基于期望最大化分类辅助的抗干扰检测方法

孙嘉瑞 郝程鹏 孙梦茹 闫林杰

孙嘉瑞, 郝程鹏, 孙梦茹, 等. 基于期望最大化分类辅助的抗干扰检测方法[J]. 雷达学报(中英文), 2025, 14(6): 1451–1468. doi: 10.12000/JR25145
引用本文: 孙嘉瑞, 郝程鹏, 孙梦茹, 等. 基于期望最大化分类辅助的抗干扰检测方法[J]. 雷达学报(中英文), 2025, 14(6): 1451–1468. doi: 10.12000/JR25145
SUN Jiarui, HAO Chengpeng, SUN Mengru, et al. Antijamming target detection method based on expectation-maximization classification[J]. Journal of Radars, 2025, 14(6): 1451–1468. doi: 10.12000/JR25145
Citation: SUN Jiarui, HAO Chengpeng, SUN Mengru, et al. Antijamming target detection method based on expectation-maximization classification[J]. Journal of Radars, 2025, 14(6): 1451–1468. doi: 10.12000/JR25145

基于期望最大化分类辅助的抗干扰检测方法

DOI: 10.12000/JR25145 CSTR: 32380.14.JR25145
基金项目: 国家自然科学基金青年项目 (62201564, 62301552),国家自然科学基金面上项目(62571525),中国科学院青年创新促进会 (2023028)
详细信息
    作者简介:

    孙嘉瑞,博士生,主要研究方向为抗干扰目标检测、阵列信号处理、目标分类与辨识

    郝程鹏,研究员,博士生导师,主要研究方向为阵列信号处理、水声信号处理基础理论与水下无人系统设计及研制

    孙梦茹,博士,工程师,主要研究方向为水声信号处理、目标探测与识别

    闫林杰,副研究员,主要研究方向为信号检测与估计、目标分类与识别、水声信号处理

    通讯作者:

    闫林杰 yanlinjie16@163.com

    责任主编:刘维建 Corresponding Editor: LIU Weijian

  • 中图分类号: TN957.51

Antijamming Target Detection Method Based on Expectation-Maximization Classification

Funds: The National Natural Science Foundation of China Young Scientist Program (62201564, 62301552), The National Natural Science Foundation of China General Program (62571525), Youth Innovation Promotion Association CAS (2023028)
More Information
  • 摘要: 在存在有源人工干扰的复杂环境中,雷达信号参数估计精度往往显著下降,目标检测性能相应发生退化。为有效解决这一问题,该文提出了一种基于期望最大化分类辅助的抗干扰检测框架。具体而言,在雷达被动工作模式下,提出被动探测模式下的抗噪声覆盖脉冲(NCP)检测方法,建立被动干扰预警机制:构建表征NCP类别的潜在变量模型,结合期望最大化算法与特征值分解实现NCP样本分类与角度/能量参数估计,实现稳健NCP自适应检测。在雷达主动工作模式下,提出主动探测模式下的抗相干干扰(CJ)目标检测方法:构建目标回波与CJ存在性假设的分类模型,利用网格搜索与期望最大化算法完成样本分类与角度估计,实现CJ识别与目标自适应检测。仿真结果表明,所提方法能够有效识别目标或干扰存在的样本单元,准确估计目标与干扰的入射角度,提升恒虚警目标检测的抗干扰性能。

     

  • 图  1  NCP存在下的雷达被动探测模型

    Figure  1.  Passive radar detection model under NCP conditions

    图  2  CJ与目标存在下的雷达主动探测模型

    Figure  2.  Radar active detection model with CJ and target presence

    图  3  $\Delta L(m)$随EM迭代次数$(m)$的平均收敛曲线

    Figure  3.  Average convergence curve of $\Delta L(m)$ over $(m)$ EM iterations

    图  4  场景1的NCP分类结果

    Figure  4.  NCP classification results for scenario 1

    图  5  场景2的NCP分类结果

    Figure  5.  NCP classification results for scenario 2

    图  6  NCP检测性能曲线

    Figure  6.  NCP detection performance

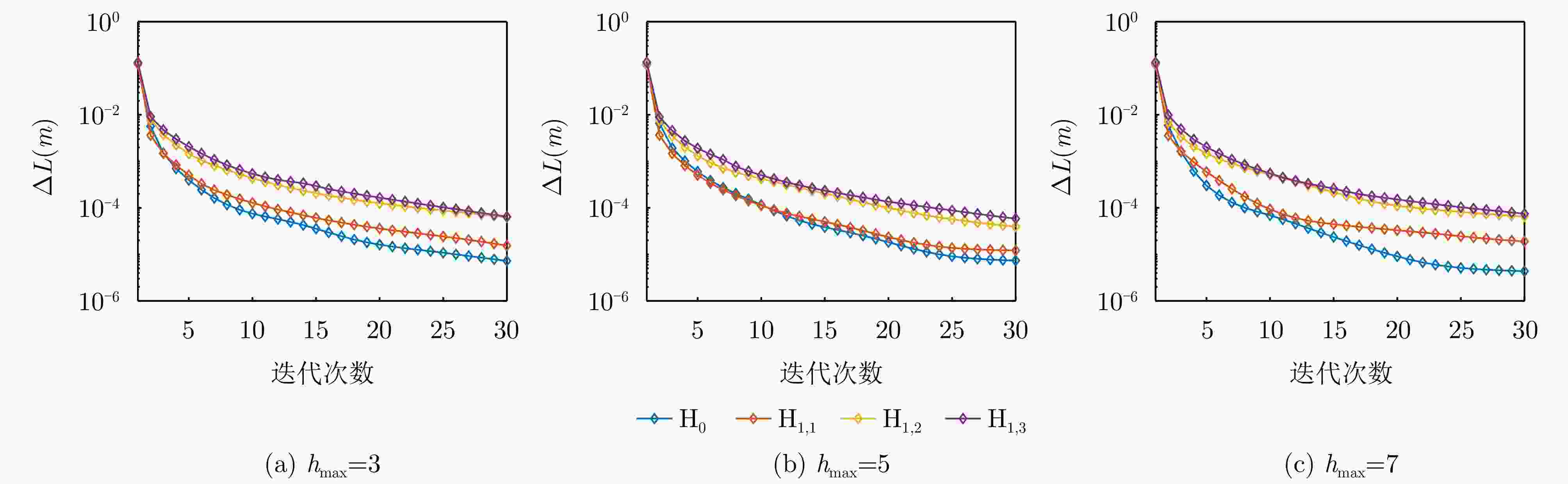
    图  7  不同$h_{\mathrm{max}}$下$\Delta L(m)$随EM迭代次数$(m)$的平均收敛曲线

    Figure  7.  Average convergence curves of $\Delta L(m)$ over $(m)$ EM iterations under different $h_{\mathrm{max}}$

    图  8  4种假设下的分类正确率

    Figure  8.  Probability of correct classification under four assumptions

    图  9  角度估计RMSE曲线

    Figure  9.  RMSE curves of angle estimation

    图  10  目标检测性能曲线

    Figure  10.  Detection performance of target

    1  NCP样本分类与参数估计流程

    1.   Estimation procedure of NCP classification and parameters

     输入:$ {{\boldsymbol p}_l},l = 1,2,\cdots,L $
     初始化:${\left( {{\sigma ^2}} \right)^{(0)}}$, $ {\boldsymbol{M}}_{{\rm{NCP}},t}^{(0)} $, $ \mu _r^{(0)} $
      for:$m = 1:\bar m $
      E步优化:计算$ {{\boldsymbol p}_l} $的条件期望,得到
      $ {q_l}(r),l = 1,2,\cdots,L,r = 0,1,\cdots,T $的更新规则式(9);
      M步优化:
      (1) 通过最大化对数似然函数更新$ {\mu _r} $,如式(11)所示;
      (2) 利用式(17)更新${\sigma ^2}$;
      (3) 利用式(18)更新$ {{\boldsymbol{M}}_{{\rm{NCP}},t}} $;
      end
     输出:$ {\hat \sigma ^2} $, $ {\hat {\boldsymbol{M}}_{{\rm{NCP}},t}} $, ${\hat {\boldsymbol{\varOmega}} _{1,t}}$, ${\hat {\boldsymbol{\varOmega}} _{1,0}}$
    下载: 导出CSV

    2  目标干扰场景分类与参数估计流程

    2.   Estimation procedure of scenario classification and parameters

     输入z, ${{\boldsymbol{z}}_x},x \in 1,2,\cdots,X$, ${\theta _1}$, ${\theta _2}$
     初始化:$ {\alpha ^{(0)}} $, $ {w^{(0)}} $, $ \chi _e^{(0)} $
      for:${\theta _1} \in \varTheta ,{\theta _2} \in \varTheta $
       for:$m = 1:\bar m $
       E步优化:利用式(22)计算$ q(e),e = 0,1,2 $的优化结果;
       M步优化:
         (1) 结合辅助样本,利用式(24)计算M的估计值;
         (2) 利用式(25)对$ {\chi _e} $进行优化;
        for $h = 1:\bar h $
         (3) 利用式(27)更新w
         (4) 利用式(28)更新$ \alpha $;
        end
       end
      end
     利用式(29)、式(30)估计目标与干扰的入射角度$ {\theta _t} $, $ {\theta _{\rm{cj}}} $;
     输出:$ \hat \alpha $, $ \hat w $, $ {\hat \theta _t} $, $ {\hat \theta _{\rm{cj}}} $, $\hat e$
    下载: 导出CSV

    表  1  NCP参数设置

    Table  1.   Parameter settings of NCP

    场景 类别 信号成分 JNR 入射角度 所在样本单元
    场景1 1 \ \ 1~4, 9~19, 25~34, 41~59, 64~74, 80~89, 96~100
    2 NCP1 15.0 dB –2° 5~8, 60~63
    3 NCP2 15.0 dB 20~24, 75~79
    4 NCP3 15.0 dB 35~40, 90~95
    场景2 1 \ \ 1~4, 9~19, 25~34, 41~59, 64~74, 80~89, 96~100
    2 NCP1 15.0 dB 5~8, 60~63
    3 NCP2 17.5 dB 20~24, 75~79
    4 NCP3 20.0 dB 35~40, 90~95
    下载: 导出CSV

    表  2  CJ与目标参数设置

    Table  2.   Parameter settings of CJ and targets

    场景 类别 目标数量 SINR 入射角度 CJ数量 JNR 入射角度
    $ {{\rm H}_0} $ 1 0 \ \ 0 \ \
    $ {{\mathrm{H}}_{1,1}} $ 2 0 \ \ 1 10 dB 20°
    $ {{\mathrm{H}}_{1,2}} $ 3 1 10 dB 0 \ \
    $ {{\mathrm{H}}_{1,3}} $ 4 1 10 dB 1 10 dB 20°
    下载: 导出CSV
  • [1] WANG Tianqi, YIN Chaoran, XU Da, et al. Analysis of MIMO radar detection algorithms with location capabilities: CFAR property and selectivity[J]. IEEE Transactions on Aerospace and Electronic Systems, 2025, 61(2): 5426–5435. doi: 10.1109/TAES.2024.3488688.
    [2] JIN Yuxi, YIN Chaoran, WANG Tianqi, et al. An adaptive target detection architecture for mismatched signals[J]. IEEE Signal Processing Letters, 2025, 32: 1860–1864. doi: 10.1109/LSP.2025.3560534.
    [3] YIN Chaoran, WANG Tianqi, YAN Linjie, et al. Joint ML-Bayesian approach to adaptive radar detection in the presence of Gaussian interference[J]. IEEE Transactions on Aerospace and Electronic Systems, 2025, 61(2): 3701–3713. doi: 10.1109/TAES.2024.3493063.
    [4] SUN Jiarui, HAO Chengpeng, YAN Linjie, et al. Multiple target detection in radar systems: A hybrid approach combining EM clustering and sparsity-based reconstruction[C]. 2024 IEEE International Workshop on Technologies for Defense and Security (TechDefense), Naples, Italy, 2024: 441–445. doi: 10.1109/TechDefense63521.2024.10863468.
    [5] 金禹希, 吴敏, 郝程鹏, 等. 基于模型阶数选择准则的稳健杂波边缘检测方法[J]. 电子与信息学报, 2024, 46(7): 2703–2711. doi: 10.11999/JEIT230999.

    JIN Yuxi, WU Min, HAO Chengpeng, et al. A robust clutter edge detection method based on model order selection criterion[J]. Journal of Electronics & Information Technology, 2024, 46(7): 2703–2711. doi: 10.11999/JEIT230999.
    [6] 张庭赫, 黄学宇, 张启亮. 主瓣掩护式干扰下单脉冲雷达目标检测方法[J]. 空军工程大学学报, 2023, 24(6): 65–69. doi: 10.3969/j.issn.2097-1915.2023.06.009.

    ZHANG Tinghe, HUANG Xueyu, and ZHANG Qiliang. A target detection method for monopulse radar under condition of main lobe cover interference[J]. Journal of Air Force Engineering University, 2023, 24(6): 65–69. doi: 10.3969/j.issn.2097-1915.2023.06.009.
    [7] 张顺生, 刘美慧, 王文钦. 基于多普勒扩展补偿的FDA-MIMO雷达运动目标检测[J]. 雷达学报, 2022, 11(4): 666–675. doi: 10.12000/JR22042.

    ZHANG Shunsheng, LIU Meihui, and WANG Wenqin. FDA-MIMO radar moving target detection based on Doppler spread compensation[J]. Journal of Radars, 2022, 11(4): 666–675. doi: 10.12000/JR22042.
    [8] 王永良, 彭应宁. 空时自适应信号处理[M]. 北京: 清华大学出版社, 2000.

    WANG Yongliang and PENG Yingning. Space-Time Adaptive Processing[M]. Beijing: Tsinghua University Press, 2000.
    [9] SUN Mengru, LIU Weijian, LIU Jun, et al. Multiple subspace-based target detection in deterministic interference[J]. IEEE Signal Processing Letters, 2024, 31: 3134–3138. doi: 10.1109/LSP.2024.3491012.
    [10] WANG Tianqi, YIN Chaoran, XU Da, et al. Joint detection and delay-Doppler estimation algorithms for MIMO radars[J]. IEEE Transactions on Signal Processing, 2024, 72: 809–823. doi: 10.1109/TSP.2024.3355753.
    [11] 王永良, 刘维建, 谢文冲, 等. 机载雷达空时自适应检测方法研究进展[J]. 雷达学报, 2014, 3(2): 201–207. doi: 10.3724/SP.J.1300.2014.13081.

    WANG Yongliang, LIU Weijian, XIE Wenchong, et al. Research progress of space-time adaptive detection for airborne radar[J]. Journal of Radars, 2014, 3(2): 201–207. doi: 10.3724/SP.J.1300.2014.13081.
    [12] 陈世进, 闫晟, 郝程鹏, 等. 一种适用于多输入多输出声呐的稳健空时自适应检测方法[J]. 声学学报, 2022, 47(6): 777–788. doi: 10.15949/j.cnki.0371-0025.2022.06.013.

    CHEN Shijin, YAN Sheng, HAO Chengpeng, et al. A robust space-time adaptive detection method for multiple-input multiple-output sonar[J]. Acta Acustica, 2022, 47(6): 777–788. doi: 10.15949/j.cnki.0371-0025.2022.06.013.
    [13] HAN Sudan, ZHANG Yuxuan, HAO Chengpeng, et al. Sparsity-based classification approaches for radar data in the presence of clutter edges and discretes[J]. IEEE Transactions on Aerospace and Electronic Systems, 2023, 59(3): 2141–2162. doi: 10.1109/TAES.2022.3210072.
    [14] 闫林杰, 郝程鹏, 殷超然, 等. 部分均匀环境下适用于空间对称线阵的修正广义似然比检测方法[J]. 雷达学报, 2021, 10(3): 443–452. doi: 10.12000/JR20140.

    YAN Linjie, HAO Chengpeng, YIN Chaoran, et al. Modified generalized likelihood ratio test detection based on a symmetrically spaced linear array in partially homogeneous environments[J]. Journal of Radars, 2021, 10(3): 443–452. doi: 10.12000/JR20140.
    [15] KELLY E J. An adaptive detection algorithm[J]. IEEE Transactions on Aerospace and Electronic Systems, 1986, AES–22(2): 115–127. doi: 10.1109/TAES.1986.310745.
    [16] KELLY E J. Performance of an adaptive detection algorithm; rejection of unwanted signals[J]. IEEE Transactions on Aerospace and Electronic Systems, 1989, 25(2): 122–133. doi: 10.1109/7.18674.
    [17] CHEN W S and REED I S. A new CFAR detection test for radar[J]. Digital Signal Processing, 1991, 1(4): 198–214. doi: 10.1016/1051-2004(91)90113-Y.
    [18] ROBEY F C, FUHRMANN D R, KELLY E J, et al. A CFAR adaptive matched filter detector[J]. IEEE Transactions on Aerospace and Electronic Systems, 1992, 28(1): 208–216. doi: 10.1109/7.135446.
    [19] DE MAIO A. Rao test for adaptive detection in Gaussian interference with unknown covariance matrix[J]. IEEE Transactions on Signal Processing, 2007, 55(7): 3577–3584. doi: 10.1109/TSP.2007.894238.
    [20] DE MAIO A. A new derivation of the adaptive matched filter[J]. IEEE Signal Processing Letters, 2004, 11(10): 792–793. doi: 10.1109/LSP.2004.835464.
    [21] STINCO P, GRECO M, and GINI F. Adaptive detection in compound-Gaussian clutter with inverse-gamma texture[C]. 2011 IEEE CIE International Conference on Radar, Chengdu, China, 2011: 434–437. doi: 10.1109/CIE-Radar.2011.6159570.
    [22] WANG Zhihang, HE Zishu, HE Qin, et al. Polarimetric target detection in compound Gaussian Sea clutter with inverse Gaussian texture[J]. IEEE Geoscience and Remote Sensing Letters, 2022, 19: 4021205. doi: 10.1109/LGRS.2021.3140057.
    [23] WANG Zhihang, HE Zishu, HE Qin, et al. Adaptive CFAR detectors for mismatched signal in compound Gaussian sea clutter with inverse Gaussian texture[J]. IEEE Geoscience and Remote Sensing Letters, 2022, 19: 3502705. doi: 10.1109/LGRS.2020.3047390.
    [24] WU Haoqi, GUO Hongzhi, WANG Zhihang, et al. Adaptive nonzero-mean detection algorithm in compound gaussian sea clutter with generalized inverse gaussian texture[C]. IGARSS 2024 - 2024 IEEE International Geoscience and Remote Sensing Symposium, Athens, Greece, 2024: 9853–9857. doi: 10.1109/IGARSS53475.2024.10640542.
    [25] XU Shuwen, WANG Zhexiang, BAI Xiaohui, et al. Optimum and near-optimum coherent CFAR detection of radar targets in compound-Gaussian clutter with generalized inverse Gaussian texture[J]. IEEE Transactions on Aerospace and Electronic Systems, 2022, 58(3): 1692–1706. doi: 10.1109/TAES.2021.3120045.
    [26] LEE W K I and ROMERO R A. Detection performance of enhanced electronic protection mitigation in space-time adaptive processing against adaptive shaped interference[C]. 2024 IEEE Radar Conference (RadarConf24), Denver, USA, 2024: 1–6. doi: 10.1109/RadarConf2458775.2024.10548950.
    [27] 崔国龙, 余显祥, 魏文强, 等. 认知智能雷达抗干扰技术综述与展望[J]. 雷达学报, 2022, 11(6): 974–1002. doi: 10.12000/JR22191.

    CUI Guolong, YU Xianxiang, WEI Wenqiang, et al. An overview of antijamming methods and future works on cognitive intelligent radar[J]. Journal of Radars, 2022, 11(6): 974–1002. doi: 10.12000/JR22191.
    [28] BENVENUTI D, ADDABBO P, GIUNTA G, et al. ECCM strategies for radar systems against smart noise-like jammers[J]. IEEE Transactions on Signal Processing, 2024, 72: 3912–3926. doi: 10.1109/TSP.2024.3445530.
    [29] CAROTENUTO V and DE MAIO A. A clustering approach for jamming environment classification[J]. IEEE Transactions on Aerospace and Electronic Systems, 2021, 57(3): 1903–1918. doi: 10.1109/TAES.2021.3050655.
    [30] GHOJAVAND K, DERAKHTIAN M, and BIGUESH M. Rao-based detectors for adaptive target detection in the presence of signal-dependent interference[J]. IEEE Transactions on Signal Processing, 2020, 68: 1662–1672. doi: 10.1109/TSP.2020.2969047.
    [31] 兰岚, 张翔, 许京伟, 等. 阵列雷达时空多维域编码抗主瓣转发式欺骗干扰方法[J]. 雷达学报(中英文), 2025, 14(2): 439–455. doi: 10.12000/JR24229.

    LAN Lan, ZHANG Xiang, XU Jingwei, et al. Main-lobe deceptive jammers with array radars using space-time multidimensional coding[J]. Journal of Radars, 2025, 14(2): 439–455. doi: 10.12000/JR24229.
    [32] ORLANDO D. A novel noise jamming detection algorithm for radar applications[J]. IEEE Signal Processing Letters, 2017, 24(2): 206–210. doi: 10.1109/LSP.2016.2645793.
    [33] JING Xinchen, SU Hongtao, JIA Congyue, et al. Adaptive target detection based on GLRT in the presence of clutter and noise-like jamming[C]. 2022 5th International Conference on Information Communication and Signal Processing (ICICSP), Shenzhen, China, 2022: 224–228. doi: 10.1109/ICICSP55539.2022.10050641.
    [34] YAN Linjie, ADDABBO P, ZHANG Yuxuan, et al. A sparse learning approach to the detection of multiple noise-like jammers[J]. IEEE Transactions on Aerospace and Electronic Systems, 2020, 56(6): 4367–4383. doi: 10.1109/TAES.2020.2988960.
    [35] CAROTENUTO V, HAO Chengpeng, ORLANDO D, et al. Detection of multiple noise-like jammers for radar applications[C]. 2018 5th IEEE International Workshop on Metrology for AeroSpace (MetroAeroSpace), Rome, Italy, 2018: 328–333. doi: 10.1109/MetroAeroSpace.2018.8453566.
    [36] YAN Linjie, ADDABBO P, HAO Chengpeng, et al. A sparse learning approach to multiple noise-like jammers detection[C]. 2019 Photonics & Electromagnetics Research Symposium - Fall (PIERS - Fall), Xiamen, China, 2019: 155–161. doi: 10.1109/PIERS-Fall48861.2019.9021566.
    [37] BANDIERA F, BESSON O, ORLANDO D, et al. GLRT-based direction detectors in homogeneous noise and subspace interference[J]. IEEE Transactions on Signal Processing, 2007, 55(6): 2386–2394. doi: 10.1109/TSP.2007.893927.
    [38] BANDIERA F, FARINA A, ORLANDO D, et al. Detection algorithms to discriminate between radar targets and ECM signals[J]. IEEE Transactions on Signal Processing, 2010, 58(12): 5984–5993. doi: 10.1109/TSP.2010.2077283.
    [39] SUN Mengru, LIU Weijian, LIU Jun, et al. Rao and Wald tests for target detection in coherent interference[J]. IEEE Transactions on Aerospace and Electronic Systems, 2022, 58(3): 1906–1921. doi: 10.1109/TAES.2021.3122833.
    [40] YAN Sheng, LOTFI F, CHEN Shijin, et al. Innovative two-stage radar detection architectures in adverse scenarios using two training data sets[J]. IEEE Signal Processing Letters, 2021, 28: 1165–1169. doi: 10.1109/LSP.2021.3084868.
    [41] YAN Linjie, ADDABBO P, HAO Chengpeng, et al. New ECCM techniques against noiselike and/or coherent interferers[J]. IEEE Transactions on Aerospace and Electronic Systems, 2020, 56(2): 1172–1188. doi: 10.1109/TAES.2019.2929968.
    [42] ADDABBO P, HAN Sudan, ORLANDO D, et al. Learning strategies for radar clutter classification[J]. IEEE Transactions on Signal Processing, 2021, 69: 1070–1082. doi: 10.1109/TSP.2021.3050985.
    [43] PRADEEPA R, PETER R J, THEAGARAJAN L N, et al. EM based GLRT detector for MIMO active sonar using bistatic reverberation model[C]. OCEANS 2023 - Limerick, Limerick, Ireland, 2023: 1–6. doi: 10.1109/OCEANSLimerick52467.2023.10244593.
    [44] SCHNITER P and BYRNE E. Adaptive detection of structured signals in low-rank interference[J]. IEEE Transactions on Signal Processing, 2019, 67(13): 3439–3454. doi: 10.1109/TSP.2019.2917810.
    [45] COLUCCIA A, FASCISTA A, ORLANDO D, et al. Adaptive radar detection in heterogeneous clutter plus thermal noise via the expectation-maximization algorithm[J]. IEEE Transactions on Aerospace and Electronic Systems, 2024, 60(1): 212–225. doi: 10.1109/TAES.2023.3322389.
    [46] YAN Linjie, HAN Sudan, HAO Chengpeng, et al. Innovative cognitive approaches for joint radar clutter classification and multiple target detection in heterogeneous environments[J]. IEEE Transactions on Signal Processing, 2023, 71: 1010–1022. doi: 10.1109/TSP.2023.3250084.
    [47] ZHANG Xun, DENG Jiale, and SU Rui. The EM algorithm for a linear regression model with application to a diabetes data[C]. 2016 International Conference on Progress in Informatics and Computing (PIC), Shanghai, China, 2016: 114–118. doi: 10.1109/PIC.2016.7949477.
    [48] STOICA P and SELEN Y. Model-order selection: A review of information criterion rules[J]. IEEE Signal Processing Magazine, 2004, 21(4): 36–47. doi: 10.1109/MSP.2004.1311138.
    [49] 徐震宇, 刘维建, 陈小龙, 等. 加权广义逆高斯杂波下距离扩展目标的自适应检测[J]. 雷达学报(中英文), 2025, 14(6): 1393–1410. doi: 10.12000/JR25072

    XU Zhenyu, LIU Weijian, CHEN Xiaolong, et al. Adaptive detection of range-distributed targets in weighted generalized inverse Gaussian clutter[J]. Journal of Radars, 2025, 14(6): 1393–1410. doi: 10.12000/JR25072.
    [50] YAN Linjie, HAO Chengpeng, ORLANDO D, et al. Parametric space-time detection and range estimation of point-like targets in partially homogeneous environment[J]. IEEE Transactions on Aerospace and Electronic Systems, 2020, 56(2): 1228–1242. doi: 10.1109/TAES.2019.2928672.
  • 加载中
图(10) / 表(4)
计量
  • 文章访问数: 
  • HTML全文浏览量: 
  • PDF下载量: 
  • 被引次数: 0
出版历程
  • 收稿日期:  2025-08-01
  • 修回日期:  2025-11-06
  • 网络出版日期:  2025-11-20
  • 刊出日期:  2025-12-28

目录

    /

    返回文章
    返回