弹载雷达成像技术发展现状与趋势

李亚超 王家东 张廷豪 宋炫

李亚超, 王家东, 张廷豪, 等. 弹载雷达成像技术发展现状与趋势[J]. 雷达学报, 2022, 11(6): 943–973. doi: 10.12000/JR22119
引用本文: 李亚超, 王家东, 张廷豪, 等. 弹载雷达成像技术发展现状与趋势[J]. 雷达学报, 2022, 11(6): 943–973. doi: 10.12000/JR22119
LI Yachao, WANG Jiadong, ZHANG Tinghao, et al. Present situation and prospect of missile-borne radar imaging technology[J]. Journal of Radars, 2022, 11(6): 943–973. doi: 10.12000/JR22119
Citation: LI Yachao, WANG Jiadong, ZHANG Tinghao, et al. Present situation and prospect of missile-borne radar imaging technology[J]. Journal of Radars, 2022, 11(6): 943–973. doi: 10.12000/JR22119

弹载雷达成像技术发展现状与趋势

DOI: 10.12000/JR22119 CSTR: 32380.14.JR22119
基金项目: 国家重点研发计划(2018YFB2202500),国家自然科学基金(62171337, 62101396),陕西省重点研发计划(2017KW-ZD-12),陕西省杰出青年基金(S2020-JC-JQ-0056),中央高校基本科研基金(XJS212205)
详细信息
    作者简介:

    李亚超,教授,博士生导师,研究方向为合成孔径雷达(SAR)/逆SAR (ISAR)成像、弹载SAR成像、地面运动目标检测(GMTI)、SAR图像的匹配和定向、基于现场可编程门阵列(FPGA)和数字信号处理(DSP)技术的实时信号处理以及分布式雷达

    王家东,副教授,研究方向为雷达信号处理、合成孔径雷达和逆合成孔径雷达成像

    张廷豪,博士生,研究方向为单/双基地合成孔径雷达(SAR)成像与运动补偿

    宋 炫,博士生,研究方向为双基地合成孔径雷达(SAR)前视成像技术

    通讯作者:

    李亚超 ycli@mail.xidian.edu.cn

    责任主编:王勇 Corresponding Editor: WANG Yong

  • 中图分类号: TN95

Present Situation and Prospect of Missile-borne Radar Imaging Technology

Funds: The National Key R&D Program of China (2018YFB2202500), The National Natural Science Foundation of China (62171337, 62101396), The Key R&D Program of Shaanxi Province (2017KW-ZD-12), The Shaanxi Province Funds for Distinguished Young Youths (S2020-JC-JQ-0056), The Fundamental Research Funds for the Central Universities (XJS212205)
More Information
  • 摘要: 弹载合成孔径雷达(SAR)可对观测区域进行二维高分辨率成像,获得丰富的地貌特征以及目标的尺寸、形状特征,进而选择打击点并提高打击精度和效率。与传统的机载/星载SAR成像体制相比,弹载SAR由于其探测距离远、大机动曲线突防和多平台协同作战的特点,给雷达成像技术带来了新的挑战:导弹末制导阶段处于二维甚至三维加速的大斜视工作模式,飞行轨迹与传统的SAR成像模式不同,这会带来距离方位的严重耦合,成像质量退化严重;在攻击飞行段,导弹的天线波束直接指向目标区域,弹载SAR将工作在前视状态,传统的SAR成像技术难以获取目标二维高分辨图像。针对弹载SAR存在的这些问题,该文立足弹载SAR作战需求,从曲线轨大斜视成像、前视成像和协同成像方面介绍了弹载雷达成像的关键技术和发展现状,展望未来弹载雷达成像技术的发展趋势。

     

  • 图  1  弹载雷达成像作战示意图

    Figure  1.  Radar imaging operation diagram on missile

    图  2  双基前视成像示意图

    Figure  2.  Schematic diagram of bibasal forward vision imaging

    图  3  MESRM成像结果对比[15]

    Figure  3.  Comparison of MESRM imaging results[15]

    图  4  弹载曲线大斜视SAR成像结果[17]

    Figure  4.  The results of high strabismus SAR imaging[17]

    图  5  时变加速度对频谱的影响示意图

    Figure  5.  Schematic diagram of the effect of time-varying acceleration on the spectrum

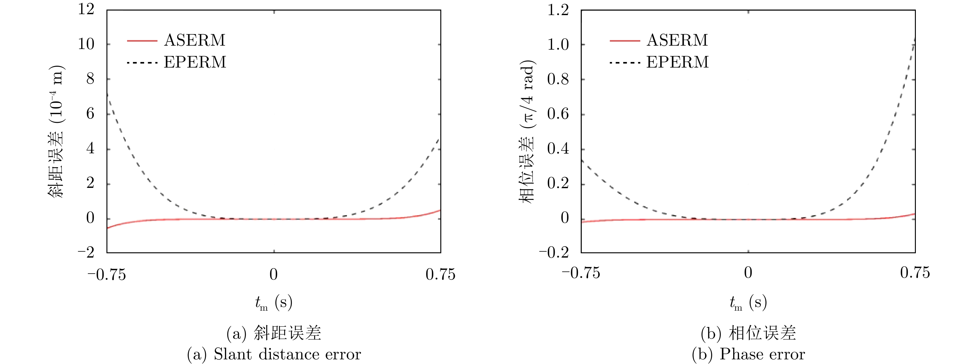
    图  6  EPERM和ASERM的斜距误差和相位误差结果对比

    Figure  6.  Comparison of the results of slant distance error and phase error of EPERM and ASERM

    图  7  距离方位空变耦合示意图

    Figure  7.  Schematic diagram of range azimuth spatial variant coupling

    图  8  高速高机动平台大斜视成像结果[20]

    Figure  8.  High squint imaging results of high speed and high mobility platform[20]

    图  9  基于子孔径成像的ω-k算法成像结果[21]

    Figure  9.  Imaging results of algorithm ω-k based on sub aperture imaging[21]

    图  10  提出的IMF-PFA算法成像结果[19]

    Figure  10.  Imaging results of proposed algorithm IMF-PFA[19]

    图  11  基于修改的子孔径处理算法得到的大斜视SAR图像[25]

    Figure  11.  High squint SAR image based on modified subaperture processing algorithm[25]

    图  12  50°大斜视实测数据处理结果[26]

    Figure  12.  Processing results of measured data of 50° high strabismus[26]

    图  13  大斜视曲线轨迹SAR成像处理流程

    Figure  13.  High squint curve trajectory SAR imaging processing flow

    图  14  单基大斜视角(75°)成像实测数据实时处理结果

    Figure  14.  Real time processing results of single base large squint angle (75°) imaging measured data

    图  15  BP和FFBP成像结果对比[30]

    Figure  15.  Comparison of BP and FFBP imaging results[30]

    图  16  AFBP大斜视成像结果[31]

    Figure  16.  AFBP strabismus imaging results[31]

    图  17  FFBP和CFBP成像结果对比[32]

    Figure  17.  Comparison of FFBP and CFBP imaging results[32]

    图  18  不同时域成像算法处理流程

    Figure  18.  Processing flow of different time-domain imaging algorithms

    图  19  微波雷达关联成像流程框图与工作示意图[42]

    Figure  19.  Flow block diagram and working diagram of microwave radar correlation imaging[42]

    图  20  微波关联仿真三维成像结果[62]

    Figure  20.  3D imaging results of microwave correlation simulation[62]

    图  21  微波关联仿真二维成像结果[62]

    Figure  21.  2D imaging results of microwave correlation simulation[62]

    图  22  微波暗室单角反射器实验结果[64]

    Figure  22.  Experimental results of single corner reflector in microwave anechoic chamber[64]

    图  23  微波暗室多角反射器实验结果[64]

    Figure  23.  Experimental results of multi corner reflector in microwave anechoic chamber[64]

    图  24  室外实验结果[66]

    Figure  24.  Outdoor test results[66]

    图  25  解卷积算法流程图[68]

    Figure  25.  Flow chart of deconvolution integration method[68]

    图  26  回波信号方位向卷积模型[69]

    Figure  26.  Azimuth convolution model of echo signal[69]

    图  27  基于贝叶斯模型解卷积前视成像结果[79]

    Figure  27.  Forward looking imaging results based on Bayesian model deconvolution[79]

    图  28  基于广义高斯约束的贝叶斯前视超分辨成像结果[81]

    Figure  28.  Bayesian forward looking superresolution imaging results based on generalized gaussian constraints[81]

    图  29  单脉冲技术示意图

    Figure  29.  Schematic diagram of monopulse technology

    图  30  单脉冲成像流程图

    Figure  30.  Flow chart of monopulse imaging

    图  31  单脉冲自聚焦算法实验结果图[96]

    Figure  31.  Experimental results of monopulse self focusing algorithm[96]

    图  32  波束内同距离单元多点目标成像结果[96]

    Figure  32.  Multi point target imaging results of the same range unit in the beam[96]

    图  33  文献[99]的仿真试验点目标三维成像结果

    Figure  33.  3D imaging results of simulation test point target in Ref. [99]

    图  34  基于单脉冲三维成像的抗交叉眼干扰方法[101]

    Figure  34.  Anti-cross-eye jamming method based on monopulse pulse 3D imaging[101]

    图  35  国内首幅协同前视SAR实测数据成像结果[120]

    Figure  35.  First domestic real data forward looking Co-SAR imagery[120]

    图  36  北理工协同SAR实测数据成像结果[124]

    Figure  36.  Imaging results of measured SAR data of Beijing Institute of Technology[124]

    图  37  西电协同前视SAR实测数据成像结果

    Figure  37.  Imaging results of measured data of Xidian cooperative forward looking SAR

    图  38  协同时域FFBP算法流程图

    Figure  38.  Flow chart of collaborative time domain FFBP algorithm

    图  39  协同SAR成像FFBP处理结果图[127]

    Figure  39.  FFBP processing results of cooperative SAR imaging[127]

    图  40  CFFBP处理协同SAR实测数据结果[128]

    Figure  40.  CFFBP processing results of cooperative SAR measured data[128]

  • [1] KOVALY J J. Synthetic Aperture Radar[M]. Dedham: Artech House, 1976.
    [2] SKOLNIK M I. Radar Handbook[M]. 2nd ed. New York: McGraw-Hill, 1990.
    [3] 保铮, 邢孟道, 王彤. 雷达成像技术[M]. 北京: 电子工业出版社, 2005.

    BAO Zheng, XING Mengdao, and WANG Tong. Radar Imaging Technique[M]. Beijing: Publishing House of Electronics Industry, 2005.
    [4] 李悦丽. 弹载合成孔径雷达成像技术研究[D]. [博士论文], 国防科学技术大学, 2008.

    LI Yueli. The imaging techniques of missile-borne synthetic aperture radar[D]. [Ph. D. dissertation], National University of Defense Technology, 2008.
    [5] 黄世奇, 禹春来, 刘代志, 等. 成像精确制导技术分析与研究[J]. 导弹与航天运载技术, 2005(5): 20–25. doi: 10.3969/j.issn.1004-7182.2005.05.005

    HUANG Shiqi, YU Chunlai, LIU Daizhi, et al. Analysis and research on imaging precision guidance technology[J]. Missiles and Space Vehicles, 2005(5): 20–25. doi: 10.3969/j.issn.1004-7182.2005.05.005
    [6] 陈定昌, 袁起, 范金荣. 精确制导武器发展趋向[J]. 现代防御技术, 2000, 28(4): 41–47, 57. doi: 10.3969/j.issn.1009-086X.2000.04.007

    CHEN Dingchang, YUAN Qi, and FAN Jinrong. The development tread of the precision guided weapon[J]. Modern Defence Technology, 2000, 28(4): 41–47, 57. doi: 10.3969/j.issn.1009-086X.2000.04.007
    [7] 范金荣. 21世纪前20年精确制导技术发展预测[J]. 现代防御技术, 2003, 31(1): 30–33. doi: 10.3969/j.issn.1009-086X.2003.01.008

    FAN Jinrong. A prediction of precision guidance technology in the earlier 20 years of the 21st century[J]. Modern Defence Technology, 2003, 31(1): 30–33. doi: 10.3969/j.issn.1009-086X.2003.01.008
    [8] 秦玉亮, 王建涛, 王宏强, 等. 弹载合成孔径雷达技术研究综述[J]. 信号处理, 2009, 25(4): 630–635. doi: 10.3969/j.issn.1003-0530.2009.04.023

    QIN Yuliang, WANG Jiantao, WANG Hongqiang, et al. Overview on missile-borne synthetic aperture radar[J]. Signal Processing, 2009, 25(4): 630–635. doi: 10.3969/j.issn.1003-0530.2009.04.023
    [9] 高晓冬, 王枫, 范晋祥. 精确制导系统面临的挑战与对策[J]. 战术导弹技术, 2017(6): 62–69, 75. doi: 10.16358/j.issn.1009-1300.2017.06.11

    GAO Xiaodong, WANG Feng, and FAN Jinxiang. The challenges and development paths for precision guidance system[J]. Tactical Missile Technology, 2017(6): 62–69, 75. doi: 10.16358/j.issn.1009-1300.2017.06.11
    [10] 陈浩川, 张彬, 张振华. 精确制导多体制探测技术新进展[J]. 遥测遥控, 2017, 38(6): 23–29. doi: 10.3969/j.issn.2095-1000.2017.06.005

    CHEN Haochuan, ZHANG Bin, and ZHANG Zhenhua. New development of multi-system and multi-band detection technology for precision guidance[J]. Journal of Telemetry,Tracking and Command, 2017, 38(6): 23–29. doi: 10.3969/j.issn.2095-1000.2017.06.005
    [11] 原涛. 弹载SAR实时成像信号处理机设计[D]. [硕士论文], 西安电子科技大学, 2013.

    YUAN Tao. Design of missile-borne SAR real-time imaging signal processing system[D]. [Master dissertation], Xidian University, 2013.
    [12] JACKSON M C. The geometry of bistatic radar systems[J]. IEE Proceedings F-Communications, Radar and Signal Processing, 1986, 133(7): 604–612. doi: 10.1049/ip-f-1.1986.0097
    [13] SAHR J D and LIND F D. The Manastash Ridge radar: A passive bistatic radar for upper atmospheric radio science[J]. Radio Science, 1997, 32(6): 2345–2358. doi: 10.1029/97RS02454
    [14] CAI Jun and MCMECHAN G A. Ray-based synthesis of bistatic ground-penetrating radar profiles[J]. Geophysics, 1995, 60(1): 87–96. doi: 10.1190/1.1443766
    [15] WANG Pengbo, LIU Wei, CHEN Jie, et al. A high-order imaging algorithm for high-resolution spaceborne SAR based on a modified equivalent squint range model[J]. IEEE Transactions on Geoscience and Remote Sensing, 2015, 53(3): 1225–1235. doi: 10.1109/TGRS.2014.2336241
    [16] BAO Min, XING Mengdao, WANG Yong, et al. Two-dimensional spectrum for MEO SAR processing using a modified advanced hyperbolic range equation[J]. Electronics Letters, 2011, 47(18): 1043–1045. doi: 10.1049/el.2011.1322.
    [17] LI Zhenyu, LIANG Yi, XING Mengdao, et al. An improved range model and Omega-k-based imaging algorithm for high-squint SAR with curved trajectory and constant acceleration[J]. IEEE Geoscience and Remote Sensing Letters, 2016, 13(5): 656–660. doi: 10.1109/LGRS.2016.2533631
    [18] DENG Bin, LI Xiang, WANG Hongqiang, et al. Fast raw-signal simulation of extended scenes for missile-borne SAR with constant acceleration[J]. IEEE Geoscience and Remote Sensing Letters, 2011, 8(1): 44–48. doi: 10.1109/LGRS.2010.2050675
    [19] LI Yachao, SONG Xuan, GUO Liang, et al. Inverse-mapping filtering polar formation algorithm for high-maneuverability SAR with time-variant acceleration[J]. Signal Processing, 2020, 171: 107506. doi: 10.1016/j.sigpro.2020.107506
    [20] 余涛. 改进高机动平台曲线轨迹SAR频域成像算法研究[D]. [硕士论文], 西安电子科技大学, 2019.

    YU Tao. Study on improved frequency-domain imaging algorithms for SAR mounted on high maneuvering platforms with curve tracks[D]. [Master dissertation], Xidian University, 2019.
    [21] SUN Liwei, YU Ze, LI Chunsheng, et al. An imaging algorithm for spaceborne high-squint L-band SAR based on time-domain rotation[J]. IEEE Journal of Selected Topics in Applied Earth Observations and Remote Sensing, 2019, 12(12): 5289–5299. doi: 10.1109/JSTARS.2019.2953836
    [22] AN Daoxiang, HUANG Xiaotao, JIN Tian, et al. Extended nonlinear chirp scaling algorithm for high-resolution highly squint SAR data focusing[J]. IEEE Transactions on Geoscience and Remote Sensing, 2012, 50(9): 3595–3609. doi: 10.1109/TGRS.2012.2183606
    [23] AN Daoxiang, HUANG Xiaotao, JIN Tian, et al. Extended two-step focusing approach for squinted spotlight SAR imaging[J]. IEEE Transactions on Geoscience and Remote Sensing, 2012, 50(7): 2889–2900. doi: 10.1109/TGRS.2011.2174460
    [24] HUANG Bang, ZHANG Shunsheng, WANG Wenqin, et al. High-precision imaging algorithm for highly squinted SAR with 3D acceleration[J]. IEEE Access, 2019, 7: 130399–130409. doi: 10.1109/ACCESS.2019.2940283
    [25] ZENG Tao, LI Yinghe, DING Zegang, et al. Subaperture approach based on azimuth-dependent range cell migration correction and azimuth focusing parameter equalization for maneuvering high-squint-mode SAR[J]. IEEE Transactions on Geoscience and Remote Sensing, 2015, 53(12): 6718–6734. doi: 10.1109/tgrs.2015.2447393
    [26] XING Mengdao, WU Yufeng, ZHANG Y D, et al. Azimuth resampling processing for highly squinted synthetic aperture radar imaging with several modes[J]. IEEE Transactions on Geoscience and Remote Sensing, 2014, 52(7): 4339–4352. doi: 10.1109/TGRS.2013.2281454
    [27] 李浩林. 机载SAR快速后向投影成像算法研究[D]. [博士论文], 西安电子科技大学, 2015.

    LI Haolin. Study on fast back-projection algorithms for airborne SAR imaging[D]. [Ph. D. dissertation], Xidian University, 2015.
    [28] ZHOU Song, YANG Lei, ZHAO Lifan, et al. Quasi-polar-based FFBP algorithm for miniature UAV SAR imaging without navigational data[J]. IEEE Transactions on Geoscience and Remote Sensing, 2017, 55(12): 7053–7065. doi: 10.1109/TGRS.2017.2739133
    [29] YEGULALP A F. Fast backprojection algorithm for synthetic aperture radar[C]. 1999 IEEE Radar Conference. Radar into the Next Millennium, Waltham, USA, 1999: 60–64.
    [30] ULANDER L M H, HELLSTEN H, and STENSTROM G. Synthetic-aperture radar processing using fast factorized back-projection[J]. IEEE Transactions on Aerospace and Electronic Systems, 2003, 39(3): 760–776. doi: 10.1109/TAES.2003.1238734
    [31] ZHANG Tao, LIAO Guisheng, LI Yachao, et al. A two-stage time-domain autofocus method based on generalized sharpness metrics and AFBP[J]. IEEE Transactions on Geoscience and Remote Sensing, 2022, 60: 5205413. doi: 10.1109/TGRS.2021.3068789
    [32] DONG Qi, SUN Guangcai, YANG Zemin, et al. Cartesian factorized backprojection algorithm for high-resolution spotlight SAR imaging[J]. IEEE Sensors Journal, 2018, 18(3): 1160–1168. doi: 10.1109/JSEN.2017.2780164
    [33] 李悦丽, 梁甸农, 黄晓涛. 一种单脉冲雷达多通道解卷积前视成像方法[J]. 信号处理, 2007, 23(5): 699–703. doi: 10.3969/j.issn.1003-0530.2007.05.013

    LI Yueli, LIANG Diannong, and HUANG Xiaotao. A multi-channel deconvolution based on forword-looking imaging method in monopulse radar[J]. Signal Processing, 2007, 23(5): 699–703. doi: 10.3969/j.issn.1003-0530.2007.05.013
    [34] 陈洪猛. 机载广域监视雷达高分辨成像方法研究[D]. [博士论文], 西安电子科技大学, 2016.

    CHEN Hongmeng. Study of high resolution imaging for airborne wide area surveillance radar[D]. [Ph. D. dissertation], Xidian University, 2016.
    [35] 胡体玲, 李兴国. 单脉冲探测技术的发展综述[J]. 现代雷达, 2006, 28(12): 24–29. doi: 10.16592/j.cnki.1004-7859.2006.12.006

    HU Tiling and LI Xingguo. Research on development of monopulse detection technology[J]. Modern Radar, 2006, 28(12): 24–29. doi: 10.16592/j.cnki.1004-7859.2006.12.006
    [36] LÖHNER A K. Improved azimuthal resolution of forward looking SAR by sophisticated antenna illumination function design[J]. IEE Proceedings - Radar, Sonar and Navigation, 1998, 145(2): 128–134. doi: 10.1049/ip-rsn:19981731
    [37] YOUNIS M and WIESBECK W. Antenna system for a forward looking SAR using digital beamforming on-receive-only[C]. IEEE 2000 International Geoscience and Remote Sensing Symposium. Taking the Pulse of the Planet: The Role of Remote Sensing in Managing the Environment, Honolulu, USA, 2000: 2343–2345.
    [38] CHENG Jing and HAN Shensheng. Incoherent coincidence imaging and its applicability in X-ray diffraction[J]. Physical Review Letters, 2004, 92(9): 093903. doi: 10.1103/PhysRevLett.92.093903
    [39] GONG Wenlin and HAN Shensheng. The influence of axial correlation depth of light field on lensless ghost imaging[J]. Journal of the Optical Society of America B, 2010, 27(4): 675–678. doi: 10.1364/JOSAB.27.000675
    [40] 王东进, 徐浩, 陈卫东, 等. 微波凝视成像的方法[P]. 中国, 201110000699.8, 2011.

    WANG Dongjin, XU Hao, CHEN Weidong, et al. Microwave gaze correlation imaging[P]. CN, 201110000699.8, 2011.
    [41] 王东进, 杨予昊, 郭圆月, 等. 用于悬停平台的对地凝视成像系统[P]. 中国, 201110000522.8, 2011.

    WANG Dongjin, YANG Yuhao, GUO Yuanyue, et al. Ground staring imaging system for hovering platform[P]. CN, 201110000699.8, 2011.
    [42] 阮锋, 卢夏雷, 郭亮, 等. 基于超材料天线的超分辨关联成像的改进[J]. 系统工程与电子技术, 2021, 43(12): 3510–3517. doi: 10.12305/j.issn.1001-506X.2021.12.12

    RUAN Feng, LU Xialei, GUO Liang, et al. Improvement of super-resolution correlated imaging based on metamaterial antenna[J]. Systems Engineering and Electronics, 2021, 43(12): 3510–3517. doi: 10.12305/j.issn.1001-506X.2021.12.12
    [43] 马远鹏. 基于时空两维随机辐射场的微波凝视关联成像初探[D]. [博士论文], 中国科学技术大学, 2013.

    MA Yuanpeng. Preliminary research on microwave staring correlated imaging based on temporal-spatial stochastic radiation fields[D]. [Ph. D. dissertation], University of Science and Technology of China, 2013.
    [44] 李东泽. 雷达关联成像技术研究[D]. [博士论文], 国防科学技术大学, 2014.

    LI Dongze. Radar coincidence imaging technique research[D]. [Ph. D. dissertation], National University of Defense Technology, 2014.
    [45] 查国峰. 运动目标微波关联成像技术研究[D]. [博士论文], 国防科学技术大学, 2016.

    ZHA Guofeng. Microwave coincidence imaging technique research for moving target[D]. [Ph. D. dissertation], National University of Defense Technology, 2016.
    [46] LI Dongze, LI Xiang, CHENG Yongqiang, et al. Three dimensional radar coincidence imaging[J]. Progress in Electromagnetics Research M, 2013, 33: 223–238. doi: 10.2528/PIERM13081101
    [47] 孟青泉. 微波高分辨凝视关联成像信息处理研究[D]. [博士论文], 中国科学技术大学, 2016.

    MENG Qingquan. The research on information processing in high resolution microwave staring correlated imaging[D]. [Ph. D. dissertation], University of Science and Technology of China, 2016.
    [48] LIU Bo and WANG Dongjin. Orthogonal radiation field construction for microwave staring correlated imaging[J]. Progress in Electromagnetics Research M, 2017, 57: 139–149. doi: 10.2528/PIERM17042003
    [49] 张健霖. 微波凝视关联成像辐射源设计理论研究[D]. [博士论文], 中国科学技术大学, 2021.

    ZHANG Jianlin. Theotical research on radiation source design of microwave staring correlated imaging[D]. [Ph. D. dissertation], University of Science and Technology of China, 2021.
    [50] YANG Haotian, ZHANG Linjian, GAO Yesheng, et al. Azimuth wavefront modulation using plasma lens array for microwave staring imaging[C]. 2015 IEEE International Geoscience and Remote Sensing Symposium (IGARSS), Milan, Italy, 2015.
    [51] 张安学, 张松林, 徐卓, 等. 一种单发射体制的雷达关联成像方法[P]. 中国, 201710132260.8, 2017.

    ZHANG Anxue, ZHANG Songlin, XU Zhuo, et al. A radar correlation imaging method for single-emission system[P]. CN, 201710132260.8, 2017.
    [52] KATZ O, BROMBERG Y, and SILBERBERG Y. Compressive ghost imaging[J]. Applied Physics Letters, 2009, 95(13): 131110. doi: 10.1063/1.3238296
    [53] ZHANG Chi, GUO Shuxu, CAO Junsheng, et al. Object reconstitution using pseudo-inverse for ghost imaging[J]. Optics Express, 2014, 22(24): 30063–30073. doi: 10.1364/OE.22.030063
    [54] GONG Wenlin. High-resolution pseudo-inverse ghost imaging[J]. Photonics Research, 2015, 3(5): 234–237. doi: 10.1364/PRJ.3.000234
    [55] 西安电子科技大学, 中国电子科技集团公司第五十四研究所. 一种基于广义全变差正则化的雷达关联成像方法[P]. 中国, 201810573957.3, 2018.

    Xidian University and The 54th Research Institute of CETC. A radar correlation imaging method based on generalized total variation regularization[P]. CN, 201810573957.3, 2018.
    [56] CHENG Yongqiang, ZHOU Xiaoli, XU Xianwu, et al. Radar coincidence imaging with stochastic frequency modulated array[J]. IEEE Journal of Selected Topics in Signal Processing, 2017, 11(2): 414–427. doi: 10.1109/JSTSP.2016.2615275
    [57] 宋洋洋. 基于压缩感知的关联成像信号处理方法研究[D]. [硕士论文], 北京邮电大学, 2017.

    SONG Yangyang. Study of the ghost iamging signal processing methods based on the compressive sensing[D]. [Master dissertation], Beijing University of Posts and Telecommunications, 2017.
    [58] 钱婷婷. 块稀疏目标凝视关联成像技术研究[D]. [硕士论文], 中国科学技术大学, 2018.

    QIAN Tingting. Research on staring correlated imaging of block sparse target[D]. [Master dissertation], University of Science and Technology of China, 2018.
    [59] 韩亚东. 时空辐射场弱随机性下的微波关联稀疏成像方法研究[D]. [硕士论文], 西安电子科技大学, 2020.

    HAN Yadong. Research on microwave correlated sparse imaging in weak randomness of temporal-spatial radiation field[D]. [Master dissertation], Xidian University, 2020.
    [60] 罗春生. 运动目标微波关联稀疏成像技术研究[D]. [硕士论文], 中国科学技术大学, 2016.

    LUO Chunsheng. Research on microwave correlated sparse imaging of moving target[D]. [Master dissertation], University of Science and Technology of China, 2016.
    [61] TROPP J A and GILBERT A C. Signal recovery from random measurements via orthogonal matching pursuit[J]. IEEE Transactions on Information Theory, 2007, 53(12): 4655–4666. doi: 10.1109/TIT.2007.909108
    [62] 何学智. 微波凝视关联成像的信息处理方法与仿真[D]. [博士论文], 中国科学技术大学, 2013.

    HE Xuezhi. The information processing methods and simulations in microwave staring correlated imaging[D]. [Ph. D. dissertation], University of Science and Technology of China, 2013.
    [63] 于慧. 稀疏目标的关联成像算法研究[D]. [硕士论文], 中国科学技术大学, 2014.

    YU Hui. Research on sparse imaging algorithms for correlated imaging systems[D]. [Master dissertation], University of Science and Technology of China, 2014.
    [64] 许然. 提高雷达成像质量的若干新体制和新方法研究[D]. [博士论文], 西安电子科技大学, 2015.

    XU Ran. Study on new systems and techniques for improving radar imaging performances[D]. [Ph. D. dissertation], Xidian University, 2015.
    [65] 蒋峥. 微波凝视关联成像辐射场的空间相关性和运动补偿的研究[D]. [博士论文], 中国科学技术大学, 2021.

    JIANG Zheng. Research on spatial correlation and motion compensation of radiation field of microwave staring correlated imaging[D]. [Ph. D. dissertation], University of Science and Technology of China, 2021.
    [66] 卢夏雷. 超材料天线雷达前视成像技术研究[D]. [硕士论文], 西安电子科技大学, 2021.

    LU Xialei. Research on forward-looking imaging technology of metamaterial antenna radar[D]. [Master dissertation], Xidian University, 2021.
    [67] 查月波. 基于凸优化的雷达超分辨成像理论与方法研究[D]. [博士论文], 电子科技大学, 2016.

    ZHA Yuebo. Radar super resolution imaging theory and methods study based on convex optimization[D]. [Ph. D. dissertation], University of Electronic Science and Technology of China, 2016.
    [68] 陈洪猛, 李明, 王泽玉, 等. 基于多帧数据联合处理的机载单通道雷达贝叶斯前视成像[J]. 电子与信息学报, 2015, 37(10): 2328–2334. doi: 10.11999/JEIT150153

    CHEN Hongmeng, LI Ming, WANG Zeyu, et al. Bayesian forward-looking imaging for airborne single-channel radar based on combined multiple frames data[J]. Journal of Electronics &Information Technology, 2015, 37(10): 2328–2334. doi: 10.11999/JEIT150153
    [69] MAO Deqing, YANG Jianyu, ZHANG Yongchao, et al. Angular superresolution of real aperture radar using online detect-before-reconstruct framework[J]. IEEE Transactions on Geoscience and Remote Sensing, 2022, 60: 5109317. doi: 10.1109/TGRS.2021.3139355
    [70] HUANG Yulin, ZHA Yuebo, WANG Yue, et al. Forward looking radar imaging by truncated singular value decomposition and its application for adverse weather aircraft landing[J]. Sensors, 2015, 15(6): 14397–14414. doi: 10.3390/s150614397
    [71] LENTI F, NUNZIATA F, MIGLIACCIO M, et al. Two-dimensional TSVD to enhance the spatial resolution of radiometer data[J]. IEEE Transactions on Geoscience and Remote Sensing, 2014, 52(5): 2450–2458. doi: 10.1109/TGRS.2013.2261303
    [72] LENTI F, NUNZIATA F, MIGLIACCIO M, et al. 2D TSVD to enhance the resolution of radiometer data[C]. 2012 IEEE International Geoscience and Remote Sensing Symposium, Munich, Germany, 2012: 6091–6094.
    [73] WU Yang, ZHANG Yin, ZHANG Yongchao, et al. TSVD with least squares optimization for scanning radar angular super-resolution[C]. 2017 IEEE Radar Conference (RadarConf), Seattle, USA, 2017: 1450–1454.
    [74] CRAVEN P and WAHBA G. Smoothing noisy data with spline functions[J]. Numerische Mathematik, 1978, 31(4): 377–403. doi: 10.1007/BF01404567
    [75] WANG Zhou and BOVIK A C. Mean squared error: Love it or leave it? A new look at signal fidelity measures[J]. IEEE Signal Processing Magazine, 2009, 26(1): 98–117. doi: 10.1109/MSP.2008.930649
    [76] VOGEL C R. Non-convergence of the L-curve regularization parameter selection method[J]. Inverse Problems, 1996, 12(4): 535–547. doi: 10.1088/0266-5611/12/4/013
    [77] HANSEN P C, JENSEN T K, and RODRIGUEZ G. An adaptive pruning algorithm for the discrete L-curve criterion[J]. Journal of Computational and Applied Mathematics, 2007, 198(2): 483–492. doi: 10.1016/j.cam.2005.09.026
    [78] 王子曦. 基于正则化的雷达前视超分辨成像算法工程应用分析[J]. 电子技术与软件工程, 2021(17): 89–92.

    WANG Zixi. Engineering application analysis of radar forward looking super-resolution imaging algorithm based on regularization[J]. Electronic Technology &Software Engineering, 2021(17): 89–92.
    [79] CHEN Hongmeng, LI Yachao, GAO Wenquan, et al. Bayesian forward-looking superresolution imaging using Doppler deconvolution in expanded beam space for high-speed platform[J]. IEEE Transactions on Geoscience and Remote Sensing, 2022, 60: 5105113. doi: 10.1109/TGRS.2021.3107717
    [80] HUANG Yulin, ZHA Yuebo, ZHANG Yin, et al. Real-beam scanning radar angular super-resolution via sparse deconvolution[C]. 2014 IEEE Geoscience and Remote Sensing Symposium, Quebec City, Canada, 2014: 3081–3084.
    [81] ZHANG Yin, LI Changlin, MAO Deqing, et al. Bayesian superresolution method of forward-looking imaging with generalized Gaussian constraint[C]. IGARSS 2018 - 2018 IEEE International Geoscience and Remote Sensing Symposium, Valencia, Spain, 2018: 5128–5131.
    [82] LI Dongye, HUANG Yulin, and YANG Jianyu. Real beam radar imaging based on adaptive Lucy-Richardson algorithm[C]. 2011 IEEE CIE International Conference on Radar, Chengdu, China, 2011: 1437–1440.
    [83] CHEN Shaoli and YANG Min. An adaptive fast iterative shrinkage threshold algorithm[C]. 2017 29th Chinese Control and Decision Conference (CCDC), Chongqing, China, 2017: 2190–2194.
    [84] ZHANG Qiping, ZHANG Yin, HUANG Yulin, et al. TV-sparse super-resolution method for radar forward-looking imaging[J]. IEEE Transactions on Geoscience and Remote Sensing, 2020, 58(9): 6534–6549. doi: 10.1109/TGRS.2020.2977719
    [85] YANG Junfeng, ZHANG Yin, and YIN Wotao. A fast alternating direction method for TVL1-L2 signal reconstruction from partial Fourier data[J]. IEEE Journal of Selected Topics in Signal Processing, 2010, 4(2): 288–297. doi: 10.1109/JSTSP.2010.2042333
    [86] HUO Weibo, TUO Xingyu, ZHANG Yin, et al. Balanced tikhonov and total variation deconvolution approach for radar forward-looking super-resolution imaging[J]. IEEE Geoscience and Remote Sensing Letters, 2022, 19: 3505805. doi: 10.1109/LGRS.2021.3072389
    [87] TUO Xingyu, ZHANG Yin, HUANG Yulin, et al. A hybrid norm regularization approach for radar forward-looking angle super-resolution imaging[C]. 2021 IEEE Radar Conference (RadarConf21), Atlanta, USA, 2021: 1–5.
    [88] ZHANG Yongchao, ZHANG Yin, HUANG Yulin, et al. Angular superresolution for scanning radar with improved regularized iterative adaptive approach[J]. IEEE Geoscience and Remote Sensing Letters, 2016, 13(6): 846–850. doi: 10.1109/LGRS.2016.2550491
    [89] JIANG Xiaoqing, LI Yueli, FAN Chongyi, et al. An interpolated iterative adaptive approach for scanning radar imaging[C]. 2019 IEEE International Conference on Signal Processing, Communications and Computing (ICSPCC), Dalian, China, 2019: 1–4.
    [90] 吴迪, 朱岱寅, 朱兆达. 机载雷达单脉冲前视成像算法[J]. 中国图象图形学报, 2010, 15(3): 462–469. doi: 10.11834/jig.20100317

    WU Di, ZHU Daiyin, and ZHU Zhaoda. Research on nomopulse forward-looking imaging algorithm for airborne radar[J]. Journal of Image and Graphics, 2010, 15(3): 462–469. doi: 10.11834/jig.20100317
    [91] 吴迪, 朱岱寅, 田斌, 等. 单脉冲成像算法性能分析[J]. 航空学报, 2012, 33(10): 1905–1914.

    WU Di, ZHU Daiyin, TIAN Bin, et al. Performance evaluation for monopulse imaging algorithm[J]. Acta Aeronauticaet Astronautica Sinica, 2012, 33(10): 1905–1914.
    [92] 吴迪, 杨成杰, 朱岱寅, 等. 一种用于单脉冲成像的自聚焦算法[J]. 电子学报, 2016, 44(8): 1962–1968. doi: 10.3969/j.issn.0372-2112.2016.08.027

    WU Di, YANG Chengjie, ZHU Daiyin, et al. An autofocusing algorithm for monopulse imaging[J]. Acta Electronica Sinica, 2016, 44(8): 1962–1968. doi: 10.3969/j.issn.0372-2112.2016.08.027
    [93] 李皓. 基于单脉冲雷达的多目标检测方法与仿真[D]. [硕士论文], 北京理工大学, 2016.

    LI Hao. Simulation of detection for multiple unresolved targets with monopluse radar[D]. [Master dissertation], Beijing Institute of Technology, 2016.
    [94] 杨洋, 李悦丽. 单脉冲前视成像多目标分辨算法[J]. 信号处理, 2016, 32(9): 1055–1064. doi: 10.16798/j.issn.1003-0530.2016.09.07

    YANG Yang and LI Yueli. Multi-targets discrimination algorithm in monopulse forward-looking imaging[J]. Journal of Signal Processing, 2016, 32(9): 1055–1064. doi: 10.16798/j.issn.1003-0530.2016.09.07
    [95] ZHANG Xin, WILLETT P K, and BAR-SHALOM Y. Monopulse Radar detection and localization of multiple unresolved targets via joint bin Processing[J]. IEEE Transactions on Signal Processing, 2005, 53(4): 1225–1236. doi: 10.1109/TSP.2005.843732
    [96] YANG Yang and LI Yueli. A maximum likelihood extractor for forward-looking imaging of multiple unresolved targets in monopulse radar[C]. 2016 CIE International Conference on Radar (RADAR), Guangzhou, China, 2016: 1–4.
    [97] XIE Junhao, FENG Xiaodong, YUAN Yeshu, et al. Application of monopulse techniques in angle-measuring of single-beam mechanical scanning radar[C]. 2010 3rd International Congress on Image and Signal Processing, Yantai, China, 2010: 2971–2974.
    [98] 张超峰, 刘丹, 程臻. 采用RELAX算法提高单脉冲三维成像横向分辨率[J]. 系统工程与电子技术, 2008, 30(11): 2063–2065. doi: 10.3321/j.issn:1001-506X.2008.11.007

    ZHANG Chaofeng, LIU Dan, and CHENG Zhen. Improvement in lateral resolution of mono-pulse 3-D imaging radar using RELAX algorithm[J]. Systems Engineering and Electronics, 2008, 30(11): 2063–2065. doi: 10.3321/j.issn:1001-506X.2008.11.007
    [99] LI Yuhan, QI Wei, DENG Zhenmiao, et al. Monopulse instantaneous 3D imaging for wideband radar system[J]. Journal of Systems Engineering and Electronics, 2021, 32(1): 53–67. doi: 10.23919/JSEE.2021.000007
    [100] 李小雷, 蔡雨, 袁军, 等. 一种单孔径毫米波单脉冲雷达前视三维SAR成像算法[J]. 弹箭与制导学报, 2019, 39(3): 125–129. doi: 10.15892/j.cnki.djzdxb.2019.03.028

    LI Xiaolei, CAI Yu, YUAN Jun, et al. A three-dimensional imaging algorithm for forward-looking SAR of single aperture millimeter wave monopulse radar[J]. Journal of Projectiles,Rockets,Missiles and Guidance, 2019, 39(3): 125–129. doi: 10.15892/j.cnki.djzdxb.2019.03.028
    [101] 胡艳芳, 陈伯孝, 吴传章. 基于单脉冲三维成像的抗交叉眼干扰方法[J]. 系统工程与电子技术, 2022, 44(4): 1188–1194. doi: 10.12305/j.issn.1001-506X.2022.04.15

    HU Yanfang, CHEN Baixiao, and WU Chuanzhang. Anti-cross-eye jamming method based on monopulse radar 3-D imaging[J]. Systems Engineering and Electronics, 2022, 44(4): 1188–1194. doi: 10.12305/j.issn.1001-506X.2022.04.15
    [102] ZOFFOLI S, CRISCONIO M, MUSSO C, et al. A small glance to earth from spaceglance to Earth from space[C]. The 3rd Interenational Symposdium of the IAA on Small Satelites for Earth Observation, Berlin, Germany, 2001: 99–103.
    [103] WEIB M. Synchronisation of bistatic radar systems[C]. 2004 IEEE International Geoscience and Remote Sensing Symposium, Anchorage, USA, 2004: 1750–1753.
    [104] KRIEGER G and YOUNIS M. Impact of oscillator noise in bistatic and multistatic SAR[J]. IEEE Geoscience and Remote Sensing Letters, 2006, 3(3): 424–428. doi: 10.1109/LGRS.2006.874164
    [105] LIU Kesheng. An analysis of some problems of bistatic and multistatic radars[C]. 2003 International Conference on Radar, Adelaide, Australia, 2003: 429–432.
    [106] YOUNIS M, MERZIG R, and KRIEGER G. Performance prediction of a phase synchronization link for bistatic SAR[J]. IEEE Geoscience and Remote Sensing Letters, 2006, 3(3): 429–433. doi: 10.1109/LGRS.2006.874163
    [107] D’ARIA D, GUARNIERI A M, and ROCCA F. Focusing bistatic synthetic aperture radar using dip move out[J]. IEEE Transactions on Geoscience and Remote Sensing, 2004, 42(7): 1362–1376. doi: 10.1109/TGRS.2004.830166
    [108] 闫鸿慧, 王岩飞, 于海锋, 等. 一种基于距离补偿的分布式小卫星双基SAR成像方法[J]. 电子与信息学报, 2005, 27(5): 771–774.

    YAN Honghui, WANG Yanfei, YU Haifeng, et al. An imaging method of distributed small satellites bistatic SAR based on range distance compensation[J]. Journal of Electronics &Information Technology, 2005, 27(5): 771–774.
    [109] 汤子跃, 张守融. 双站合成孔径雷达系统原理[M]. 北京: 科学出版社, 2003.

    TANG Ziyue and ZHANG Shourong. Principle of Bi-station Synthetic Aperture Radar System[M]. Beijing: Science Press, 2003.
    [110] QIU Xiaolan, HU Donghui, and DING Chibiao. Focusing bistaitc images use RDA based on hyperbolic approximating[C]. 2006 CIE International Conference on Radar, Shanghai, China, 2006: 1–4.
    [111] 梅海文. 双/多基地SAR成像与定位方法研究[D]. [博士论文], 西安电子科技大学, 2019.

    MEI Haiwen. Imaging algorithm and position method study on bistatic/multistatic SAR[D]. [Ph. D. dissertation], Xidian University, 2019.
    [112] LOFFELD O, NIES H, PETERS V, et al. Models and useful relations for bistatic SAR processing[J]. IEEE Transactions on Geoscience and Remote Sensing, 2004, 42(10): 2031–2038. doi: 10.1109/TGRS.2004.835295
    [113] RIGLING B D and MOSES R L. Polar format algorithm for bistatic SAR[J]. IEEE Transactions on Aerospace and Electronic Systems, 2004, 40(4): 1147–1159. doi: 10.1109/TAES.2004.1386870
    [114] WANG R, LOFFELD O, NEO Y L, et al. Extending Loffeld’s bistatic formula for the general bistatic SAR configuration[J]. IET Radar, Sonar & Navigation, 2010, 4(1): 74–84. doi: 10.1049/iet-rsn.2009.0099
    [115] WU Junjie, YANG Jianyu, HUANG Yulin, et al. Focusing bistatic forward-looking SAR using chirp scaling algorithm[C]. 2011 IEEE RadarCon (RADAR), Kansas, USA, 2011: 1036–1039.
    [116] WU Junjie, PU Wei, HUANG Yulin, et al. Bistatic forward-looking SAR focusing using ω-k based on spectrum modeling and optimization[J]. IEEE Journal of Selected Topics in Applied Earth Observations and Remote Sensing, 2018, 11(11): 4500–4512. doi: 10.1109/jstars.2018.2873645
    [117] WONG F H, CUMMING I G, and NEO Y L. Focusing bistatic SAR data using the nonlinear chirp scaling algorithm[J]. IEEE Transactions on Geoscience and Remote Sensing, 2008, 46(9): 2493–2505. doi: 10.1109/TGRS.2008.917599
    [118] ZHONG Hua and LIU Xingzhao. An effective focusing approach for azimuth invariant bistatic SAR processing[J]. Signal Processing, 2010, 90(1): 395–404. doi: 10.1016/j.sigpro.2009.07.005
    [119] SUN Zheng, ZHANG Wei, and ZHANG Shunsheng. An improved CS imaging algorithm for spaceborne/airborne hybrid bistatic SAR[C]. 2011 IEEE CIE International Conference on Radar, Chengdu, China, 2011.
    [120] WU Junjie, SUN Zhichao, LI Zhongyu, et al. Focusing translational variant bistatic forward-looking SAR using keystone transform and extended nonlinear chirp scaling[J]. Remote Sensing, 2016, 8(10): 840. doi: 10.3390/rs8100840
    [121] MENG Ziqiang, LI Yachao, SONG Xiufeng, et al. Amplitude-phase discontinuity calibration for phased array radar in varying jamming environment[J]. IET Signal Processing, 2014, 8(7): 729–737. doi: 10.1049/iet-spr.2013.0308
    [122] MENG Ziqiang, LI Yachao, XING Mengdao, et al. Property analysis of bistatic forward-looking SAR with arbitrary geometry[J]. Journal of Systems Engineering and Electronics, 2016, 27(1): 111–127. doi: 10.1109/JSEE.2016.00012
    [123] LI Yachao, ZHANG Tinghao, MEI Haiwen, et al. Focusing Translational-Variant bistatic forward-looking SAR data using the modified Omega-K algorithm[J]. IEEE Transactions on Geoscience and Remote Sensing, 2022, 60: 5203916. doi: 10.1109/TGRS.2021.3063780
    [124] ZENG Tao, WANG Rui, LI Feng, et al. A modified nonlinear chirp scaling algorithm for spaceborne/stationary bistatic SAR based on series reversion[J]. IEEE Transactions on Geoscience and Remote Sensing, 2013, 51(5): 3108–3118. doi: 10.1109/TGRS.2012.2219057
    [125] DENG Huan, LI Yachao, LIU Mengqi, et al. A space-variant phase filtering imaging algorithm for missile-borne BiSAR with arbitrary configuration and curved track[J]. IEEE Sensors Journal, 2018, 18(8): 3311–3326. doi: 10.1109/JSEN.2018.2809508
    [126] WANG Yuekun, LIU Yanyang, LI Zhenfang, et al. High-resolution wide-swath imaging of spaceborne multichannel bistatic SAR with inclined geosynchronous illuminator[J]. IEEE Geoscience and Remote Sensing Letters, 2017, 14(12): 2380–2384. doi: 10.1109/LGRS.2017.2765675
    [127] FENG Dong, AN Daoxiang, and HUANG Xiaotao. An extended fast factorized back projection algorithm for missile-borne bistatic forward-looking SAR imaging[J]. IEEE Transactions on Aerospace and Electronic Systems, 2018, 54(6): 2724–2734. doi: 10.1109/TAES.2018.2828238
    [128] LI Yachao, XU Gaotian, ZHOU Song, et al. A novel CFFBP algorithm with noninterpolation image merging for bistatic forward-looking SAR focusing[J]. IEEE Transactions on Geoscience and Remote Sensing, 2022, 60: 5225916. doi: 10.1109/TGRS.2022.3162230
    [129] 江淮. 弹载合成孔径雷达成像处理算法研究[D]. [博士论文], 南京理工大学, 2017.

    JIANG Huai. Research on the imgaing algorithm of missle borne synthetic aperture radar[D]. [Ph. D. dissertation], Nanjing University of Science and Technology, 2017.
    [130] 陈伟, 孙洪忠, 齐恩勇, 等. 智能化时代雷达导引头信号处理关键技术展望[J]. 航空兵器, 2019, 26(1): 76–82. doi: 10.12132/ISSN.1673-5048.2018.0090

    CHEN Wei, SUN Hongzhong, QI Enyong, et al. Key technology prospects of radar seeker signal processing in intelligent age[J]. Aero Weaponry, 2019, 26(1): 76–82. doi: 10.12132/ISSN.1673-5048.2018.0090
    [131] LIANG Wenkai, WU Yan, LI Ming, et al. A feature fusion-net using deep spatial context encoder and nonstationary joint statistical model for high-resolution SAR image classification[J]. IEEE Transactions on Geoscience and Remote Sensing, 2022, 60: 4407818. doi: 10.1109/TGRS.2021.3137029
    [132] LIN Liupeng, LI Jie, SHEN Huanfeng, et al. Low-resolution fully polarimetric SAR and high-resolution single-polarization SAR image fusion network[J]. IEEE Transactions on Geoscience and Remote Sensing, 2022, 60: 5216117. doi: 10.1109/TGRS.2021.3121166
    [133] 刘恩凡. 地面时敏目标探测制导技术探讨[J]. 飞航导弹, 2016(1): 87–91. doi: 10.16338/j.issn.1009-1319.2016.01.18

    LIU Enfan. Discussion on detection and guidance technology of time-sensitive ground target[J]. Aerodynamic Missile Journal, 2016(1): 87–91. doi: 10.16338/j.issn.1009-1319.2016.01.18
    [134] 左峰. 视频合成孔径雷达成像算法研究[D]. [博士论文], 电子科技大学, 2020.

    ZUO Feng. Research on video synthetic aperture radar imaging algorithm[D]. [Ph. D. dissertation], University of Electronic Science and Technology of China, 2020.
    [135] 周畅, 汤子跃, 朱振波, 等. 抗间歇采样转发干扰的波形设计方法[J]. 电子与信息学报, 2018, 40(9): 2198–2205. doi: 10.11999/JEIT171236

    ZHOU Chang, TANG Ziyue, ZHU Zhenbo, et al. Anti-interrupted sampling repeater jamming waveform design method[J]. Journal of Electronics &Information Technology, 2018, 40(9): 2198–2205. doi: 10.11999/JEIT171236
    [136] 全英汇, 方文, 沙明辉, 等. 频率捷变雷达波形对抗技术现状与展望[J]. 系统工程与电子技术, 2021, 43(11): 3126–3136. doi: 10.12305/j.issn.1001-506X.2021.11.11

    QUAN Yinghui, FANG Wen, SHA Minghui, et al. Present situation and prospects of frequency agility radar wave form countermeasures[J]. Systems Engineering and Electronics, 2021, 43(11): 3126–3136. doi: 10.12305/j.issn.1001-506X.2021.11.11
    [137] 罗雪平, 曹运合, 胡奇, 等. SAR成像导引头干扰建模评估与仿真系统设计[J]. 系统仿真学报, 2021, 33(8): 1927–1937. doi: 10.16182/j.issn1004731x.joss.20-0240

    LUO Xueping, CAO Yunhe, HU Qi, et al. SAR imaging seeker interference modeling & evaluation and simulation system design[J]. Journal of System Simulation, 2021, 33(8): 1927–1937. doi: 10.16182/j.issn1004731x.joss.20-0240
  • 加载中
图(40)
计量
  • 文章访问数: 
  • HTML全文浏览量: 
  • PDF下载量: 
  • 被引次数: 0
出版历程
  • 收稿日期:  2022-06-21
  • 修回日期:  2022-12-17
  • 网络出版日期:  2022-12-25
  • 刊出日期:  2022-12-28

目录

    /

    返回文章
    返回