基于可解释深度卷积网络的空时自适应处理方法

廖志鹏 段克清 何锦浚 邱梓洲 王永良

廖志鹏, 段克清, 何锦浚, 等. 基于可解释深度卷积网络的空时自适应处理方法[J]. 雷达学报(中英文), 2024, 13(4): 917–928. doi: 10.12000/JR24024
引用本文: 廖志鹏, 段克清, 何锦浚, 等. 基于可解释深度卷积网络的空时自适应处理方法[J]. 雷达学报(中英文), 2024, 13(4): 917–928. doi: 10.12000/JR24024
LIAO Zhipeng, DUAN Keqing, HE Jinjun, et al. Interpretable STAP algorithm based on deep convolutional neural network[J]. Journal of Radars, 2024, 13(4): 917–928. doi: 10.12000/JR24024
Citation: LIAO Zhipeng, DUAN Keqing, HE Jinjun, et al. Interpretable STAP algorithm based on deep convolutional neural network[J]. Journal of Radars, 2024, 13(4): 917–928. doi: 10.12000/JR24024

基于可解释深度卷积网络的空时自适应处理方法

DOI: 10.12000/JR24024 CSTR: 32380.14.JR24024
基金项目: 雷达信号处理全国重点实验室支持计划项目(JKW202302)
详细信息
    作者简介:

    廖志鹏,博士生,主要研究方向包括深度学习、阵列信号处理、空时自适应处理等

    段克清,副教授,博士生导师,主要研究方向包括机载/星载雷达信号处理、阵列信号处理、空时自适应处理等

    何锦浚,硕士生,主要研究方向包括双基地机载雷达信号处理、阵列信号处理、空时自适应处理等

    邱梓洲,博士生,主要研究方向包括MIMO雷达信号处理、阵列信号处理、空时自适应处理等

    王永良,教授,博士生导师,主要研究方向包括雷达信号处理、空时信号处理、阵列信号处理等

    通讯作者:

    段克清 duankeqing@aliyun.com

    责任主编:谢文冲 Corresponding Editor: XIE Wenchong

  • 中图分类号: TN957.51

Interpretable STAP Algorithm Based on Deep Convolutional Neural Network

Funds: The Foundation of National Key Laboratory of Radar Signal Processing (JKW202302)
More Information
  • 摘要: 在实际应用中,空时自适应处理(STAP)算法的性能受限于足够多独立同分布(IID)样本的获取。然而,目前可有效减少IID样本需求的算法仍面临一些问题。针对这些问题,该文融合数据驱动和模型驱动思想,构建了具有明确数学含义的多模块深度卷积神经网络(MDCNN),实现了小样本条件下对杂波协方差矩阵快速、准确、稳定估计。所构建MDCNN网络由映射模块、数据模块、先验模块和超参数模块组成。其中,前后端映射模块分别对应数据的预处理和后处理;单组数据模块和先验模块共同完成一次迭代优化,网络主体由多组数据模块和先验模块构成,可实现多次等效迭代优化;超参数模块则用来调整等效迭代中可训练参数。上述子模块均具有明确数学表述和物理含义,因此所构造网络具有良好的可解释性。实测数据处理结果表明,在实际非均匀杂波环境下该文所提方法杂波抑制性能优于现有典型小样本STAP方法,且运算时间较后者大幅降低。

     

  • 图  1  机载雷达阵列与地面几何关系

    Figure  1.  Airborne radar viewing geometry

    图  2  MDCNN网络框架示意图

    Figure  2.  The overview of MDCNN

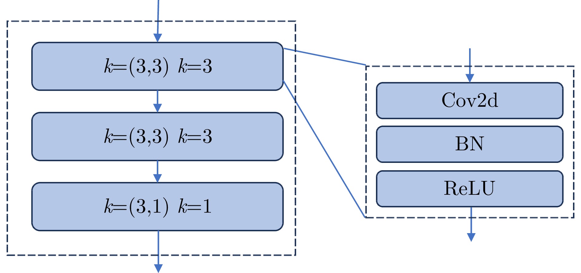
    图  3  先验模块神经网络

    Figure  3.  The neural network of prior module

    图  4  训练数据构成

    Figure  4.  Training data composition

    图  5  MCARM天线结构

    Figure  5.  The antenna structure of MCARM data

    图  6  网络收敛性能

    Figure  6.  Network convergence performance

    图  7  各种算法重建的空时谱对比

    Figure  7.  Comparison of space-time spectra restored by various methods

    图  8  杂波抑制性能对比

    Figure  8.  Comparison of clutter suppression performance

    图  9  运算复杂度对比

    Figure  9.  Comparison of computational complexity

    表  1  MCARM数据雷达系统参数

    Table  1.   MCARM data radar system parameters

    参数 数值
    飞行高度 3060 m
    飞行速度 100.2 m/s
    载波频率 1240 MHz
    工作波长 0.2419 m
    主波束方位角
    主波束俯仰角 5.4°
    载机偏航角 –7.3°
    相参脉冲数 16
    阵元误差 1%~2%
    峰值辐射功率 25 kW
    不模糊距离门 630个
    系统损耗 8 dB
    下载: 导出CSV

    表  2  运算复杂度分析

    Table  2.   Analysis of computational complexity

    方法 运算复杂度 运行时间(s)
    FOCUSS $ O\left( {\left( {NK{N_{\text{S}}}{N_{\text{D}}} + {{\left( {NK} \right)}^3} + 3{{\left( {NK} \right)}^3}{N_{\text{S}}}{N_{\text{D}}} + 2NK{{\left( {{N_{\text{S}}}{N_{\text{D}}}} \right)}^2}} \right){I_{{\text{SBL}}}}} \right) $ 61.870
    SBL $ O\left( {\left( {NK{N_{\text{S}}}{N_{\text{D}}} + {{\left( {NK} \right)}^3} + 2{{\left( {NK} \right)}^2}{N_{\text{S}}}{N_{\text{D}}} + NK{{\left( {{N_{\text{S}}}{N_{\text{D}}}} \right)}^2}} \right){I_{{\text{FOC}}}}} \right) $ 130.400
    CNN $ O\left( {{\text{28777}}{N_{\text{S}}}{N_{\text{D}}}} \right) $ 0.003
    MDCNN $ O\left( {{\text{12960}}{N_{\text{S}}}{N_{\text{D}}}} \right) $ 0.002
    下载: 导出CSV
  • [1] 谢文冲, 王永良, 熊元燚. 机载雷达空时自适应处理[M]. 北京: 清华大学出版社, 2024: 1–8.

    XIE Wenchong, WANG Yongliang, and XIONG Yuanyi. Airborne Radar Space-time Adaptive Processing[M]. Beijing: Tsinghua University Press, 2024: 1–8.
    [2] 谢文冲, 段克清, 王永良. 机载雷达空时自适应处理技术研究综述[J]. 雷达学报, 2017, 6(6): 575–586. doi: 10.12000/JR17073.

    XIE Wenchong, DUAN Keqing, and WANG Yongliang. Space time adaptive processing technique for airborne radar: An overview of its development and prospects[J]. Journal of Radars, 2017, 6(6): 575–586. doi: 10.12000/JR17073.
    [3] BRENNAN L E and REED L S. Theory of adaptive radar[J]. IEEE Transactions on Aerospace and Electronic Systems, 1973, AES-9(2): 237–252. doi: 10.1109/TAES.1973.309792.
    [4] REED I S, MALLETT J D, and BRENNAN L E. Rapid convergence rate in adaptive arrays[J]. IEEE Transactions on Aerospace and Electronic Systems, 1974, AES-10(6): 853–863. doi: 10.1109/TAES.1974.307893.
    [5] WANG Yongliang, CHEN Jianwen, BAO Zheng, et al. Robust space-time adaptive processing for airborne radar in nonhomogeneous clutter environments[J]. IEEE Transactions on Aerospace and Electronic Systems, 2003, 39(1): 70–81. doi: 10.1109/TAES.2003.1188894.
    [6] DIPIETRO R C. Extended factored space-time processing for airborne radar systems[C]. The 26th Asilomar Conference on Signals, Systems and Computers, Pacific Grove, USA, 1992, 1: 425–430. doi: 10.1109/ACSSC.1992.269236.
    [7] DUAN Keqing, XU Hong, YUAN Huadong, et al. Reduced-DOF three-dimensional STAP via subarray synthesis for nonsidelooking planar array airborne radar[J]. IEEE Transactions on Aerospace and Electronic Systems, 2020, 56(4): 3311–3325. doi: 10.1109/TAES.2019.2958174.
    [8] MELVIN W L and GUERCI J R. Knowledge-aided signal processing: A new paradigm for radar and other advanced sensors[J]. IEEE Transactions on Aerospace and Electronic Systems, 2006, 42(3): 983–996. doi: 10.1109/TAES.2006.248215.
    [9] MELVIN W L and SHOWMAN G A. An approach to knowledge-aided covariance estimation[J]. IEEE Transactions on Aerospace and Electronic Systems, 2006, 42(3): 1021–1042. doi: 10.1109/TAES.2006.248216.
    [10] YANG Zhaocheng, DE LAMARE R C, and LIU Weijian. Sparsity-based STAP using alternating direction method with gain/phase errors[J]. IEEE Transactions on Aerospace and Electronic Systems, 2017, 53(6): 2756–2768. doi: 10.1109/TAES.2017.2714938.
    [11] DUAN Keqing, WANG Zetao, XIE Wenchong, et al. Sparsity-based STAP algorithm with multiple measurement vectors via sparse Bayesian learning strategy for airborne radar[J]. IET Signal Processing, 2017, 11(5): 544–553. doi: 10.1049/iet-spr.2016.0183.
    [12] CUI Ning, XING Kun, YU Zhongjun, et al. Reduced-complexity subarray-level sparse recovery STAP for multichannel airborne radar WGMTI application[J]. IEEE Transactions on Aerospace and Electronic Systems, 2023, 59(5): 6292–6313. doi: 10.1109/TAES.2023.3274104.
    [13] WANG Degen, WANG Tong, CUI Weichen, et al. A clutter suppression algorithm via enhanced sparse Bayesian learning for airborne radar[J]. IEEE Sensors Journal, 2023, 23(10): 10900–10911. doi: 10.1109/JSEN.2023.3263919.
    [14] DUAN Keqing, CHEN Hui, XIE Wenchong, et al. Deep learning for high-resolution estimation of clutter angle-Doppler spectrum in STAP[J]. IET Radar, Sonar & Navigation, 2022, 16(2): 193–207. doi: 10.1049/rsn2.12176.
    [15] VENKATASUBRAMANIAN S, WONGKAMTHONG C, SOLTANI M, et al. Toward data-driven STAP radar[C]. 2022 IEEE Radar Conference (RadarConf22), New York, USA, 2022: 1–5. doi: 10.1109/RadarConf2248738.2022.9764354.
    [16] LIU Jing, LIAO Guisheng, XU Jingwei, et al. Autoencoder neural network-based STAP algorithm for airborne radar with inadequate training samples[J]. Remote Sensing, 2022, 14(23): 6021. doi: 10.3390/rs14236021.
    [17] 王俊, 郑彤, 雷鹏, 等. 深度学习在雷达中的研究综述[J]. 雷达学报, 2018, 7(4): 395–411. doi: 10.12000/JR18040.

    WANG Jun, ZHENG Tong, LEI Peng, et al. Study on deep learning in radar[J]. Journal of Radars, 2018, 7(4): 395–411. doi: 10.12000/JR18040.
    [18] YANG Yan, SUN Jian, LI Huibin, et al. ADMM-CSNet: A deep learning approach for image compressive sensing[J]. IEEE Transactions on Pattern Analysis and Machine Intelligence, 2020, 42(3): 521–538. doi: 10.1109/TPAMI.2018.2883941.
    [19] MA Jiawei, LIU Xiaoyang, SHOU Zheng, et al. Deep tensor ADMM-net for snapshot compressive imaging[C]. The IEEE/CVF International Conference on Computer Vision, Seoul, Korea (South), 2019: 10222–10231. doi: 10.1109/ICCV.2019.01032.
    [20] MARQUES E C, MACIEL N, NAVINER L, et al. Deep learning approaches for sparse recovery in compressive sensing[C]. 2019 11th International Symposium on Image and Signal Processing and Analysis (ISPA), Dubrovnik, Croatia, 2019: 129–134. doi: 10.1109/ISPA.2019.8868841.
    [21] ZHANG Kai, VAN GOOL L, and TIMOFTE R. Deep unfolding network for image super-resolution[C]. The IEEE/CVF Conference on Computer Vision and Pattern Recognition, Seattle, USA, 2020: 3214–3223. doi: 10.1109/CVPR42600.2020.00328.
    [22] BEN SAHEL Y, BRYAN J P, CLEARY B, et al. Deep unrolled recovery in sparse biological imaging: Achieving fast, accurate results[J]. IEEE Signal Processing Magazine, 2022, 39(2): 45–57. doi: 10.1109/MSP.2021.3129995.
    [23] ZOU Bo, WANG Xin, FENG Weike, et al. DU-CG-STAP method based on sparse recovery and unsupervised learning for airborne radar clutter suppression[J]. Remote Sensing, 2022, 14(14): 3472. doi: 10.3390/rs14143472.
    [24] 朱晗归, 冯为可, 冯存前, 等. 机载雷达深度展开空时自适应处理方法[J]. 雷达学报, 2022, 11(4): 676–691. doi: 10.12000/JR22051.

    ZHU Hangui, FENG Weike, FENG Cunqian, et al. Deep unfolding based space-time adaptive processing method for airborne radar[J]. Journal of Radars, 2022, 11(4): 676–691. doi: 10.12000/JR22051.
    [25] SANYAL P K. STAP processing monostatic and bistatic MCARM data[R]. MITRE Technical Report AFRL-SN-RS-TR-1999-197, 1999.
    [26] 周宇, 张林让, 刘楠, 等. 非均匀环境下利用杂波脊信息的杂波滤除方法研究[J]. 电子与信息学报, 2010, 32(6): 1332–1337. doi: 10.3724/SP.J.1146.2009.01104.

    ZHOU Yu, ZHANG Linrang, LIU Nan, et al. Study on exploring knowledge of the clutter ridge for clutter suppression in heterogeneous environments[J]. Journal of Electronics & Information Technology, 2010, 32(6): 1332–1337. doi: 10.3724/SP.J.1146.2009.01104.
    [27] SUN Ke, MENG Huadong, WANG Yongliang, et al. Direct data domain STAP using sparse representation of clutter spectrum[J]. Signal Processing, 2011, 91(9): 2222–2236. doi: 10.1016/j.sigpro.2011.04.006.
  • 加载中
图(9) / 表(2)
计量
  • 文章访问数: 
  • HTML全文浏览量: 
  • PDF下载量: 
  • 被引次数: 0
出版历程
  • 收稿日期:  2024-02-05
  • 修回日期:  2024-04-03
  • 网络出版日期:  2024-04-28
  • 刊出日期:  2024-08-28

目录

    /

    返回文章
    返回