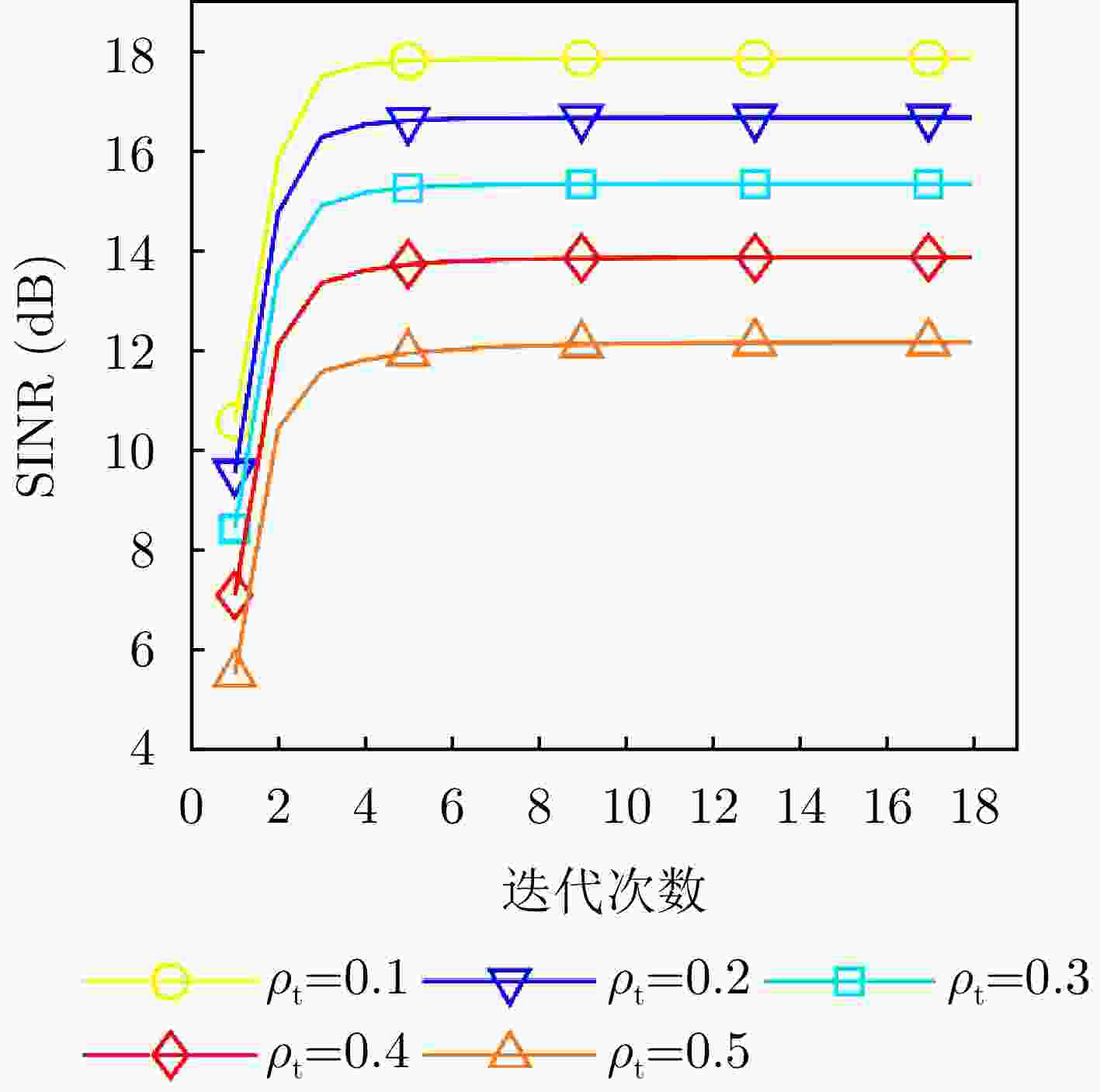
    图  4  不同凸集参数下输出SINR对比

    Figure  4.  Comparison of output SINR under different convex set parameters

    图  5  不同杂波分布下输出SINR

    Figure  5.  Output SINR under different clutter distributions

    图  6  一体化系统波束方向图(杂波性能)

    Figure  6.  Beam pattern of the integrated system (clutter performance)

    图  7  不同相似性约束下输出SINR对比

    Figure  7.  Comparison of output SINR under different similarity constraints

    图  8  不同相似性约束下波形模糊函数对比

    Figure  8.  Comparison of ambiguity functions under different similarity constraints

    图  9  不同用户互干扰能量下输出信噪比对比

    Figure  9.  Comparison of output SINR under different mutual user interference energies

    图  10  合成通信信号质量($\varepsilon = \mathop {10}\nolimits^{ - 5} $)

    Figure  10.  Quality of synthesized communication signals ($\varepsilon = \mathop {10}\nolimits^{ - 5} $)

    图  11  用户的数量对互干扰能量影响

    Figure  11.  Influence of number of users on mutual user interference energies

    图  12  雷达性能和通信性能权衡

    Figure  12.  Trade-off between radar performance and communication performance

    图  13  与文献[31]对比实验

    Figure  13.  Comparative experiments with Ref. [31]

    1  联合优化算法

    1.   Joint optimization algorithm

     输入:${{\boldsymbol{H}}_{\mathrm{T}}},\left\{ {{{\boldsymbol{H}}_{{\mathrm{c}},p}}} \right\}_1^P,{{\boldsymbol{D}}_{\mathrm{c}}},{{\boldsymbol{R}}_{\mathrm{c}}},{{\boldsymbol{R}}_{\mathrm{n}}},{{\boldsymbol{t}}_0},r,{\varepsilon _{\mathrm{s}}}$
     初始化:
       初始化迭代轮数$k = 0$和发射波形${{\boldsymbol{s}}^{(0)}}$,通过式(26)来计算
       最优${{\boldsymbol{w}}^{(0)}}$,记录最小化输出的$ {\text{SINR}} $为${\text{SIN}}{{\text{R}}^{(0)}}$。
     迭代:
       步骤1 通过解决式(38)来得到最优波形协方差矩阵${\boldsymbol{R}}_{\rm{s}}^{(n + 1)}$;
       步骤2 $n = n + 1$,通过计算式(26)来得到并且记录最小化
       输出的$ {\text{SINR}} $为${\text{SIN}}{{\text{R}}^{(n)}}$;
       步骤3 如果符合迭代停止条件
       $\left| {{\text{SIN}}{{\text{R}}^{(n)}} - {\text{SIN}}{{\text{R}}^{(n - 1)}}} \right|/{\text{SIN}}{{\text{R}}^{(n - 1)}} \le {\varepsilon _{\mathrm{s}}}$则停止;否则转
       至步骤1。其中,${\varepsilon _{\mathrm{s}}}$为停止的阈值,本文设置为${10^{ - 4}}$。
     合成波形:
       通过随机化方案从${\boldsymbol{R}}_{\text{s}}^{(n)}$合成${{\boldsymbol{s}}^{(n)}}$,合成次数设置为${N_g}$次,
       ${N_g}$越大其合成波形的质量越高,若无法满足约束,则以
       $ {\boldsymbol{R}}_{\mathrm{s}}^{(n + 1)} $最大特征值对应的向量作为次优解。
     输出:${{\boldsymbol{s}}^*} = {{\boldsymbol{s}}^{(n)}};{{\boldsymbol{w}}^*} = {{\boldsymbol{w}}^{(n)}}$。
    下载: 导出CSV

    表  1  不同信杂比下最大迭代轮次

    Table  1.   Maximum iteration rounds under different SCR

    SCR (dB) 最大轮次
    –10 53
    –5 44
    0 39
    5 27
    10 19
    15 13
    下载: 导出CSV
  • [1] MA Dingyou, SHLEZINGER N, HUANG Tianyao, et al. Joint radar-communication strategies for autonomous vehicles: Combining two key automotive technologies[J]. IEEE Signal Processing Magazine, 2020, 37(4): 85–97. doi: 10.1109/MSP.2020.2983832.
    [2] 刘凡, 袁伟杰, 原进宏, 等. 雷达通信频谱共享及一体化: 综述与展望[J]. 雷达学报, 2020, 10(3): 467–484. doi: 10.12000/JR20113.

    LIU Fan, YUAN Weijie, YUAN Jinhong, et al. Radar-communication spectrum sharing and integration: Overview and prospect[J]. Journal of Radars, 2021, 10(3): 467–484. doi: 10.12000/JR20113.
    [3] 程翔, 张浩天, 杨宗辉, 等. 车联网通信感知一体化研究: 现状与发展趋势[J]. 通信学报, 2022, 43(8): 188–202. doi: 10.11959/j.issn.1000-436x.2022137.

    CHENG Xiang, ZHANG Haotian, YANG Zonghui, et al. Integrated sensing and communications for internet of vehicles: Current status and development trend[J]. Journal on Communications, 2022, 43(8): 188–202. doi: 10.11959/j.issn.1000-436x.2022137.
    [4] 余显祥, 姚雪, 杨婧, 等. 面向感知应用的通感一体化信号设计技术与综述[J]. 雷达学报, 2023, 12(2): 247–261. doi: 10.12000/JR23015.

    YU Xianxiang, YAO Xue, YANG Jing, et al. Radar-centric DFRC signal design: Overview and future research avenues[J]. Journal of Radars, 2023, 12(2): 247–261. doi: 10.12000/JR23015.
    [5] MENG Kaitao, WU Qingqing, MA Shaodan, et al. Throughput maximization for UAV-enabled integrated periodic sensing and communication[J]. IEEE Transactions on Wireless Communications, 2023, 22(1): 671–687. doi: 10.1109/TWC.2022.3197623.
    [6] MENG Kaitao, WU Qingqing, MA Shaodan, et al. UAV trajectory and beamforming optimization for integrated periodic sensing and communication[J]. IEEE Wireless Communications Letters, 2022, 11(6): 1211–1215. doi: 10.1109/LWC.2022.3161338.
    [7] ARABAS P, SIKORA A, and SZYNKIEWICZ W. Energy-aware activity control for wireless sensing infrastructure using periodic communication and mixed-integer programming[J]. Energies, 2021, 14(16): 4828. doi: 10.3390/en14164828.
    [8] 唐波, 汤俊, 胡元奎. 基于MIMO阵列的综合射频系统技术研究[J]. 信息对抗技术, 2022, 1(1): 62–72. doi: 10.12399/j.issn.2097-163x.2022.01.006.

    TANG Bo, TANG Jun, and HU Yuankui. Multifunction radio frequency systems based on MIMO array[J]. Information Countermeasure Technology, 2022, 1(1): 62–72. doi: 10.12399/j.issn.2097-163x.2022.01.006.
    [9] WEN Cai, HUANG Yan, and DAVIDSON T N. Efficient transceiver design for MIMO dual-function radar-communication systems[J]. IEEE Transactions on Signal Processing, 2023, 71: 1786–1801. doi: 10.1109/TSP.2023.3275274.
    [10] DELIGIANNIS A, DANIYAN A, LAMBOTHARAN S, et al. Secrecy rate optimizations for MIMO communication radar[J]. IEEE Transactions on Aerospace and Electronic Systems, 2018, 54(5): 2481–2492. doi: 10.1109/TAES.2018.2820370.
    [11] CHEN Yufeng, LIAO Guisheng, LIU Yongjun, et al. Joint subcarrier and power allocation for integrated OFDM waveform in RadCom systems[J]. IEEE Communications Letters, 2023, 27(1): 253–257. doi: 10.1109/LCOMM.2022.3216865.
    [12] 范绍帅, 王煜菲, 田辉, 等. 面向无人机雷达通信一体化系统的轨迹与资源联合优化[J]. 通信学报, 2021, 42(11): 182–192. doi: 10.11959/j.issn.1000-436x.2021201.

    FAN Shaoshuai, WANG Yufei, TIAN Hui, et al. Joint optimization of trajectory and resource allocation for UAV integrated radar and communication system[J]. Journal on Communications, 2021, 42(11): 182–192. doi: 10.11959/j.issn.1000-436x.2021201.
    [13] SU Nanchi, LIU Fan, and MASOUROS C. Secure radar-communication systems with malicious targets: Integrating radar, communications and jamming functionalities[J]. IEEE Transactions on Wireless Communications, 2021, 20(1): 83–95. doi: 10.1109/TWC.2020.3023164.
    [14] DU Ying, LIU Yao, HAN Kaifeng, et al. Multi-user and multi-target dual-function radar-communication waveform design: Multi-fold performance tradeoffs[J]. IEEE Transactions on Green Communications and Networking, 2023, 7(1): 483–496. doi: 10.1109/TGCN.2023.3234275.
    [15] WU Wenjun, TANG Bo, and WANG Xuyang. Constant-modulus waveform design for dual-function radar-communication systems in the presence of clutter[J]. IEEE Transactions on Aerospace and Electronic Systems, 2023, 59(4): 4005–4017. doi: 10.1109/TAES.2023.3234927.
    [16] LIU Xiang, HUANG Tianyao, and LIU Yimin. Transmit design for joint MIMO radar and multiuser communications with transmit covariance constraint[J]. IEEE Journal on Selected Areas in Communications, 2022, 40(6): 1932–1950. doi: 10.1109/JSAC.2022.3155512.
    [17] LIU Xiang, HUANG Tianyao, SHLEZINGER N, et al. Joint transmit beamforming for multiuser MIMO communications and MIMO radar[J]. IEEE Transactions on Signal Processing, 2020, 68: 3929–3944. doi: 10.1109/TSP.2020.3004739.
    [18] GUO Baoxi, LIANG Junli, WANG Guanyang, et al. Bistatic MIMO DFRC system waveform design via fractional programming[J]. IEEE Transactions on Signal Processing, 2023, 71: 1952–1967. doi: 10.1109/TSP.2023.3279900.
    [19] YUAN Weijie, LIU Fan, MASOUROS C, et al. Bayesian predictive beamforming for vehicular networks: A low-overhead joint radar-communication approach[J]. IEEE Transactions on Wireless Communications, 2021, 20(3): 1442–1456. doi: 10.1109/TWC.2020.3033776.
    [20] KUMARI P, VOROBYOV S A, and HEATH R W. Adaptive virtual waveform design for millimeter-wave joint communication-radar[J]. IEEE Transactions on Signal Processing, 2020, 68: 715–730. doi: 10.1109/TSP.2019.2956689.
    [21] TANG Bo, WANG Hai, QIN Lilong, et al. Waveform design for dual-function MIMO radar-communication systems[C]. 2020 IEEE 11th Sensor Array and Multichannel Signal Processing Workshop (SAM), Hangzhou, China, 2020: 1–5. doi: 10.1109/SAM48682.2020.9104378.
    [22] YAZICI B and XIE Gang. Wideband extended range-Doppler imaging and waveform design in the presence of clutter and noise[J]. IEEE transactions on Information Theory, 2006, 52(10): 4563–4580. doi: 10.1109/TIT.2006.881750.
    [23] CHEN Chunyang and VAIDYANATHAN P P. MIMO radar waveform optimization with prior information of the extended target and clutter[J]. IEEE Transactions on Signal Processing, 2009, 57(9): 3533–3544. doi: 10.1109/TSP.2009.2021632.
    [24] BELL M R. Information theory and radar waveform design[J]. IEEE Transactions on Information Theory, 1993, 39(5): 1578–1597. doi: 10.1109/18.259642.
    [25] GOODMAN N A, VENKATA P R, and NEIFELD M A. Adaptive waveform design and sequential hypothesis testing for target recognition with active sensors[J]. IEEE Journal of Selected Topics in Signal Processing, 2007, 1(1): 105–113. doi: 10.1109/JSTSP.2007.897053.
    [26] QIAN Junhui, SUN Zhouran, ZHANG Jinru, et al. Designing sequences for the coexistence of radar with extended target and communication energy harvesting[J]. IEEE Transactions on Circuits and Systems II: Express Briefs, 2024, 71(5): 2894–2898. doi: 10.1109/TCSII.2024.3351729.
    [27] YANG Yang and BLUM R S. Minimax robust MIMO radar waveform design[J]. IEEE Journal of Selected Topics in Signal Processing, 2007, 1(1): 147–155. doi: 10.1109/JSTSP.2007.897056.
    [28] TANG Bo and TANG Jun. Robust waveform design of wideband cognitive radar for extended target detection[C]. 2016 IEEE International Conference on Acoustics, Speech and Signal Processing (ICASSP), Shanghai, China, 2016: 3096–3100. doi: 10.1109/ICASSP.2016.7472247.
    [29] LIU Fan, LIU Yafeng, LI Ang, et al. Cramér-Rao bound optimization for joint radar-communication beamforming[J]. IEEE Transactions on Signal Processing, 2022, 70: 240–253. doi: 10.1109/TSP.2021.3135692.
    [30] CHENG Ziyang, WU Linlong, WANG Bowen, et al. Double-phase-shifter based hybrid beamforming for mmWave DFRC in the presence of extended target and clutters[J]. IEEE Transactions on Wireless Communications, 2023, 22(6): 3671–3686. doi: 10.1109/TWC.2022.3220368.
    [31] KARBASI S M, AUBRY A, DE MAIO A, et al. Robust transmit code and receive filter design for extended targets in clutter[J]. IEEE Transactions on Signal Processing, 2015, 63(8): 1965–1976. doi: 10.1109/TSP.2015.2404301.
    [32] CHEN Xixi, DENG Xiaobo, and HAO Zhimei. Waveform design for extended target detection under a peak to average power ratio constraint[C]. 2016 CIE International Conference on Radar (RADAR), Guangzhou, China, 2016: 1–4. doi: 10.1109/RADAR.2016.8059566.
    [33] XU Zhou, XIE Zhuang, FAN Chongyi, et al. Robust radar waveform design for extended targets with multiple spectral compatibility constraints[J]. Signal Processing, 2023, 204: 108850. doi: 10.1016/j.sigpro.2022.108850.
    [34] ZHU Jinkun, SONG Yongping, TANG Yuhang, et al. Performance trade-off in waveform design for dual-function radar and communication system[J]. IEEE Wireless Communications Letters, 2024, 13(1): 74–78. doi: 10.1109/LWC.2023.3319972.
    [35] YANG Rui, JIANG Hong, and QU Liangdong. Waveform design for MIMO dual-functional radar-communication system using MUI energy minimization with PAPR and CRB constraints[J]. IEEE Communications Letters, 2023, 27(5): 1417–1421. doi: 10.1109/LCOMM.2023.3259549.
    [36] GUO Wenbo, LIN Lang, ZHAO Hongzhi, et al. Reference-free artificial noise waveform design and cancellation for secure transmission[J]. IEEE Transactions on Vehicular Technology, 2022, 71(9): 10149–10154. doi: 10.1109/TVT.2022.3178884.
    [37] SU Nanchi, LIU Fan, WEI Zhongxiang, et al. Secure dual-functional radar-communication transmission: Exploiting interference for resilience against target eavesdropping[J]. IEEE Transactions on Wireless Communications, 2022, 21(9): 7238–7252. doi: 10.1109/TWC.2022.3156893.
    [38] WEI Zhongxiang, LIU Fan, MASOUROS C, et al. Toward multi-functional 6G wireless networks: Integrating sensing, communication, and security[J]. IEEE Communications Magazine, 2022, 60(4): 65–71. doi: 10.1109/MCOM.002.2100972.
    [39] STOICA P, LI Jian, and ZHU Xumin. Waveform synthesis for diversity-based transmit beampattern design[J]. IEEE Transactions on Signal Processing, 2008, 56(6): 2593–2598. doi: 10.1109/TSP.2007.916139.
    [40] AUBRY A, CAROTENUTO V, and DE MAIO A. Forcing multiple spectral compatibility constraints in radar waveforms[J]. IEEE Signal Processing Letters, 2016, 23(4): 483–487. doi: 10.1109/LSP.2016.2532739.
    [41] CUI Guolong, LI Hongbin, and RANGASWAMY M. MIMO radar waveform design with constant modulus and similarity constraints[J]. IEEE Transactions on Signal Processing, 2014, 62(2): 343–353. doi: 10.1109/TSP.2013.2288086.
    [42] CHENG Ziyang, HE Zishu, LIAO Bin, et al. MIMO radar waveform design with PAPR and similarity constraints[J]. IEEE Transactions on Signal Processing, 2018, 66(4): 968–981. doi: 10.1109/TSP.2017.2780052.
    [43] RAZAVIYAYN M, HUANG Tianjian, LU Songtao, et al. Nonconvex min-max optimization: Applications, challenges, and recent theoretical advances[J]. IEEE Signal Processing Magazine, 2020, 37(5): 55–66. doi: 10.1109/MSP.2020.3003851.
    [44] XU Zhou, ZHU Jiahua, XIE Zhuang, et al. MIMO radar robust waveform-filter design for extended targets based on Lagrangian duality[J]. IEEE Transactions on Aerospace and Electronic Systems, 2023, 59(2): 1021–1036. doi: 10.1109/TAES.2022.3194501.
    [45] HUANG Yongwei, FU Hao, VOROBYOV S A, et al. Robust adaptive beamforming via worst-case SINR maximization with nonconvex uncertainty sets[J]. IEEE Transactions on Signal Processing, 2023, 71: 218–232. doi: 10.1109/TSP.2023.3240312.
    [46] KIM S J, MAGNANI A, MUTAPCIC A, et al. Robust beamforming via worst-case SINR maximization[J]. IEEE Transactions on Signal Processing, 2008, 56(4): 1539–1547. doi: 10.1109/TSP.2007.911498.
    [47] DE MAIO A, HUANG Yongwei, PIEZZO M, et al. Design of optimized radar codes with a peak to average power ratio constraint[J]. IEEE Transactions on Signal Processing, 2011, 59(6): 2683–2697. doi: 10.1109/TSP.2011.2128313.
    [48] 吴文俊, 唐波, 汤俊, 等. 杂波环境中雷达通信一体化系统波形设计算法研究[J]. 雷达学报, 2022, 11(4): 570–580. doi: 10.12000/JR22105.

    WU Wenjun, TANG Bo, TANG Jun, et al. Waveform design for dual-function radar-communication systems in clutter[J]. Journal of Radars, 2022, 11(4): 570–580. doi: 10.12000/JR22105.
  • 加载中
图(13) / 表(2)
计量
  • 文章访问数: 
  • HTML全文浏览量: 
  • PDF下载量: 
  • 被引次数: 0
出版历程
  • 收稿日期:  2025-02-21
  • 修回日期:  2025-07-06
  • 网络出版日期:  2025-09-08
  • 刊出日期:  2026-02-28

目录

    /

    返回文章
    返回