2025 Vol. 14, No. 6
2025, 14(6): 1343-1357.
China has one of the longest land borders in the world and features a diverse range of terrain types and a dense electromagnetic environment. Therefore, in practical applications, airborne radar faces complex environments. The efficacy of detecting airborne radar is severely deteriorated in regions with complex terrains and electromagnetic environments, limiting the ability to meet military operational requirements. Cognitive Space-Time Adaptive Processing (STAP) is an effective technical approach for addressing this problem. In this study, a cognitive STAP architecture is proposed, and based on this architecture, the database, algorithm library, cognitive STAP technology, and feedback control are introduced. Analysis of the simulated data reveals that compared to traditional STAP technology, cognitive space-time adaptive processing technology can significantly enhance the efficacy of detecting moving targets using airborne radar in complex environments.
China has one of the longest land borders in the world and features a diverse range of terrain types and a dense electromagnetic environment. Therefore, in practical applications, airborne radar faces complex environments. The efficacy of detecting airborne radar is severely deteriorated in regions with complex terrains and electromagnetic environments, limiting the ability to meet military operational requirements. Cognitive Space-Time Adaptive Processing (STAP) is an effective technical approach for addressing this problem. In this study, a cognitive STAP architecture is proposed, and based on this architecture, the database, algorithm library, cognitive STAP technology, and feedback control are introduced. Analysis of the simulated data reveals that compared to traditional STAP technology, cognitive space-time adaptive processing technology can significantly enhance the efficacy of detecting moving targets using airborne radar in complex environments.
2025, 14(6): 1358-1375.
Traditional airborne radar Pulse Compression (PC) and Space-Time Adaptive Processing (STAP) suffer performance degradation in complex target and clutter environments due to their reliance on predefined linear models. To address this issue, we developed a deep learning-based joint STAP-PC technique. This approach employed dedicated networks—a super-resolution space-time spectrum network for nonlinear clutter estimation and a PC network for nonlinear PC. The proposed architecture effectively mitigated model mismatch within the processing chain, leading to improved clutter suppression and target detection. Notably, we mathematically established the feasibility of post-pulse compensation to prevent nonlinear PC from introducing phase errors across elements and pulses. The implemented architecture utilized multimodule convolutional neural networks for super-resolution space-time spectrum estimation and PC, with each module’s functionality demonstrating clear mathematical correspondence, thereby ensuring the reliability of the overall processing chain. Simulation results revealed that in scenarios with dense weak targets and limited samples, the proposed nonlinear joint processing technique improved signal-to-clutter-plus-noise ratio by approximately 20 dB over traditional methods.
Traditional airborne radar Pulse Compression (PC) and Space-Time Adaptive Processing (STAP) suffer performance degradation in complex target and clutter environments due to their reliance on predefined linear models. To address this issue, we developed a deep learning-based joint STAP-PC technique. This approach employed dedicated networks—a super-resolution space-time spectrum network for nonlinear clutter estimation and a PC network for nonlinear PC. The proposed architecture effectively mitigated model mismatch within the processing chain, leading to improved clutter suppression and target detection. Notably, we mathematically established the feasibility of post-pulse compensation to prevent nonlinear PC from introducing phase errors across elements and pulses. The implemented architecture utilized multimodule convolutional neural networks for super-resolution space-time spectrum estimation and PC, with each module’s functionality demonstrating clear mathematical correspondence, thereby ensuring the reliability of the overall processing chain. Simulation results revealed that in scenarios with dense weak targets and limited samples, the proposed nonlinear joint processing technique improved signal-to-clutter-plus-noise ratio by approximately 20 dB over traditional methods.
2025, 14(6): 1376-1392.
Sparse Recovery-based Space-Time Adaptive Processing (SR-STAP) methods offer significant advantages in nonhomogeneous clutter environments owing to their minimal requirement for training samples. However, the performance of most existing SR-STAP methods is limited by the grid mismatch effect, which arises from the discretization of the space-time plane. To address this problem and enhance clutter suppression, this paper proposes a gridless SR-STAP method based on a nonconvex relaxation of atomic norm. The proposed method formulates a gridless sparse recovery model using atoms in the continuous domain, overcoming the grid mismatch effect inherent in traditional discrete dictionary-based methods. Furthermore, a nonconvex relaxation of atomic norm is employed, with optimization progress iteratively executed using a reweighting strategy, which effectively surpasses the resolution limit. In addition, to address the high computational complexity associated with solving semidefinite programming, a fast solution scheme based on an improved Alternating Direction Method of Multipliers (ADMM) is proposed. This scheme exploits the low-rank and block-Toeplitz properties of the clutter covariance matrix, reduces the algorithm’s complexity using an approximate positive semidefinite projection technique, and accelerates convergence with an adaptive penalty parameter based on hypergradient descent. Simulation results and real-measured data demonstrate that the proposed method achieves superior clutter suppression, robust target detection performance, and higher computational efficiency compared to existing SR-STAP methods.
Sparse Recovery-based Space-Time Adaptive Processing (SR-STAP) methods offer significant advantages in nonhomogeneous clutter environments owing to their minimal requirement for training samples. However, the performance of most existing SR-STAP methods is limited by the grid mismatch effect, which arises from the discretization of the space-time plane. To address this problem and enhance clutter suppression, this paper proposes a gridless SR-STAP method based on a nonconvex relaxation of atomic norm. The proposed method formulates a gridless sparse recovery model using atoms in the continuous domain, overcoming the grid mismatch effect inherent in traditional discrete dictionary-based methods. Furthermore, a nonconvex relaxation of atomic norm is employed, with optimization progress iteratively executed using a reweighting strategy, which effectively surpasses the resolution limit. In addition, to address the high computational complexity associated with solving semidefinite programming, a fast solution scheme based on an improved Alternating Direction Method of Multipliers (ADMM) is proposed. This scheme exploits the low-rank and block-Toeplitz properties of the clutter covariance matrix, reduces the algorithm’s complexity using an approximate positive semidefinite projection technique, and accelerates convergence with an adaptive penalty parameter based on hypergradient descent. Simulation results and real-measured data demonstrate that the proposed method achieves superior clutter suppression, robust target detection performance, and higher computational efficiency compared to existing SR-STAP methods.
2025, 14(6): 1393-1410.
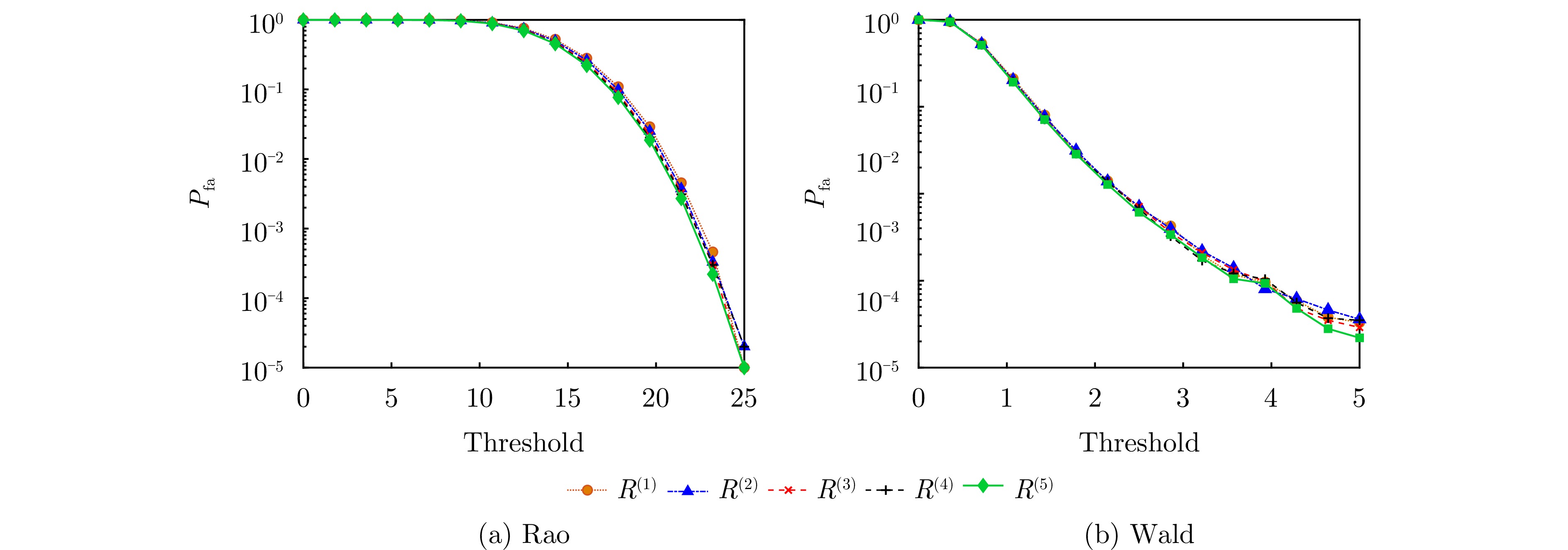
In this paper, we investigate the adaptive detection of range-distributed targets in compound-Gaussian clutter, where the texture component follows a Weighted Generalized Inverse Gaussian (WGIG) distribution. We propose adaptive detectors for WGIG-distributed clutter based on two-step Rao, Wald, Durbin, and Gradient tests. The unknown covariance matrix is estimated using Approximate Maximum Likelihood (AML) and the Normalized Sample Covariance Matrix (NSCM). To address the analytical intractability of Maximum A Posteriori (MAP) estimation for the texture component, we adopt an alternative approach: The MAP estimator of the reciprocal expectation of the texture component, which is used in designing adaptive detectors based on the Rao, Wald, and Durbin tests. For the Gradient test-based detector, the test statistic is derived directly from the posterior probability density function. Our theoretical analysis confirms the consistency of the detectors derived from the Rao, Durbin, and Gradient tests. Extensive evaluations on both simulated and real data yield three key findings: (1) The proposed AML-based detectors maintain the constant false alarm rate property; (2) Under matched signal conditions, the detectors based on the Rao and Wald tests achieve the best performance on both the IPIX radar dataset and the Journal of Radar’s maritime surveillance dataset—specifically, they outperform the two-step generalized likelihood ratio test-based detector, requiring 0.1~0.5 dB and 0.7~0.8 dB lower Signal-to-Clutter Ratio (SCR) to achieve the same detection probability, respectively; and (3) Under mismatched signal conditions, the Rao test-based detector with AML estimation exhibits superior robustness, while the Wald test-based detector demonstrates the strongest suppression capability against mismatched signals.
In this paper, we investigate the adaptive detection of range-distributed targets in compound-Gaussian clutter, where the texture component follows a Weighted Generalized Inverse Gaussian (WGIG) distribution. We propose adaptive detectors for WGIG-distributed clutter based on two-step Rao, Wald, Durbin, and Gradient tests. The unknown covariance matrix is estimated using Approximate Maximum Likelihood (AML) and the Normalized Sample Covariance Matrix (NSCM). To address the analytical intractability of Maximum A Posteriori (MAP) estimation for the texture component, we adopt an alternative approach: The MAP estimator of the reciprocal expectation of the texture component, which is used in designing adaptive detectors based on the Rao, Wald, and Durbin tests. For the Gradient test-based detector, the test statistic is derived directly from the posterior probability density function. Our theoretical analysis confirms the consistency of the detectors derived from the Rao, Durbin, and Gradient tests. Extensive evaluations on both simulated and real data yield three key findings: (1) The proposed AML-based detectors maintain the constant false alarm rate property; (2) Under matched signal conditions, the detectors based on the Rao and Wald tests achieve the best performance on both the IPIX radar dataset and the Journal of Radar’s maritime surveillance dataset—specifically, they outperform the two-step generalized likelihood ratio test-based detector, requiring 0.1~0.5 dB and 0.7~0.8 dB lower Signal-to-Clutter Ratio (SCR) to achieve the same detection probability, respectively; and (3) Under mismatched signal conditions, the Rao test-based detector with AML estimation exhibits superior robustness, while the Wald test-based detector demonstrates the strongest suppression capability against mismatched signals.
2025, 14(6): 1411-1429.
Clutter suppression is an important technology for moving target indication. However, for Bistatic Synthetic Aperture Radar (BiSAR) moving target indication, traditional space-time adaptive processing and displaced phase center antenna methods cannot achieve the expected clutter suppression because of the strong coupling nonlinearity and nonstationarity of clutter. To address the aforementioned challenge, this study proposes a dual-channel clutter cancellation processing method via space-time decoupling for airborne BiSAR. The core lies in establishing the space-time decoupling matrix, which converts the strongly coupled nonlinear two-dimensional space-time spectrum of airborne BiSAR into that with consistent spatial frequency. The proposed method mainly consists of the following steps: (1) To improve the signal-to-clutter-plus-noise ratio of moving targets, the first-order Keystone transformation and high-order range migration correction function are applied to concentrate the energy of moving targets in the same range cell. (2) To weaken the azimuth spectrum expansion effect caused by the motion of bistatic platforms, the Doppler frequency rate term is compensated for each range cell. (3) To achieve clutter cancellation, the space-time decoupling matrix is introduced. The normalized Doppler frequency remains unchanged, and the clutter atoms on the airborne BiSAR space-time plane are linearly transformed into atomic positions with the same normalized spatial frequency. Then, the echo signals of dual channels are subtracted for effective clutter suppression. The effectiveness of the proposed method for airborne BiSAR clutter suppression is demonstrated through simulation and real data processing.
Clutter suppression is an important technology for moving target indication. However, for Bistatic Synthetic Aperture Radar (BiSAR) moving target indication, traditional space-time adaptive processing and displaced phase center antenna methods cannot achieve the expected clutter suppression because of the strong coupling nonlinearity and nonstationarity of clutter. To address the aforementioned challenge, this study proposes a dual-channel clutter cancellation processing method via space-time decoupling for airborne BiSAR. The core lies in establishing the space-time decoupling matrix, which converts the strongly coupled nonlinear two-dimensional space-time spectrum of airborne BiSAR into that with consistent spatial frequency. The proposed method mainly consists of the following steps: (1) To improve the signal-to-clutter-plus-noise ratio of moving targets, the first-order Keystone transformation and high-order range migration correction function are applied to concentrate the energy of moving targets in the same range cell. (2) To weaken the azimuth spectrum expansion effect caused by the motion of bistatic platforms, the Doppler frequency rate term is compensated for each range cell. (3) To achieve clutter cancellation, the space-time decoupling matrix is introduced. The normalized Doppler frequency remains unchanged, and the clutter atoms on the airborne BiSAR space-time plane are linearly transformed into atomic positions with the same normalized spatial frequency. Then, the echo signals of dual channels are subtracted for effective clutter suppression. The effectiveness of the proposed method for airborne BiSAR clutter suppression is demonstrated through simulation and real data processing.
2025, 14(6): 1430-1450.
Existing moving-target detection methods for missile-borne sum-difference beam radars require large amounts of training range cell data, yet still exhibit low detection performance. To address these challenges, this paper proposes a new detection method based on intelligent multiclassification and network parameter transfer learning. The proposed method uses a small set of training range cell data to construct a dataset for training a deep Convolutional Neural Network (CNN), which classifies data from the Range Cell Under Test (RCUT) into clutter (target-free) or target classes with different Doppler frequencies. To avoid the high computational cost and time associated with online training on measured data, an echo signal model is first established for moving target detection in the missile-borne sum-difference beam radar. This model is validated using measured data and subsequently used to generate simulated data for offline network training. In addition, to overcome common limitations of typical CNNs, such as large parameter sets, high computing complexity, and low training efficiency, this paper enhances the DenseNet architecture by incorporating a Feature Fusion Module (FFM) and a Spatial Attention Module (SAM), resulting in an improved FFM-SAM-DenseNet multiclassifier. Furthermore, conventional detection methods based on intelligent multiclassification require retraining the network when processing data from different RCUTs, leading to long convergence time and reduced efficiency. To solve this problem, transfer learning is introduced to share network parameters across multiclassifiers for different RCUTs, accelerating the overall convergence speed. Simulation and measured data show that, even with limited training range cell data, the proposed method achieves better moving target detection performance than existing typical methods.
Existing moving-target detection methods for missile-borne sum-difference beam radars require large amounts of training range cell data, yet still exhibit low detection performance. To address these challenges, this paper proposes a new detection method based on intelligent multiclassification and network parameter transfer learning. The proposed method uses a small set of training range cell data to construct a dataset for training a deep Convolutional Neural Network (CNN), which classifies data from the Range Cell Under Test (RCUT) into clutter (target-free) or target classes with different Doppler frequencies. To avoid the high computational cost and time associated with online training on measured data, an echo signal model is first established for moving target detection in the missile-borne sum-difference beam radar. This model is validated using measured data and subsequently used to generate simulated data for offline network training. In addition, to overcome common limitations of typical CNNs, such as large parameter sets, high computing complexity, and low training efficiency, this paper enhances the DenseNet architecture by incorporating a Feature Fusion Module (FFM) and a Spatial Attention Module (SAM), resulting in an improved FFM-SAM-DenseNet multiclassifier. Furthermore, conventional detection methods based on intelligent multiclassification require retraining the network when processing data from different RCUTs, leading to long convergence time and reduced efficiency. To solve this problem, transfer learning is introduced to share network parameters across multiclassifiers for different RCUTs, accelerating the overall convergence speed. Simulation and measured data show that, even with limited training range cell data, the proposed method achieves better moving target detection performance than existing typical methods.
2025, 14(6): 1451-1468.
In complex environments with active artificial jammers, the accuracy of signal parameter estimation often deteriorates substantially, thereby degrading target-detection performance. To address this challenge, this paper proposes an anti-jamming detection framework based on Expectation-Maximization (EM) classification. For passive detection, a Noise Covered Pulse (NCP) detection method is developed, together with a passive jamming early-warning mechanism. A latent variable model representing NCP categories is constructed, and by integrating the EM algorithm with matrix decomposition, NCP sample classification and angle/energy parameter estimation are jointly achieved, enabling robust adaptive NCP detection. For active radar operation, a Coherent Jamming (CJ) target-detection method is proposed. A classification model based on the presence hypotheses of target echoes and CJ is formulated, and grid search combined with the EM algorithm is employed to perform sample classification and angle estimation, thereby enabling CJ identification and adaptive target detection. Simulation results demonstrate that the proposed framework effectively identifies range bins containing targets or jammers, accurately estimates their angles of incidence, and significantly enhances the anti-jamming performance of constant false-alarm-rate target detection.
In complex environments with active artificial jammers, the accuracy of signal parameter estimation often deteriorates substantially, thereby degrading target-detection performance. To address this challenge, this paper proposes an anti-jamming detection framework based on Expectation-Maximization (EM) classification. For passive detection, a Noise Covered Pulse (NCP) detection method is developed, together with a passive jamming early-warning mechanism. A latent variable model representing NCP categories is constructed, and by integrating the EM algorithm with matrix decomposition, NCP sample classification and angle/energy parameter estimation are jointly achieved, enabling robust adaptive NCP detection. For active radar operation, a Coherent Jamming (CJ) target-detection method is proposed. A classification model based on the presence hypotheses of target echoes and CJ is formulated, and grid search combined with the EM algorithm is employed to perform sample classification and angle estimation, thereby enabling CJ identification and adaptive target detection. Simulation results demonstrate that the proposed framework effectively identifies range bins containing targets or jammers, accurately estimates their angles of incidence, and significantly enhances the anti-jamming performance of constant false-alarm-rate target detection.
2025, 14(6): 1469-1479.
A real aperture radar has physical space limitations that result in a wide antenna beam, leading to low angular resolution. The angular super-resolution method based on sparse reconstruction introduces sparse prior constraints of the target under a regularization framework and reconstructs the target reflectivity function through iterative optimization, thereby significantly enhancing the angular resolution of the radar. However, existing sparse reconstruction methods primarily consider the sparse distribution characteristics of strong point targets, neglecting the contour information of extended targets, which results in distortion in the recovery of target edges. Additionally, these methods are sensitive to one or more hyperparameters introduced into the cost function. Thus, meticulous manual adjustments are essential in practical applications, and they pose challenges in terms of the adaptive selection of hyperparameters in dynamic scenarios. To address these issues, this paper proposes a hyperparameter-free Total Variation (TV) regularization angular super-resolution method. First, a square-root Least Absolute Shrinkage and Selection Operator (LASSO) cost function was established to characterize the fitting residuals between the scan echo sequence and target reflectivity function and to characterize the sparse constraints on the target edge gradients. Using this function, the target contour reconstruction problem was transformed into a non-smooth convex optimization problem under TV regularization constraints. The analytical expression of the hyperparameter-free TV regularization term was derived based on the covariance fitting criterion. Finally, a Generalized Iteratively Reweighted Least Squares (GIRLS) strategy was proposed, and an iterative optimization method for solving the non-smooth convex optimization problem of square-root LASSO was derived. The simulation and experimental results demonstrate that the proposed method improves angular resolution of the radar while preserving the contour information of the target without requiring manual adjustment of the hyperparameters.
A real aperture radar has physical space limitations that result in a wide antenna beam, leading to low angular resolution. The angular super-resolution method based on sparse reconstruction introduces sparse prior constraints of the target under a regularization framework and reconstructs the target reflectivity function through iterative optimization, thereby significantly enhancing the angular resolution of the radar. However, existing sparse reconstruction methods primarily consider the sparse distribution characteristics of strong point targets, neglecting the contour information of extended targets, which results in distortion in the recovery of target edges. Additionally, these methods are sensitive to one or more hyperparameters introduced into the cost function. Thus, meticulous manual adjustments are essential in practical applications, and they pose challenges in terms of the adaptive selection of hyperparameters in dynamic scenarios. To address these issues, this paper proposes a hyperparameter-free Total Variation (TV) regularization angular super-resolution method. First, a square-root Least Absolute Shrinkage and Selection Operator (LASSO) cost function was established to characterize the fitting residuals between the scan echo sequence and target reflectivity function and to characterize the sparse constraints on the target edge gradients. Using this function, the target contour reconstruction problem was transformed into a non-smooth convex optimization problem under TV regularization constraints. The analytical expression of the hyperparameter-free TV regularization term was derived based on the covariance fitting criterion. Finally, a Generalized Iteratively Reweighted Least Squares (GIRLS) strategy was proposed, and an iterative optimization method for solving the non-smooth convex optimization problem of square-root LASSO was derived. The simulation and experimental results demonstrate that the proposed method improves angular resolution of the radar while preserving the contour information of the target without requiring manual adjustment of the hyperparameters.
2025, 14(6): 1480-1500.
Long-term cyclic loading by vehicles is a non-negligible contributor to post-work settlement of highways. Current Interferometric Synthetic Aperture Radar (InSAR) deformation models used for monitoring the deformation of soft-soil highways generally neglect the contribution of cyclic loading. The InSAR time-series deformation models used for monitoring highway deformation are typically combinations of one or several purely empirical functions, which lack clarity in physical significance and overlook the impact of cyclic loading on settlement. Herein, a method for estimating the deformation of soft-ground highways that accounts for cyclic loading is proposed (Improved InSAR Model considering both the Rheological Properties and the Traffc Loading, IRTM). The method improves InSAR deformation modeling and the parameter estimation algorithms. In the deformation modeling, the Maxwell rheological model, which describes the deformation and creep characteristics of soft soil, serves as the base model for InSAR modeling. An additional dynamic stress model was incorporated to describe the plastic deformation caused by cyclic loading, which was combined with a thermal expansion model to characterize the thermal expansion component of the road base and bridge affected by temperature. This combination provided a more reasonable interpretation of the deformation estimation data. For parameter estimation, a method based on a Genetic Algorithm (GA) and a parameter estimation algorithm was proposed. In particular, a parameter estimation method combining GA and the Levenberg-Marquardt (LM) algorithm was developed, where the initial value obtained by GA was further optimized by LM to enhance the solving efficiency and accuracy. The proposed method was validated through simulation and experiments employing real data. The simulation revealed that the relative errors of the model parameter estimates were all below 6% when ±0.5 rad noise was applied. Real data from the selected study area, i.e., the Beijing-Pinggu Expressway, were utilized, and the time-series deformations from 22 January 2012 to 1 July 2014 were obtained. The results show that the cumulative deformation reached −140 mm, where the rheological component of the soft-ground section was the dominant contributor to deformation, accounting for approximately 76%, whereas the cyclic through-load component was dominant at road intersections, accounting for 81%. Compared with single Maxwell and traditional linear models, the modeling accuracy of the developed method was improved by 44.4% and 49.6%, respectively. Finite Element Analysis (FEA) was used to verify the deformation accuracy obtained from real experiments. The deformation curves generated using the developed method were consistent with those produced by FEA under different axle loads, with a maximum standard deviation of only 1.8 mm. Cross-validation against existing studies showed that the external accuracy of the deformation rate obtained in this study was ±1.4 mm/yr, further confirming the reliability of the developed method for estimating and interpreting the post-work deformation of highways under cyclic loading. This method can provide a reference for controlling the stability of highways.
Long-term cyclic loading by vehicles is a non-negligible contributor to post-work settlement of highways. Current Interferometric Synthetic Aperture Radar (InSAR) deformation models used for monitoring the deformation of soft-soil highways generally neglect the contribution of cyclic loading. The InSAR time-series deformation models used for monitoring highway deformation are typically combinations of one or several purely empirical functions, which lack clarity in physical significance and overlook the impact of cyclic loading on settlement. Herein, a method for estimating the deformation of soft-ground highways that accounts for cyclic loading is proposed (Improved InSAR Model considering both the Rheological Properties and the Traffc Loading, IRTM). The method improves InSAR deformation modeling and the parameter estimation algorithms. In the deformation modeling, the Maxwell rheological model, which describes the deformation and creep characteristics of soft soil, serves as the base model for InSAR modeling. An additional dynamic stress model was incorporated to describe the plastic deformation caused by cyclic loading, which was combined with a thermal expansion model to characterize the thermal expansion component of the road base and bridge affected by temperature. This combination provided a more reasonable interpretation of the deformation estimation data. For parameter estimation, a method based on a Genetic Algorithm (GA) and a parameter estimation algorithm was proposed. In particular, a parameter estimation method combining GA and the Levenberg-Marquardt (LM) algorithm was developed, where the initial value obtained by GA was further optimized by LM to enhance the solving efficiency and accuracy. The proposed method was validated through simulation and experiments employing real data. The simulation revealed that the relative errors of the model parameter estimates were all below 6% when ±0.5 rad noise was applied. Real data from the selected study area, i.e., the Beijing-Pinggu Expressway, were utilized, and the time-series deformations from 22 January 2012 to 1 July 2014 were obtained. The results show that the cumulative deformation reached −140 mm, where the rheological component of the soft-ground section was the dominant contributor to deformation, accounting for approximately 76%, whereas the cyclic through-load component was dominant at road intersections, accounting for 81%. Compared with single Maxwell and traditional linear models, the modeling accuracy of the developed method was improved by 44.4% and 49.6%, respectively. Finite Element Analysis (FEA) was used to verify the deformation accuracy obtained from real experiments. The deformation curves generated using the developed method were consistent with those produced by FEA under different axle loads, with a maximum standard deviation of only 1.8 mm. Cross-validation against existing studies showed that the external accuracy of the deformation rate obtained in this study was ±1.4 mm/yr, further confirming the reliability of the developed method for estimating and interpreting the post-work deformation of highways under cyclic loading. This method can provide a reference for controlling the stability of highways.
2025, 14(6): 1501-1514.
Transmit coherence synthesis of the target of interest is crucial for achieving full coherence in distributed coherent aperture radars. Interrupted-Sampling Repeater Jamming (ISRJ) in the coherent parameter estimation phase poses great difficulties in transmitting coherence completely. To solve this issue, an interference suppression method based on ISRJ matched filtering features is proposed. This method can overcome the limitations of time-frequency domain filtering under low Jamming-to-Noise Ratio (JNR) conditions while providing a more accurate means of estimating interference parameters for interference reconstruction and cancellation under high JNR conditions. Simulation results showed that the proposed method achieved a significant suppression effect on ISRJ. At low JNRs, the probability of target detection increased by over 40% compared with other methods such as time-frequency domain filtering. At high JNRs, the equivalent signal-to-jamming ratio improved by more than 2.5 dB relative to other approaches.
Transmit coherence synthesis of the target of interest is crucial for achieving full coherence in distributed coherent aperture radars. Interrupted-Sampling Repeater Jamming (ISRJ) in the coherent parameter estimation phase poses great difficulties in transmitting coherence completely. To solve this issue, an interference suppression method based on ISRJ matched filtering features is proposed. This method can overcome the limitations of time-frequency domain filtering under low Jamming-to-Noise Ratio (JNR) conditions while providing a more accurate means of estimating interference parameters for interference reconstruction and cancellation under high JNR conditions. Simulation results showed that the proposed method achieved a significant suppression effect on ISRJ. At low JNRs, the probability of target detection increased by over 40% compared with other methods such as time-frequency domain filtering. At high JNRs, the equivalent signal-to-jamming ratio improved by more than 2.5 dB relative to other approaches.
2025, 14(6): 1515-1530.
In an increasingly complex electromagnetic environment, the composite detection of active-passive radar, with its excellent complementary advantages, has become an important working mode for enhancing the combat capability and anti-interference capability of radars. The traditional single suppression or deception jamming method can only produce effective jamming in active or passive radar mode, and a good jamming effect is difficult to produce on the composite detection of active-passive radar. In order to improve the jamming ability of active-passive radar composite detection, this paper proposes a full-pulse multi-jammer cooperative jamming method for active-passive radar composite detection. By analyzing the principle of Constant False Alarm Rate (CFAR) detection in radar active mode, the power series and position spacing distribution of multiple false targets is adjusted through the correlation between radar detection probability and signal-to-noise ratio, and the full-pulse time-domain rendering covert jamming model is constructed to effectively suppress the radar active mode. At the same time, by analyzing the principle of angle direction finding in radar passive mode, a cooperative jamming strategy based on multiple jammers is proposed, which dynamically adjusts the transmitting power of jammers and generates multiple random deception angles among the jammers to realize the multi-angle deception effect in radar passive mode. Finally, through the organic combination of the aforementioned two strategies, a full-pulse multi-jammer cooperative jamming method is constructed to achieve effective jamming in active-passive radar composite detection. The experimental results show that compared with the traditional single suppression or deception jamming methods, the proposed full-pulse multi-jammer cooperative jamming method can effectively increase the detection threshold of radar CFAR and, reduce the detection probability in the radar active mode. At the same time, different false angles are generated in each frame near the jammer to expand the range of angle deception, to comprehensively improve the jamming performance of active-passive radar composite detection.
In an increasingly complex electromagnetic environment, the composite detection of active-passive radar, with its excellent complementary advantages, has become an important working mode for enhancing the combat capability and anti-interference capability of radars. The traditional single suppression or deception jamming method can only produce effective jamming in active or passive radar mode, and a good jamming effect is difficult to produce on the composite detection of active-passive radar. In order to improve the jamming ability of active-passive radar composite detection, this paper proposes a full-pulse multi-jammer cooperative jamming method for active-passive radar composite detection. By analyzing the principle of Constant False Alarm Rate (CFAR) detection in radar active mode, the power series and position spacing distribution of multiple false targets is adjusted through the correlation between radar detection probability and signal-to-noise ratio, and the full-pulse time-domain rendering covert jamming model is constructed to effectively suppress the radar active mode. At the same time, by analyzing the principle of angle direction finding in radar passive mode, a cooperative jamming strategy based on multiple jammers is proposed, which dynamically adjusts the transmitting power of jammers and generates multiple random deception angles among the jammers to realize the multi-angle deception effect in radar passive mode. Finally, through the organic combination of the aforementioned two strategies, a full-pulse multi-jammer cooperative jamming method is constructed to achieve effective jamming in active-passive radar composite detection. The experimental results show that compared with the traditional single suppression or deception jamming methods, the proposed full-pulse multi-jammer cooperative jamming method can effectively increase the detection threshold of radar CFAR and, reduce the detection probability in the radar active mode. At the same time, different false angles are generated in each frame near the jammer to expand the range of angle deception, to comprehensively improve the jamming performance of active-passive radar composite detection.
2025, 14(6): 1531-1544.
The paper proposes a double hierarchical nonhomogeneous multirank target detection method for the distributed Multiple-Input Multiple-Output (MIMO) radar to detect targets in scenarios with subspace interference and nonhomogeneous clutter. First, a multirank target model and subspace interference model are established based on the fact that the target signal and interference are located in two linearly independent subspaces, each with a rank greater than 1. The corresponding subspace matrices of the two subspaces and the coordinate vectors of the corresponding distance units are unknown. Then, a distributed MIMO radar system with a double hierarchical nonhomogeneous structure is designed, and the interference of each transmit-receive pair is nonhomogeneous, i.e., each transmit-receive pair possesses different statistics. In addition, the clutter in one transmit-receive pair is nonhomogeneous. Subsequently, the double hierarchical nonhomogeneous multirank target Rao detector and Wald detector are designed for the distributed MIMO radar in the context of subspace interference. This is achieved by adopting the Rao and Wald test criteria, constructing the parameter estimation strategy to be solved, and estimating the power median normalized covariance. Theoretical derivation showed that the proposed method had a constant false alarm property for the clutter covariance matrix structure. Simulation experiments showed that the proposed method guarantees a constant false alarm property for the clutter covariance matrix structure; in addition, compared with the existing distributed MIMO radar detection methods, the proposed detection method improves the target detection and interference suppression performances.
The paper proposes a double hierarchical nonhomogeneous multirank target detection method for the distributed Multiple-Input Multiple-Output (MIMO) radar to detect targets in scenarios with subspace interference and nonhomogeneous clutter. First, a multirank target model and subspace interference model are established based on the fact that the target signal and interference are located in two linearly independent subspaces, each with a rank greater than 1. The corresponding subspace matrices of the two subspaces and the coordinate vectors of the corresponding distance units are unknown. Then, a distributed MIMO radar system with a double hierarchical nonhomogeneous structure is designed, and the interference of each transmit-receive pair is nonhomogeneous, i.e., each transmit-receive pair possesses different statistics. In addition, the clutter in one transmit-receive pair is nonhomogeneous. Subsequently, the double hierarchical nonhomogeneous multirank target Rao detector and Wald detector are designed for the distributed MIMO radar in the context of subspace interference. This is achieved by adopting the Rao and Wald test criteria, constructing the parameter estimation strategy to be solved, and estimating the power median normalized covariance. Theoretical derivation showed that the proposed method had a constant false alarm property for the clutter covariance matrix structure. Simulation experiments showed that the proposed method guarantees a constant false alarm property for the clutter covariance matrix structure; in addition, compared with the existing distributed MIMO radar detection methods, the proposed detection method improves the target detection and interference suppression performances.
Submit Manuscript
Peer Review
Editor Work
Previous Issue
Abstract
30337KB
微信 | 公众平台 