基于涡旋雷达的飞鸟与旋翼无人机微动参数提取研究

周红平 李睿 李刘林 郭忠义

周红平, 李睿, 李刘林, 等. 基于涡旋雷达的飞鸟与旋翼无人机微动参数提取研究[J]. 雷达学报(中英文), 待出版. doi: 10.12000/JR25164
引用本文: 周红平, 李睿, 李刘林, 等. 基于涡旋雷达的飞鸟与旋翼无人机微动参数提取研究[J]. 雷达学报(中英文), 待出版. doi: 10.12000/JR25164
ZHOU Hongping, LI Rui, LI Liulin, et al. Micromotions parameter extraction of birds and rotary-wing unmanned aerial vehicles based on vortex radar[J]. Journal of Radars, in press. doi: 10.12000/JR25164
Citation: ZHOU Hongping, LI Rui, LI Liulin, et al. Micromotions parameter extraction of birds and rotary-wing unmanned aerial vehicles based on vortex radar[J]. Journal of Radars, in press. doi: 10.12000/JR25164

基于涡旋雷达的飞鸟与旋翼无人机微动参数提取研究

DOI: 10.12000/JR25164 CSTR: 32380.14.JR25164
基金项目: 国家自然科学基金(61775050)
详细信息
    作者简介:

    周红平,副研究员,主要研究方向为雷达干扰识别、复杂电磁环境下雷达目标识别、多目标追踪等

    李 睿,硕士生,主要研究方向为涡旋雷达成像与涡旋雷达探测

    李刘林,博士生,主要研究方向为声透镜、完美声涡旋以及涡旋通信等

    郭忠义,教授,主要研究方向为涡旋雷达系统、智能传感系统、偏振智能信息处理、先进光通信技术、复杂电磁环境等

    通讯作者:

    郭忠义 guozhongyi@hfut.edu.cn

    责任主编:罗迎 Corresponding Editor: LUO Ying

  • 中图分类号: TN98

Micromotions Parameter Extraction of Birds and Rotary-wing Unmanned Aerial Vehicles Based on Vortex Radar

Funds: The National Natural Science Foundation of China (61775050)
More Information
  • 摘要: 针对当前对飞鸟和旋翼无人机(UAVs)识别的迫切需求,该文提出了一种基于涡旋雷达的目标参数提取方法。工作核心聚焦于目标参数获取,在建模与参数提取维度上进行了系统扩展。首先分别对飞鸟主体运动与扑翼行为以及旋翼无人机的旋翼转动与机体结构进行了数学建模与分析,推导了散射点对应的径向多普勒与旋转多普勒频移表达式,并从雷达回波信号中提取微多普勒特征,实现目标参数反演。对于鸟类目标,基于回波信号的频谱峰值提取径向多普勒估计飞行速度,并结合散射点旋转多普勒频移公式,通过短时傅里叶变换(STFT)计算旋转多普勒变化,实现对扑翼长度的估计,在低信噪比(SNR)条件下,扑翼长度估计误差保持在0.03 m以内。对于旋翼无人机目标,首先建立回波信号模型,推导微多普勒频移中径向与旋转分量的解析关系,并结合重构的多普勒信息与距离-时间维度,反演获得欧拉角、旋翼转速、旋翼长度以及机体到旋翼的距离等共6项结构与运动参数,各参数的估计误差显著低于传统基于单一多普勒的方法,其参数提取误差均保持在2%以内。仿真结果表明,该文提出的基于涡旋雷达的鸟类与旋翼无人机参数提取方法能够实现多参数的高精度获取,并在低信噪比条件下仍保持稳定可靠的性能,验证了方法的有效性与工程应用潜力。

     

  • 图  1  涡旋雷达探测原理图

    Figure  1.  Schematic diagram of vortex radar detection principle

    图  2  鸟类扑翼的运动学简化模型

    Figure  2.  Simplified kinematic model of bird wing flapping

    图  3  飞鸟运动的空间坐标系

    Figure  3.  Spatial coordinate system for bird motion

    图  4  雷达和目标的几何关系

    Figure  4.  Geometric relationship between radar and targe

    图  5  鸟类目标回波信号分析图

    Figure  5.  Analysis of the echo signal of the bird target

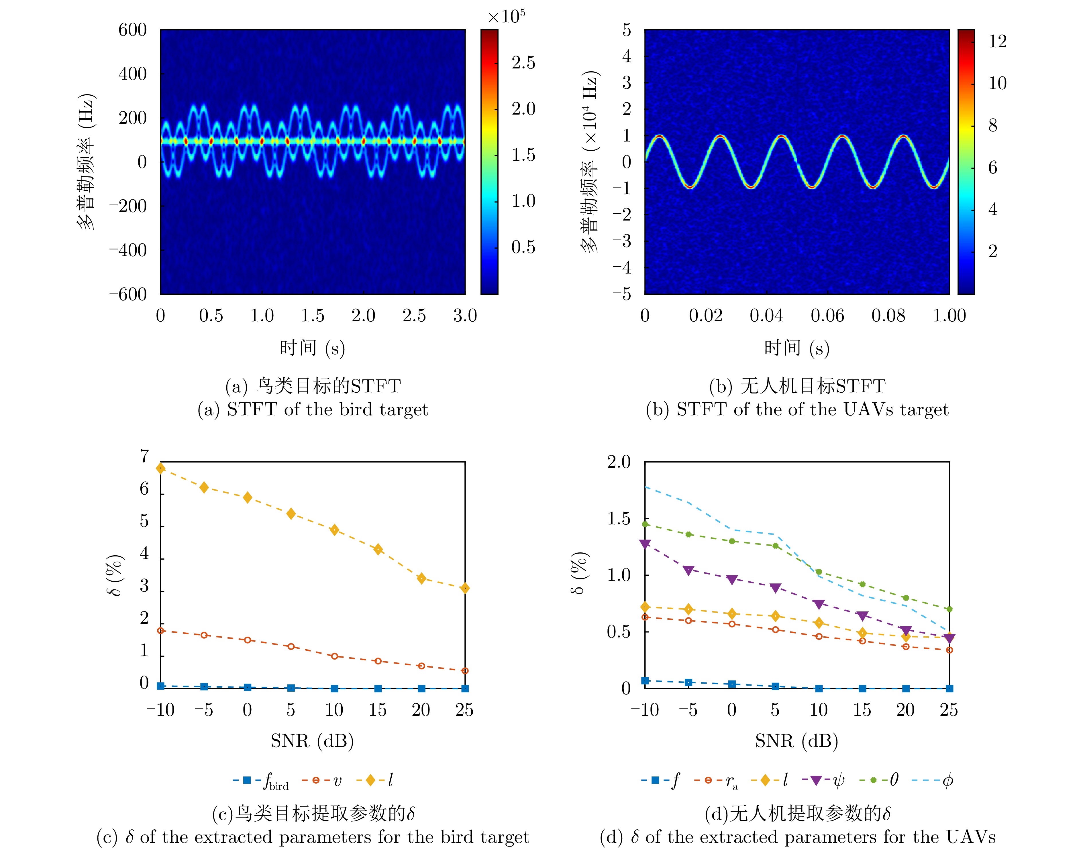
    图  6  鸟类目标时频图

    Figure  6.  Time-frequency representations of the bird target components

    图  7  不同OAM模式下的扑翼的微多普勒频率

    Figure  7.  Doppler frequencies of flapping wings with different OAM mode numbers

    图  8  旋翼无人机的回波信号分析图

    Figure  8.  Analysis of the echo signal of the rotor UAVs

    图  9  旋翼无人机时频曲线图

    Figure  9.  Time-frequency curves of the rotor UAVs

    图  10  旋翼无人机随机散射点的时频结果图

    Figure  10.  Time-Frequency results of random scatterers on rotor UAVs

    图  11  多目标场景下的多普勒频率

    Figure  11.  Doppler frequency characteristics in a multi-target scenario

    图  12  不同信噪比下参数估计的误差分析

    Figure  12.  Error analysis of parameter estimation under different SNRs

    图  13  多普勒频谱特征

    Figure  13.  Doppler spectrum characteristics

    表  1  主要仿真参数

    Table  1.   Primary simulation parameters

    参数 数值
    中心频率f0 10 GHz
    带宽 200 MHz
    OAM模式大小 –10和10
    鸟类目标的扑翼频率fbird 2 Hz
    鸟类目标的飞行速度v 2 m/s
    鸟类目标的距离、方位角、俯仰角 (100 m, 60°, 10°)
    鸟类目标的扑翼长度lbird 0.5 m
    旋翼无人机的旋转频率f 50 Hz
    旋翼无人机的旋翼长度ra 0.5 m
    旋翼无人机机体到旋翼的长度l 1 m
    旋翼无人机的欧拉角$ (\psi ,\theta ,\phi ) $ (60°, 30°, 45°)
    旋翼无人机的距离、方位角、俯仰角 (500 m, 30°, 45°)
    下载: 导出CSV

    表  2  估计结果以及归一化误差

    Table  2.   Estimated results and corresponding normalized errors

    参数 真实值 估计值 δ (%)
    fbird 2 Hz 2 Hz 0
    v 2 m/s 2.011 m/s 0.55
    lbird 0.5 m 0.485 m 3
    f 50 Hz 50 Hz 0
    ra 0.5 m 0.5017 m 0.34
    l 1 m 1.006 m 0.6
    ψ 60° 60.25° 0.41
    θ 30° 29.82° 0.6
    $ \phi $ 45° 44.68° 0.7
    下载: 导出CSV

    表  3  飞鸟和旋翼无人机的参数及其特征对比表

    Table  3.   Comparison of parameters and characteristics between birds and rotary-wing UAVs

    参数 具体参数 飞鸟目标 旋翼无人机目标
    最大多普勒频率 fmax 243.36 Hz 8829.45 Hz
    多普勒频谱图 / 非对称周期性调制 对称的正弦曲线簇
    旋转多普勒频率值 fD-a 0.632 Hz 5.735 Hz
    运动频率 ω 4$\text{π} $ 100$\text{π} $
    下载: 导出CSV

    表  4  涡旋电磁波与传统平面波参数提取精度对比结果

    Table  4.   Comparison of parameter extraction accuracy between vortex electromagnetic waves and traditional plane waves

    目标类型 参数 真实值 传统雷达估计值 传统雷达误差(%) 涡旋雷达估计值 涡旋雷达误差(%)
    飞鸟[8] fbird 2 Hz 2 Hz 0 2 Hz 0
    v 10 m/s 9.9309 m/s 0.7 9.9848 m/s 0.152
    lbird 0.7 m >0.63 m <10 0.682 m 2.57
    旋翼无人机[38] f 16.667 Hz 16.666 Hz 0.007 16.667 Hz 0
    ra (m) 0.55 0.504 8.4 0.5489 0.2
    l (m) 1 / / 1.006 0.6
    (ψ, θ,$ \phi $) (60°, 30°, 45°) / / (60.25°, 29.82°, 44.68°) /
    下载: 导出CSV

    表  5  涡旋电磁波参数提取对比表(%)

    Table  5.   Comparison of parameter extraction methods using vortex electromagnetic waves (%)

    方法 SNR (dB) ra ω ψ θ $ \phi $ l
    文献[24] 5 18.00 2.50 17.10 / / /
    15 8.52 1.47 4.56 / / /
    25 5.60 1.06 1.33 / / /
    文献[25] 5 17.98 1.86 12.47 5.56 6.01 /
    15 7.88 1.33 4.67 2.90 3.15 /
    25 5.48 0.96 2.88 0.56 1.95 /
    本文 5 0.52 0.04 1.36 1.26 0.89 0.64
    15 0.42 0.01 0.82 0.92 0.65 0.49
    25 0.34 0 0.50 0.70 0.45 0.45
    下载: 导出CSV
  • [1] JIAN M, LU Zhenzhong, and CHEN V C. Experimental study on radar micro-Doppler signatures of unmanned aerial vehicles[C]. 2017 IEEE Radar Conference, Seattle, USA, 2017: 854–857. doi: 10.1109/RADAR.2017.7944322.
    [2] DE WIT J J M, HARMANNY R I A, and PRÉMEL-CABIC G. Micro-Doppler analysis of small UAVs[C]. The 9th European Radar Conference, Amsterdam, Netherlands, 2012: 210–213.
    [3] NANZER J A and CHEN V C. Microwave interferometric and Doppler radar measurements of a UAV[C]. 2017 IEEE Radar Conference, Seattle, USA, 2017: 1628–1633. doi: 10.1109/RADAR.2017.7944468.
    [4] RAHMAN S and ROBERTSON D A. Millimeter-wave micro-Doppler measurements of small UAVs[C]. SPIE 10188, Radar Sensor Technology XXI, Anaheim, USA, 2017: 101880T. doi: 10.1117/12.2261942.
    [5] GOVONI M A. Micro-Doppler signal decomposition of small commercial drones[C]. 2017 IEEE Radar Conference, Seattle, USA, 2017: 425–429. doi: 10.1109/RADAR.2017.7944240.
    [6] HANIF A, MUAZ M, HASAN A, et al. Micro-Doppler based target recognition with radars: A review[J]. IEEE Sensors Journal, 2022, 22(4): 2948–2961. doi: 10.1109/JSEN.2022.3141213.
    [7] HARMANNY R I A, DE WIT J J M, and PRÉMEL CABIC G. Radar micro-Doppler feature extraction using the spectrogram and the cepstrogram[C]. The 11th European Radar Conference, Rome, Italy, 2014: 165–168. doi: 10.1109/EuRAD.2014.6991233.
    [8] 陈宏昆, 察豪, 刘峰. 鸟类目标微多普勒分析及参数估计[J]. 电讯技术, 2019, 59(4): 431–436. doi: 10.3969/j.issn.1001-893x.2019.04.011.

    CHEN Hongkun, CHA Hao, and LIU Feng. Micro-Doppler analysis and parameter estimation of bird target[J]. Telecommunication Engineering, 2019, 59(4): 431–436. doi: 10.3969/j.issn.1001-893x.2019.04.011.
    [9] RAHMAN S and ROBERTSON D A. Radar micro-Doppler signatures of drones and birds at K-band and W-band[J]. Scientific Reports, 2018, 8(1): 17396. doi: 10.1038/s41598-018-35880-9.
    [10] 陈唯实, 李敬. 雷达探鸟技术发展与应用综述[J]. 现代雷达, 2017, 39(2): 7–17. doi: 10.16592/j.cnki.1004-7859.2017.02.002.

    CHEN Weishi and LI Jing. Review on development and applications of avian radar technology[J]. Modern Radar, 2017, 39(2): 7–17. doi: 10.16592/j.cnki.1004-7859.2017.02.002.
    [11] LI Liulin, YUE Wei, KAI Chengzhi, et al. Perfect acoustic-vortexes constructed by the Fourier transform of quasi-Bessel beams based on the simplified ring array of sectorial planar transducers[J]. IEEE Transactions on Ultrasonics, Ferroelectrics, and Frequency Control, 2023, 70(7): 748–758. doi: 10.1109/TUFFC.2023.3277854.
    [12] 郭忠义, 王运来, 汪彦哲, 等. 涡旋雷达成像技术研究进展[J]. 雷达学报, 2021, 10(5): 665–679. doi: 10.12000/JR21075.

    GUO Zhongyi, WANG Yunlai, WANG Yanzhe, et al. Research advances in vortex radar imaging technology[J]. Journal of Radars, 2021, 10(5): 665–679. doi: 10.12000/JR21075.
    [13] LI Liulin, LIU Bingyi, and GUO Zhongyi. Robust orbital-angular-momentum-based underwater acoustic communication with dynamic modal decomposition method[J]. The Journal of the Acoustical Society of America, 2024, 155(5): 3195–3205. doi: 10.1121/10.0025988.
    [14] GUO Kai, LEI Shuang, LEI Yi, et al. Research on detecting targets’ accelerations based on vortex electromagnetic wave in non-line-of-sight scenario[J]. IEEE Sensors Journal, 2023, 23(4): 4078–4084. doi: 10.1109/JSEN.2022.3232364.
    [15] WANG Jianqiu, LIU Kang, CHENG Yongqiang, et al. Three-dimensional target imaging based on vortex stripmap SAR[J]. IEEE Sensors Journal, 2019, 19(4): 1338–1345. doi: 10.1109/JSEN.2018.2879814.
    [16] 郭忠义, 汪彦哲, 郑群, 等. 涡旋电磁波天线技术研究进展[J]. 雷达学报, 2019, 8(5): 631–655. doi: 10.12000/JR19091.

    GUO Zhongyi, WANG Yanzhe, ZHENG Qun, et al. Advances of research on antenna technology of vortex electromagnetic waves[J]. Journal of Radars, 2019, 8(5): 631–655. doi: 10.12000/JR19091.
    [17] ZHANG Lingling, ZHU Yongzhong, CHEN Yijun, et al. Three-dimensional micro-Doppler parameter estimation of rotor target based on VEMW radar[J]. IEEE Sensors Journal, 2025, 25(6): 10155–10162. doi: 10.1109/JSEN.2025.3533009.
    [18] YUAN Tiezhu, WANG Hongqiang, QIN Yuliang, et al. Electromagnetic vortex imaging using uniform concentric circular arrays[J]. IEEE Antennas and Wireless Propagation Letters, 2016, 15: 1024–1027. doi: 10.1109/LAWP.2015.2490169.
    [19] LIU Kang, CHENG Yongqiang, YANG Zhaocheng, et al. Orbital-angular-momentum-based electromagnetic vortex imaging[J]. IEEE Antennas and Wireless Propagation Letters, 2015, 14: 711–714. doi: 10.1109/LAWP.2014.2376970.
    [20] LIU Hongyan, LIU Kang, CHENG Yongqiang, et al. Microwave vortex imaging based on dual coupled OAM beams[J]. IEEE Sensors Journal, 2020, 20(2): 806–815. doi: 10.1109/JSEN.2019.2943698.
    [21] MAO Rongrong, LIU Kang, LIU Hongyan, et al. Electromagnetic vortex imaging based on OAM multiplexing beam with orthogonal polyphase coding[J]. IEEE Sensors Journal, 2023, 23(24): 30786–30793. doi: 10.1109/JSEN.2023.3329359.
    [22] WANG Siyuan, QU Yi, CHEN Yijun, et al. Three-dimensional interferometric imaging with vortex electromagnetic wave radar based on uniform circular array[J]. IEEE Sensors Journal, 2024, 24(20): 32858–32870. doi: 10.1109/JSEN.2024.3453869.
    [23] WANG Yu, LIU Kang, LIU Hongyan, et al. Detection of rotational object in arbitrary position using vortex electromagnetic waves[J]. IEEE Sensors Journal, 2021, 21(4): 4989–4994. doi: 10.1109/JSEN.2020.3032665.
    [24] 王煜, 刘康, 王建秋, 等. 涡旋电磁波雷达锥体目标旋转多普勒探测[J]. 雷达学报, 2021, 10(5): 740–748. doi: 10.12000/JR21074.

    WANG Yu, LIU Kang, WANG Jianqiu, et al. Rotational Doppler detection of a cone-shaped target under the illumination of a vortex electromagnetic wave[J]. Journal of Radars, 2021, 10(5): 740–748. doi: 10.12000/JR21074.
    [25] ZHOU Hongping, PENG Chao, LEI Yi, et al. Estimating parameters of ballistic target by single hybrid radar based on vortex and wideband electromagnetic waves[J]. IEEE Sensors Journal, 2023, 23(21): 26423–26429. doi: 10.1109/JSEN.2023.3312442.
    [26] LI Rui, LI Liulin, ZHOU Hongping, et al. OAM-radar imaging: A review[J]. Defence Technology, in press, 2025. doi: 10.1016/j.dt.2025.11.021.
    [27] 屈海友, 程迪, 陈畅, 等. 涡旋雷达高分辨率稀疏自校正相位误差成像[J]. 雷达学报, 2021, 10(5): 699–717. doi: 10.12000/JR21094.

    QU Haiyou, CHENG Di, CHEN Chang, et al. High-resolution sparse self-calibration imaging for vortex radar with phase error[J]. Journal of Radars, 2021, 10(5): 699–717. doi: 10.12000/JR21094.
    [28] 蒋彦雯, 范红旗, 李双勋. 基于稀疏贝叶斯学习的太赫兹电磁涡旋三维成像方法[J]. 雷达学报, 2021, 10(5): 718–724. doi: 10.12000/JR21151.

    JIANG Yanwen, FAN Hongqi, and LI Shuangxun. A sparse Bayesian learning approach for vortex electromagnetic wave three-dimensional imaging in the Terahertz band[J]. Journal of Radars, 2021, 10(5): 718–724. doi: 10.12000/JR21151.
    [29] WANG Siyuan, CHEN Yijun, QU Yi, et al. Vortex electromagnetic radar imaging and adaptive resource scheduling based on uniform concentric circular arrays[J]. IEEE Sensors Journal, 2024, 24(14): 22658–22671. doi: 10.1109/JSEN.2024.3405969.
    [30] 罗迎, 龚逸帅, 陈怡君, 等. 基于跟踪脉冲的MIMO雷达多目标微动特征提取[J]. 雷达学报, 2018, 7(5): 575–584. doi: 10.12000/JR18035.

    LUO Ying, GONG Yishuai, CHEN Yijun, et al. Multi-target micro-motion feature extraction based on tracking pulses in MIMO radar[J]. Journal of Radars, 2018, 7(5): 575–584. doi: 10.12000/JR18035.
    [31] LIU Hongyan, WANG Yu, WANG Jianqiu, et al. Electromagnetic vortex enhanced imaging using fractional OAM beams[J]. IEEE Antennas and Wireless Propagation Letters, 2021, 20(6): 948–952. doi: 10.1109/LAWP.2021.3067914.
    [32] 郭忠义, 汪彦哲, 王运来, 等. 涡旋电磁波旋转多普勒效应研究进展[J]. 雷达学报, 2021, 10(5): 725–739. doi: 10.12000/JR21109.

    GUO Zhongyi, WANG Yanzhe, WANG Yunlai, et al. Research advances on the rotational Doppler effect of vortex electromagnetic waves[J]. Journal of Radars, 2021, 10(5): 725–739. doi: 10.12000/JR21109.
    [33] 林屹峰, 单明明, 孔旭东, 等. 涡旋电磁波轨道角动量模态抗干扰性能分析[J]. 雷达学报, 2021, 10(5): 773–784. doi: 10.12000/JR21096.

    LIN Yifeng, SHAN Mingming, KONG Xudong, et al. Orbital angular momentum anti-interference properties analysis of electromagnetic vortex wave[J]. Journal of Radars, 2021, 10(5): 773–784. doi: 10.12000/JR21096.
    [34] YUAN Hang, LUO Ying, CHEN Yijun, et al. Micro-motion parameter extraction of rotating target based on vortex electromagnetic wave radar[J]. IET Radar, Sonar & Navigation, 2021, 15(12): 1594–1606. doi: 10.1049/rsn2.12149.
    [35] HYVARINEN A. Fast and robust fixed-point algorithms for independent component analysis[J]. IEEE Transactions on Neural Networks, 1999, 10(3): 626–634. doi: 10.1109/72.761722.
    [36] XUE Yuanhe, YAN Wei, ZHOU Mengxia, et al. Electromagnetic interference feature extraction for permanent magnet synchronous motors currents based on fast independent component analysis[J]. IEEE Transactions on Consumer Electronics, 2025, 71(4): 10057–10065. doi: 10.1109/TCE.2025.3615955.
    [37] LIU Dongju and YU Jian. Otsu method and K-means[C]. The Ninth International Conference on Hybrid Intelligent Systems, Shenyang, China, 2009: 344–349. doi: 10.1109/HIS.2009.74.
    [38] QIN Xiaoyu, DENG Bin, and WANG Hongqiang. Micro-Doppler feature extraction of rotating structures of aircraft targets with terahertz radar[J]. Remote Sensing, 2022, 14(16): 3856. doi: 10.3390/rs14163856.
  • 加载中
图(13) / 表(5)
计量
  • 文章访问数: 
  • HTML全文浏览量: 
  • PDF下载量: 
  • 被引次数: 0
出版历程
  • 收稿日期:  2025-09-01
  • 修回日期:  2026-01-30
  • 网络出版日期:  2026-03-30

目录

    /

    返回文章
    返回