星载SAR非沿迹成像新模式:机遇与挑战

王岩 康利鸿 刘杰 匡辉 孙晗伟 陈轲 王轩 于海锋 孙希龙 郑彭楠 刘书豪 易天柱 刘磊 高贺利 孙兵 张润宁 丁泽刚

王岩, 康利鸿, 刘杰, 等. 星载SAR非沿迹成像新模式:机遇与挑战[J]. 雷达学报, 2022, 11(6): 1131–1145. doi: 10.12000/JR22083
引用本文: 王岩, 康利鸿, 刘杰, 等. 星载SAR非沿迹成像新模式:机遇与挑战[J]. 雷达学报, 2022, 11(6): 1131–1145. doi: 10.12000/JR22083
WANG Yan, KANG Lihong, LIU Jie, et al. Spaceborne SAR non-along-track imaging mode: Opportunities and challenges[J]. Journal of Radars, 2022, 11(6): 1131–1145. doi: 10.12000/JR22083
Citation: WANG Yan, KANG Lihong, LIU Jie, et al. Spaceborne SAR non-along-track imaging mode: Opportunities and challenges[J]. Journal of Radars, 2022, 11(6): 1131–1145. doi: 10.12000/JR22083

星载SAR非沿迹成像新模式:机遇与挑战

DOI: 10.12000/JR22083 CSTR: 32380.14.JR22083
基金项目: 国家自然科学基金(61971042),北京市自然科学基金(4202067)
详细信息
    作者简介:

    王 岩,博士后,副研究员,博士生导师,主要研究方向为新体制雷达系统、成像、干涉和极化应用

    康利鸿,博士,研究员,主要研究方向为电磁散射计算、SAR卫星定标和遥感影像分析

    刘 杰,博士,研究员,主要研究方向为卫星总体设计技术

    匡 辉,博士,高级工程师,主要研究方向为微波遥感卫星载荷总体设计和应用处理技术

    孙晗伟,博士后,研究员,硕士生导师,主要研究方向为星载新体制雷达系统、信号处理和应用

    陈 轲,博士生,主要研究方向为新体制星载合成孔径雷达系统设计

    王 轩,博士生,主要研究方向为星载合成孔径雷达成像技术

    于海锋,博士,高级工程师,主要研究方向为遥感卫星总体设计技术

    孙希龙,博士,副研究员,主要研究方向为合成孔径雷达成像、干涉/差分干涉、定标与应用

    郑彭楠,博士生,主要研究方向为星载合成孔径雷达系统设计与成像

    刘书豪,硕士,副主任设计师,主要研究方向为遥感卫星总体设计

    易天柱,博士,助理研究员,主要研究方向为新体制SAR技术

    刘 磊,博士,高级工程师,主要研究方向为星载SAR系统设计和海洋应用研究

    高贺利,博士,工程师,主要研究方向为新体制星载SAR卫星技术研究

    孙 兵,博士,副教授,主要研究方向为雷达信号处理、SAR系统仿真与图像质量评估

    张润宁,博士,研究员,主要研究方向为卫星总体设计技术

    丁泽刚,博士,教授,博士生导师,主要研究方向为新体制雷达成像机理、成像处理和图像信息提取

    通讯作者:

    丁泽刚 z.ding@bit.edu.cn

    责任主编:王宇 Corresponding Editor: WANG Robert

  • 中图分类号: TN95

Spaceborne SAR Non-Along-Track Imaging Mode: Opportunities and Challenges

Funds: The National Natural Science Foundation of China (61971042), Beijing Natural Science Foundation (4202067)
More Information
  • 摘要: 星载合成孔径雷达(SAR)通过采用不同成像模式,实现分辨率与成像带宽度的不同性能组合。常规星载SAR模式的成像带沿着卫星航迹方向,走向单一;但实际目标场景的地理走向多种多样,与沿卫星航迹方向的成像带地理走向不匹配的情况普遍出现,导致数采周期长或方位分辨低、存储与计算资源浪费。星载SAR非沿迹成像模式是解决该问题的新思路,其通过生成与卫星航迹不同向的直线型或曲线型的成像带,匹配于目标场景的实际地理走向,对目标场景进行“地理定制化”成像。该文主要从信息获取、成像处理等方面,讨论了星载SAR非沿迹成像新模式的主要机遇与挑战,并通过计算机仿真实现了星载SAR非沿迹成像模式的原理性验证。

     

  • 图  1  常规沿迹成像带拼接观测与非沿迹成像带观测示意图

    Figure  1.  Comparison between along-track and non-along-track modes

    图  2  星载SAR非沿迹成像模式弯曲成像带

    Figure  2.  Curved swath of the spaceborne SAR non-along-track imaging mode

    图  3  星载SAR不同模式对海岸线成像效能示意图

    Figure  3.  Comparisons of different modes covering coastlines

    图  4  星载SAR非沿迹成像子模式示意图

    Figure  4.  Spaceborne SAR non-along-track sub-modes

    图  5  星载SAR非沿迹条带子模式(直线成像带)

    Figure  5.  Spaceborne SAR non-along-track sub-stripmap mode with straight swath

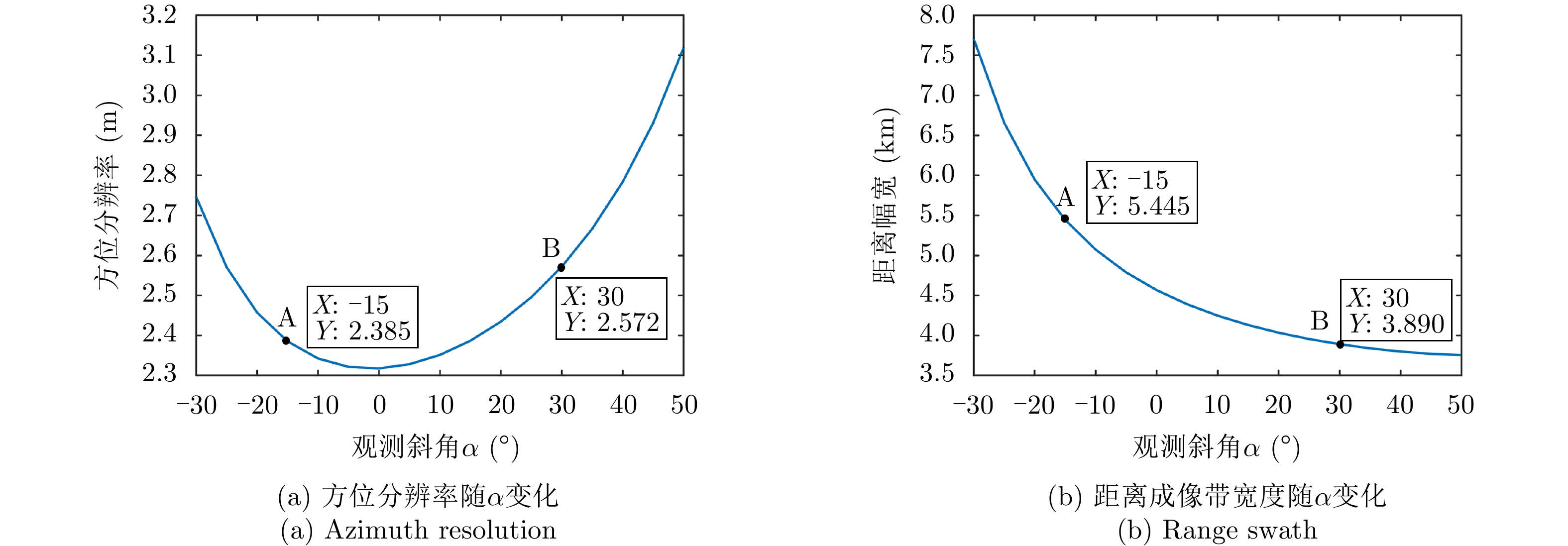
    图  6  方位分辨率、距离成像带宽随观测斜角α变化示意(θ = 30°)

    Figure  6.  The variation of azimuth resolution and range swath with respect to observation squint angle α (θ = 30°)

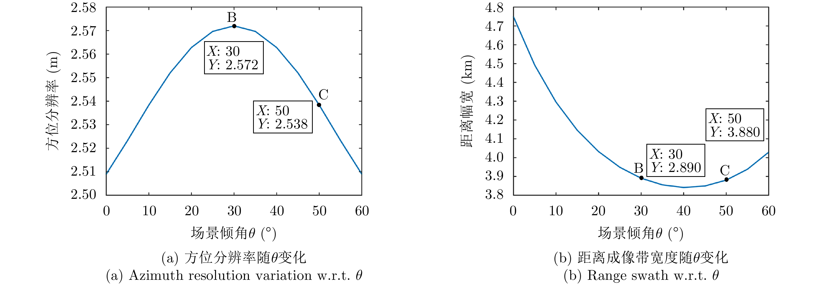
    图  7  方位分辨率、距离成像带宽随场景斜角θ变化示意(α = 30°)

    Figure  7.  The variation of azimuth resolution and range swath w.r.t. scene squint angle θ (α= 30°)

    图  8  收发脉冲序列位置关系示意图

    Figure  8.  Relative positions between transmitting and receiving pulses

    图  9  非沿迹成像模式斜距剧烈时变导致恒定PRF失效示意图

    Figure  9.  Failure constant-PRF design caused by severe time-varying slant range in non-along-track mode

    图  10  多段PRF收发时序及其对成像质量的影响

    Figure  10.  Multi-segment PRF sequence and the corresponding influence on imaging

    图  11  连续变PRF收发时序及其对成像质量的影响

    Figure  11.  Continuously varying pulse interval sequence and the corresponding influence on imaging

    图  12  星载SAR非沿迹成像模式距离徙动空变示意图

    Figure  12.  Spatial variance of range cell migration in non-along-track mode imaging

    图  13  星载SAR非沿迹成像时域算法示意图

    Figure  13.  Time-domain algorithm for spaceborne SAR non-along-track mode

    图  14  非沿迹成像模式距离空变示意图

    Figure  14.  Spatial variance of range cell migration and range phase of non-along-track imaging mode

    图  15  非线性调频变标类算法参数空变示意图

    Figure  15.  Spatial variance of the parameters in nonlinear chirp scaling algorithms

    图  16  仿真观测场景与多点目标分布

    Figure  16.  Simulated observation region and target distribution

    图  17  星地几何构型关键参数时变情况

    Figure  17.  Time-varying parameters of observation geometry

    图  18  连续变PRF方位采样时序

    Figure  18.  Continuously varying PRF sequence of simulation

    图  19  距离模糊度、方位模糊度、系统灵敏度时变曲线

    Figure  19.  Time-varying curves of RASR, AASR and NESZ

    图  20  多点目标成像二维点扩展函数

    Figure  20.  Point spread functions of focused targets

    表  1  主要仿真参数

    Table  1.   Key simulation parameters

    参数数值
    载频10 GHz
    脉冲宽度20 μs
    轨道高度550 km
    距离向波束宽度0.6°
    方位向波束宽度0.6°
    带宽88.5 MHz
    方位点数147765
    距离点数163664
    下载: 导出CSV
  • [1] CURLANDER J C and MCDONOUGH R N. Synthetic Aperture Radar: Systems and Signal Processing[M]. New York: Wiley, 1991: 4–8.
    [2] 刘永坦. 雷达成像技术[M]. 哈尔滨: 哈尔滨工业大学出版社, 2014: 26–28.

    LIU Yongtan. Radar Imaging Technology[M]. Harbin: Harbin Institute of Technology Press, 2014: 26–28.
    [3] 魏钟铨. 合成孔径雷达卫星[M]. 北京: 科学出版社, 2001: 67–68.

    WEI Zhongquan. Synthetic Aperture Radar Satellite[M]. Beijing: Science Press, 2001: 67–68.
    [4] CUMMING I G and WONG F H. Digital Processing of Synthetic Aperture Radar Data: Algorithms and Implementation[M]. Boston: Artech House, 2004: 4–5.
    [5] 保铮, 邢孟道, 王彤. 雷达成像技术[M]. 北京: 电子工业出版社, 2005: 3–6.

    BAO Zheng, XING Mengdao, and WANG Tong. Radar Imaging Technology[M]. Beijing: Publishing House of Electronics Industry, 2005: 3–6.
    [6] 皮亦鸣, 杨建宇, 付毓生, 等. 合成孔径雷达成像原理[M]. 成都: 电子科技大学出版社, 2007: 51–52.

    PI Yiming, YANG Jianyu, FU Yusheng, et al. Principle of Synthetic Aperture Radar Imaging[M]. Chengdu: University of Electronic Science and Technology of China Press, 2007: 51–52.
    [7] VILLANO M, PINHEIRO M, KRIEGER G, et al. Gapless imaging with the NASA-ISRO SAR (NISAR) mission: Challenges and opportunities of staggered SAR[C]. The 12th European Conference on Synthetic Aperture Radar, Aachen, Germany, 2018.
    [8] MOORE R K, CLAASSEN J P, and LIN Y H. Scanning spaceborne synthetic aperture radar with integrated radiometer[J]. IEEE Transactions on Aerospace and Electronic Systems, 1981, AES-17(3): 410–421. doi: 10.1109/TAES.1981.309069
    [9] DE ZAN F and GUARNIERI A M. TOPSAR: Terrain observation by progressive scans[J]. IEEE Transactions on Geoscience and Remote Sensing, 2006, 44(9): 2352–2360. doi: 10.1109/TGRS.2006.873853
    [10] ZHENG Ge, YAO Yiping, HE Dongsheng, et al. Optimization design of global low-orbit satellite constellation for multi-fold coverage[C]. The 3rd International Conference on Electronics and Communication Engineering, Xi’an, China, 2020.
    [11] EUGENIO F, MARCELLO J, and MARTIN J. High-resolution maps of bathymetry and benthic habitats in shallow-water environments using multispectral remote sensing imagery[J]. IEEE Transactions on Geoscience and Remote Sensing, 2015, 53(7): 3539–3549. doi: 10.1109/TGRS.2014.2377300
    [12] WU Xueling, LIU Chaoxian, and WU Guofeng. Spatial-temporal analysis and stability investigation of coastline changes: A case study in Shenzhen, China[J]. IEEE Journal of Selected Topics in Applied Earth Observations and Remote Sensing, 2018, 11(1): 45–56. doi: 10.1109/JSTARS.2017.2755444
    [13] CHEN Ninghua, NI Nina, KAPP P, et al. Structural analysis of the hero range in the Qaidam Basin, Northwestern China, using integrated UAV, terrestrial LiDAR, Landsat 8, and 3-D seismic data[J]. IEEE Journal of Selected Topics in Applied Earth Observations and Remote Sensing, 2015, 8(9): 4581–4591. doi: 10.1109/JSTARS.2015.2440171
    [14] WANG Xiaoqing, DOU Aixia, DING Xiang, et al. The development of rapid extraction and publishing system of earthquake damage based on remote sensing[C]. 2018 IEEE International Geoscience and Remote Sensing Symposium, Valencia, Spain, 2018.
    [15] QIN Xiaoqiong, LIAO Mingsheng, ZHANG Lu, et al. Structural health and stability assessment of high-speed railways via thermal dilation mapping with time-series InSAR analysis[J]. IEEE Journal of Selected Topics in Applied Earth Observations and Remote Sensing, 2017, 10(6): 2999–3010. doi: 10.1109/JSTARS.2017.2719025
    [16] BABU A and BAUMGARTNER S V. Road surface quality assessment using polarimetric airborne SAR[C]. 2020 IEEE Radar Conference, Florence, Italy, 2020.
    [17] CARRARA W G, GOODMAN R S, and MAJEWSKI R M. Spotlight Synthetic Aperture Radar: Signal Processing Algorithms[M]. Boston: Artech House, 1995: 4−5.
    [18] MOREIRA A, PRATS-IRAOLA P, YOUNIS M, et al. A tutorial on synthetic aperture radar[J]. IEEE Geoscience and Remote Sensing Magazine, 2013, 1(1): 6–43. doi: 10.1109/MGRS.2013.2248301
    [19] QUEGAN S. Spotlight synthetic aperture radar: Signal processing algorithms: Carrara W. G., Goodman R. S. and Majewski R. M., 1995, 554 pp. Artech House, Boston, London, £63, hb, ISBN 0-89006-728-7[J]. Journal of Atmospheric and Solar-Terrestrial Physics, 1997, 59(5): 597–598. doi: 10.1016/S1364-6826(97)83336-6
    [20] FRANCESCHETTI G, GUIDA R, IODICE A, et al. Efficient simulation of hybrid stripmap/spotlight SAR raw signals from extended scenes[J]. IEEE Transactions on Geoscience and Remote Sensing, 2004, 42(11): 2385–2396. doi: 10.1109/TGRS.2004.834763
    [21] BELCHER D P and BAKER C J. High resolution processing of hybrid strip-map/spotlight mode SAR[J]. IEE Proceedings-Radar, Sonar and Navigation, 1996, 143(6): 366–374. doi: 10.1049/ip-rsn:19960790
    [22] META A, MITTERMAYER J, PRATS P, et al. TOPS imaging with TerraSAR-X: Mode design and performance analysis[J]. IEEE Transactions on Geoscience and Remote Sensing, 2010, 48(2): 759–769. doi: 10.1109/TGRS.2009.2026743
    [23] WANG Yan, LI Jingwen, YANG Jian, et al. Spaceborne stripmap range sweep SAR: Positive terrain tracking by continuous beam scanning in elevation[J]. Remote Sensing Letters, 2016, 7(11): 1014–1022. doi: 10.1080/2150704X.2016.1212416
    [24] WANG Yan, LI Zhe, DING Zegang, et al. Spaceborne large-squint terrain-matching synthetic aperture radar: Concept and technology[C]. The 6th Asia-Pacific Conference on Synthetic Aperture Radar, Xiamen, China, 2019: 1–6.
    [25] WANG Yan, DING Zegang, XU Pei, et al. Strip layering diagram-based optimum continuously varying pulse interval sequence design for extremely high-resolution spaceborne sliding spotlight SAR[J]. IEEE Transactions on Geoscience and Remote Sensing, 2021, 59(8): 6751–6770. doi: 10.1109/TGRS.2020.3028973
    [26] WANG Yan, YANG Jian, and LI Jingwen. Data acquisition for a novel spaceborne azimuth-range sweep synthetic aperture radar[C]. 2017 IEEE International Geoscience and Remote Sensing Symposium, Fort Worth, United States, 2017: 6004–6007.
    [27] WANG Yan, DING Zegang, JI Weiwei, et al. Time-varying nadir echo suppression for spaceborne stripmap range sweep synthetic aperture radar via waveform diversity[J]. IEEE Geoscience and Remote Sensing Letters, 2021, 18(5): 826–830. doi: 10.1109/LGRS.2020.2989375
    [28] VILLANO M, KRIEGER G, and MOREIRA A. Ambiguities and image quality in staggered SAR[C]. The 5th Asia-Pacific Conference on Synthetic Aperture Radar, Singapore, Singapore, 2015: 204–209.
    [29] VILLANO M, KRIEGER G, JÄGER M, et al. Staggered SAR: Performance analysis and experiments with real data[J]. IEEE Transactions on Geoscience and Remote Sensing, 2017, 55(11): 6617–6638. doi: 10.1109/TGRS.2017.2731047
    [30] SOUMEKH M. Synthetic Aperture Radar Signal Processing with MATLAB Algorithms[M]. New York: John Wiley Sons, 1999: 486–539.
    [31] BAMLER R and EINEDER M. ScanSAR processing using standard high precision SAR algorithms[J]. IEEE Transactions on Geoscience and Remote Sensing, 1996, 34(1): 212–218. doi: 10.1109/36.481905
    [32] DAVIDSON G W and CUMMING I. Signal properties of spaceborne squint-mode SAR[J]. IEEE Transactions on Geoscience and Remote Sensing, 1997, 35(3): 611–617. doi: 10.1109/36.581976
    [33] LUO Yunhua, ZHAO Bingji, HAN Xiaolei, et al. A novel high-order range model and imaging approach for high-resolution LEO SAR[J]. IEEE Transactions on Geoscience and Remote Sensing, 2014, 52(6): 3473–3485. doi: 10.1109/TGRS.2013.2273086
    [34] SUN Guangcai, JIANG Xiuwei, XING Mengdao, et al. Focus improvement of highly squinted data based on azimuth nonlinear scaling[J]. IEEE Transactions on Geoscience and Remote Sensing, 2011, 49(6): 2308–2322. doi: 10.1109/TGRS.2010.2102040
    [35] WANG Yan, DING Zegang, ZENG Tao, et al. Interpolation free wide nonlinear chirp scaling algorithm for spaceborne stripmap range sweep SAR imaging[J]. IEEE Geoscience and Remote Sensing Letters, 2020, 17(4): 621–625. doi: 10.1109/LGRS.2019.2930537
    [36] WANG Yan, LI Jingwen, and YANG Jian. Wide nonlinear chirp scaling algorithm for spaceborne stripmap range sweep SAR imaging[J]. IEEE Transactions on Geoscience and Remote Sensing, 2017, 55(12): 6922–6936. doi: 10.1109/TGRS.2017.2737031
  • 加载中
图(20) / 表(1)
计量
  • 文章访问数: 
  • HTML全文浏览量: 
  • PDF下载量: 
  • 被引次数: 0
出版历程
  • 收稿日期:  2022-05-06
  • 修回日期:  2022-07-23
  • 网络出版日期:  2022-08-15
  • 刊出日期:  2022-12-28

目录

    /

    返回文章
    返回