OFDM雷达多目标运动参数的近似最大似然估计

黄瑞 杜小勇 胡卫东

黄瑞, 杜小勇, 胡卫东. OFDM雷达多目标运动参数的近似最大似然估计[J]. 雷达学报, 2018, 7(4): 507-513. doi: 10.12000/JR17116
引用本文: 黄瑞, 杜小勇, 胡卫东. OFDM雷达多目标运动参数的近似最大似然估计[J]. 雷达学报, 2018, 7(4): 507-513. doi: 10.12000/JR17116
Huang Rui, Du Xiaoyong, Hu Weidong. Approximate Maximum Likelihood Estimator of Multi-target Motion Parameters for Orthogonal Frequency Division Multiplexing Radar[J]. Journal of Radars, 2018, 7(4): 507-513. doi: 10.12000/JR17116
Citation: Huang Rui, Du Xiaoyong, Hu Weidong. Approximate Maximum Likelihood Estimator of Multi-target Motion Parameters for Orthogonal Frequency Division Multiplexing Radar[J]. Journal of Radars, 2018, 7(4): 507-513. doi: 10.12000/JR17116

OFDM雷达多目标运动参数的近似最大似然估计

DOI: 10.12000/JR17116 CSTR: 32380.14.JR17116
基金项目: 国家自然科学基金(61471374)
详细信息
    作者简介:

    黄 瑞(1994–),女,北京人,国防科技大学硕士生,主要研究方向为雷达信息处理与目标识别技术。E-mail: huangrui.321@163.com

    杜小勇(1976–),男,湖北人,博士,国防科技大学副研究员,研究方向为雷达成像、雷达信号处理与目标识别等。E-mail: xydu@nudt.edu.cn

    胡卫东(1967–),男,辽宁人,博士,国防科技大学教授,博士生导师,目前研究兴趣包括雷达信息处理与目标识别、多源信息融合。E-mail: wdhu@nudt.edu.cn

    通讯作者:

    黄瑞   huangrui.321@163.com

Approximate Maximum Likelihood Estimator of Multi-target Motion Parameters for Orthogonal Frequency Division Multiplexing Radar

Funds: The National Natural Science Foundation of China (61471374)
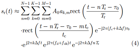
  • 摘要: 针对相位编码正交频分复用(Orthogonal Frequency Division Multiplexing, OFDM)雷达动目标探测问题,该文提出了一种基于通道分离和最大似然原理相结合的运动参数估计方法。首先,利用OFDM信号的正交性分离出多通道信号,并与相位编码参考信号在快时间域相关后获得各通道的1维距离像。随后,利用Keystone变换校正子载波多普勒偏移与慢时间之间的耦合,并在慢时间域和子载波域进行相参积累得到距离-多普勒2维谱。结合CLEAN技术对距离-多普勒2维谱进行谱峰搜索,获得各个目标的位置和速度参数估计量。以此为初值,利用牛顿迭代算法对似然函数进行优化,最终获得运动参数的近似最大似然估计(Approximate Maximum Likelihood Estimator, AMLE)。仿真实验表明,该文算法在计算复杂性和参数估计精度上都优于传统的Keystone估计算法,在相同均方根误差(Root-Mean-Square Error, RMSE)下其输入信噪比改善了约4 dB,且均方误差接近Cramer-Rao下限。

     

  • 图  1  算法处理流程图

    Figure  1.  Algorithm processing flow chart

    图  2  原始子载波-多普勒平面投影

    Figure  2.  The contour of the original subcarrier-Doppler plane

    图  3  校正后的子载波-多普勒平面投影

    Figure  3.  The contour of the corrected subcarrier-Doppler plane

    图  4  回波信号的距离-多普勒2维谱

    Figure  4.  Echo signal range-Doppler two-dimensional spectrum

    图  5  各算法的参数估计精度及计算量

    Figure  5.  Parameter estimation accuracy and calculation amount of each algorithm

    表  1  仿真参数

    Table  1.   Simulation parameters

    参数 数值
    工作频率 ${f_{\rm c}}$ (GHz) 5
    带宽B (MHz) 64
    脉冲重复周期 ${T_{\rm r}}$ (ms) 2
    脉冲数N 250
    载波数K 64
    下载: 导出CSV
  • [1] Mazahir S, Chaaban A, Elgala H, et al.. Effective information rates of single-carrier and multi-carrier modulation schemes for bandwidth constrained IM/DD systems[C]. Proceedings of the 2017 IEEE International Conference on Communications (ICC), Paris, France, 2017: 1–6. DOI: 10.1109/ICC.2017.7997325
    [2] Shi C G, Wang F, Sellathurai M, et al. Power minimization-based robust OFDM radar waveform design for radar and communication systems in coexistence[J]. IEEE Transactions on Signal Processing, 2018, 66(5): 1316–1330. DOI: 10.1109/TSP.2017.2770086
    [3] Patel V V and Patil R N. Minimization of PAPR in OFDM system using IDWT/DWT, clipping and filtering combined with huffman coding method[C]. Proceedings of the 2013 International Conference on Communications and Signal Processing (ICCSP), Melmaruvathur, India, 2013: 250–254. DOI: 10.1109/iccsp.2013.6577053
    [4] Omar S M, Kassem F, Mitri R, et al.. A novel barker code algorithm for resolving range ambiguity in high PRF radars[C]. Proceedings of the 2015 European Radar Conference (EuRAD), Paris, France, 2015: 81–84. DOI: 10.1109/EuRAD.2015.7346242
    [5] 霍凯, 赵晶晶. OFDM新体制雷达研究现状与发展趋势[J]. 电子与信息学报, 2015, 37(11): 2776–2789. DOI: 10.11999/JEIT150335

    Huo Kai and Zhao Jing-jing. The development and prospect of the new OFDM radar[J]. Journal of Electronics&Information Technology, 2015, 37(11): 2776–2789. DOI: 10.11999/JEIT150335
    [6] Lellouch G, Mishra A K, and Inggs M. Design of OFDM radar pulses using genetic algorithm based techniques[J]. IEEE Transactions on Aerospace and Electronic Systems, 2016, 52(4): 1953–1966. DOI: 10.1109/TAES.2016.140671
    [7] Liu Y J, Liao G S, Yang Z W, et al. Design of integrated radar and communication system based on MIMO-OFDM waveform[J]. Journal of Systems Engineering and Electronics, 2017, 28(4): 669–680. DOI: 10.21629/JSEE.2017.04.06
    [8] 张卫, 顾红, 苏卫民. 基于Keystone变换的OFDM信号距离走动校正方法[J]. 数据采集与处理, 2013, 28(4): 421–424. DOI: 10.3969/j.issn.1004-9037.2013.04.006

    Zhang Wei, Gu Hong, and Su Wei-min. Range walk correction of OFDM signal radar with Keystone transform[J]. Journal of Data Acquisition and Processing, 2013, 28(4): 421–424. DOI: 10.3969/j.issn.1004-9037.2013.04.006
    [9] Lellouch G, Mishra A, and Inggs M. Impact of the Doppler modulation on the range and Doppler processing in OFDM radar[C]. 2014 IEEE Radar Conference, Cincinnati, OH, USA, 2014: 803–808. DOI: 10.1109/RADAR.2014.6875700
    [10] 李升远, 张馨恬, 唐世阳. 采用OFDM-LFM的MIMO雷达高速目标波形设计[J]. 西安电子科技大学学报, 2018, 45(3): 8–13. DOI: 10.3969/j.issn.1001-2400.2018.03.002

    Li Sheng-yuan, Zhang Xin-tian, and Tang Shi-yang. MIMO radar waveform design via OFDM-LFM for high speed target[J]. Journal of Xidian University, 2018, 45(3): 8–13. DOI: 10.3969/j.issn.1001-2400.2018.03.002
    [11] Liu L, Zhou F, Tao M L, et al. A novel method for multi-targets ISAR imaging based on particle swarm optimization and modified CLEAN technique[J]. IEEE Sensors Journal, 2016, 16(1): 97–108. DOI: 10.1109/JSEN.2015.2478808
    [12] 霍凯. 基于OFDM新体制雷达信号的微动目标特征提取研究[D]. [博士论文], 国防科学技术大学, 2011

    Huo Kai. Research on feature extraction for target with micro-motion based on new OFDM radar signals[D]. [Ph.D. dissertation], National University of Defense Technology, 2011
  • 加载中
图(5) / 表(1)
计量
  • 文章访问数: 
  • HTML全文浏览量: 
  • PDF下载量: 
  • 被引次数: 0
出版历程
  • 收稿日期:  2017-12-05
  • 修回日期:  2018-02-05
  • 网络出版日期:  2018-08-28

目录

    /

    返回文章
    返回