Volume 15 Issue 2
Apr.  2026
Turn off MathJax
Article Contents
CHE Jiaheng, YAN Qiushuang, FAN Chenqing, et al. Machine learning-based modeling of wind and wave responses in Sentinel-1 SAR Doppler shifts for ocean current retrieval[J]. Journal of Radars, 2026, 15(2): 759–778. doi: 10.12000/JR25099
Citation: CHE Jiaheng, YAN Qiushuang, FAN Chenqing, et al. Machine learning-based modeling of wind and wave responses in Sentinel-1 SAR Doppler shifts for ocean current retrieval[J]. Journal of Radars, 2026, 15(2): 759–778. doi: 10.12000/JR25099

Machine Learning-based Modeling of Wind and Wave Responses in Sentinel-1 SAR Doppler Shifts for Ocean Current Retrieval

DOI: 10.12000/JR25099 CSTR: 32380.14.JR25099
Funds:  The National Natural Science Foundation of China (42206178)
More Information
  • Corresponding author: YAN Qiushuang, yanqiushuang@upc.edu.cn
  • Received Date: 2025-05-29
  • Rev Recd Date: 2025-11-17
  • Available Online: 2025-11-29
  • Publish Date: 2026-01-05
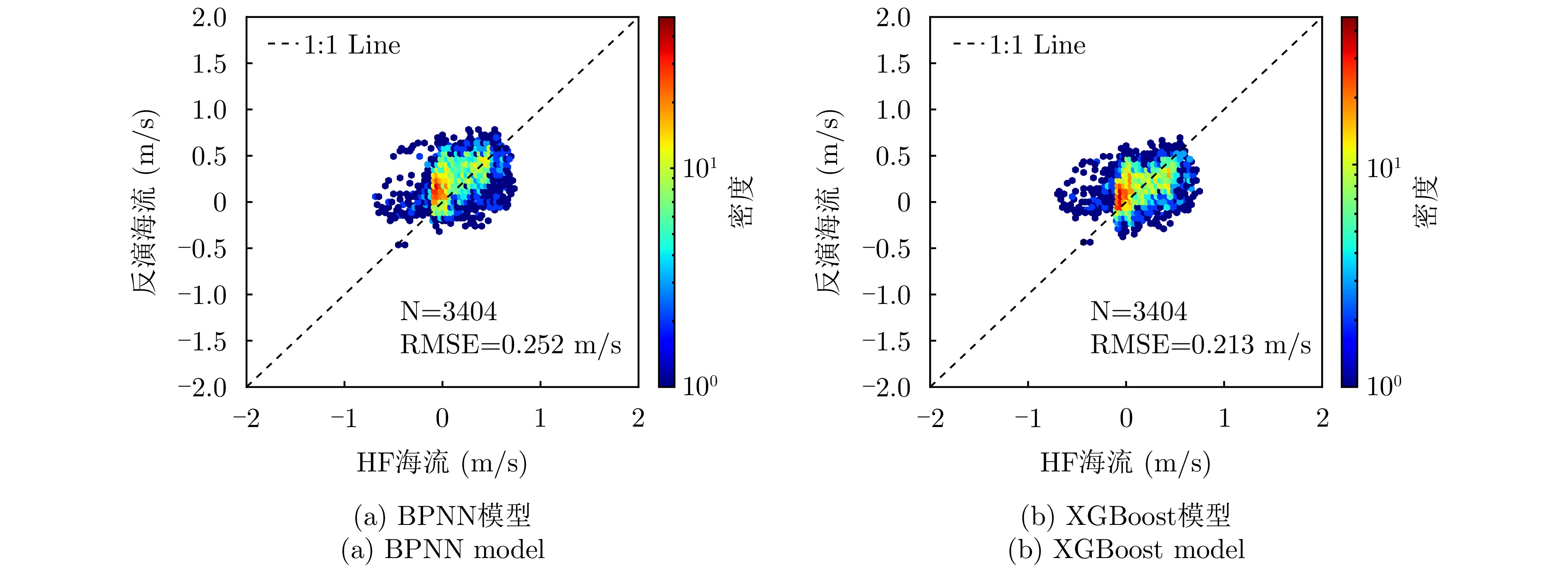
  • Ocean currents play a critical role in global climate regulation. Synthetic Aperture Radar (SAR) provides high-resolution observational support for ocean current detection by measuring Doppler shifts; however, SAR Doppler shifts contain multiple contributing components. To accurately retrieve ocean currents from these data, nongeophysical contributions must be precisely corrected, and wind- and wave-induced Doppler shifts must be accurately estimated. This paper proposes a machine learning-based method for modeling such shifts and retrieving ocean currents from Sentinel-1 SAR data. First, nongeophysical contributions in the SAR Doppler shift are precisely corrected to remove the effects unrelated to ocean motion. Second, BackproPagation Neural Network (BPNN) and eXtreme Gradient Boosting (XGBoost) models, optimized using the particle swarm optimization algorithm, are developed to describe the nonlinear relationship between the wind-wave Doppler shift and sea-surface wind-wave parameters derived from SAR data. Finally, the corrected Doppler shift is utilized to retrieve ocean surface current velocities. This paper comparatively evaluates the estimation accuracies of the wind-wave Doppler shifts obtained using the BPNN and XGBoost models, as well as the respective influence of each model's performance on the effectiveness of ocean current retrieval. Results indicate that the XGBoost model achieves superior estimation accuracy compared with the BPNN model. The Root Mean Square Error (RMSE) of the Doppler shift estimated by the XGBoost model is approximately 4.043 Hz, which is 2.898 Hz lower than that of the BPNN model. Compared with those of the HYCOM current data, the RMSE of the currents retrieved by the XGBoost model is about 0.202 m/s; this value is reduced by 0.122 m/s compared with that of the BPNN model. Validations against the current velocities detected by HF radar show that the RMSE of currents retrieved by the XGBoost model is 0.21 m/s, representing a 16% reduction compared with that of the BPNN model. These findings indicate that the proposed technical approach for ocean current retrieval using spaceborne SAR is highly accurate.

     

  • loading
  • [1]
    MOISEEV A, JOHNSEN H, HANSEN W M, et al. Evaluation of radial ocean surface currents derived from Sentinel-1 IW doppler shift using coastal radar and Lagrangian surface drifter observations[J]. Journal of Geophysical Research: Oceans, 2020, 125(4): e2019JC015743. doi: 10.1029/2019JC015743.
    [2]
    何宜军, 刘保昌, 张彪, 等. 海面流场卫星遥感方法综述[J]. 广西科学, 2015, 22(3): 294–300. doi: 10.13656/j.cnki.gxkx.2015.03.005.

    HE Yijun, LIU Baochang, ZHANG Biao, et al. Overview on satellite remote-sensing methods for sea-surface-current measurement[J]. Guangxi Sciences, 2015, 22(3): 294–300. doi: 10.13656/j.cnki.gxkx.2015.03.005.
    [3]
    POTIN P, ROSICH B, MIRANDA N, et al. Sentinel-1 mission status[C]. 2017 IEEE International Geoscience and Remote Sensing Symposium, Fort Worth, USA, 2017: 5525–5528. doi: 10.1109/IGARSS.2017.8128255.
    [4]
    ROMEISER R, UFERMANN S, and ALPERS W. Remote sensing of oceanic current features by synthetic aperture radar—achievements and perspectives[J]. Annales Des Télécommunications, 2001, 56(11): 661–671. doi: 10.1007/BF02995560.
    [5]
    CHAPRON B, COLLARD F, and ARDHUIN F. Direct measurements of ocean surface velocity from space: Interpretation and validation[J]. Journal of Geophysical Research: Oceans, 2005, 110(C7): C07008. doi: 10.1029/2004JC002809.
    [6]
    JOHANNESSEN J A, CHAPRON B, COLLARD F, et al. Direct ocean surface velocity measurements from space: Improved quantitative interpretation of Envisat ASAR observations[J]. Geophysical Research Letters, 2008, 35(22): L22608. doi: 10.1029/2008GL035709.
    [7]
    MOUCHE A A, COLLARD F, CHAPRON B, et al. On the use of Doppler shift for sea surface wind retrieval from SAR[J]. IEEE Transactions on Geoscience and Remote Sensing, 2012, 50(7): 2901–2909. doi: 10.1109/TGRS.2011.2174998.
    [8]
    HANSEN M, COLLARD F, DAGESTAD K, et al. Retrieval of sea surface range velocities from Envisat ASAR Doppler centroid measurements[J]. IEEE Transactions on Geoscience and Remote Sensing, 2011, 49(10): 3582–3592. doi: 10.1109/TGRS.2011.2153864.
    [9]
    ELYOUNCHA A, ERIKSSON L E B, JOHNSEN H, et al. Using Sentinel-1 ocean data for mapping sea surface currents along the southern Norwegian Coast[C]. IGARSS 2019 - 2019 IEEE International Geoscience and Remote Sensing Symposium, Yokohama, Japan, 2019: 8058–8061. doi: 10.1109/IGARSS.2019.8898468.
    [10]
    MOISEEV A, JOHANNESSEN J A, and JOHNSEN H. Towards retrieving reliable ocean surface currents in the coastal zone from the Sentinel-1 Doppler shift observations[J]. Journal of Geophysical Research: Oceans, 2022, 127(5): e2021JC018201. doi: 10.1029/2021JC018201.
    [11]
    YANG Zhonghao, LIU Lei, WANG Jing, et al. Extrapolation of electromagnetic pointing error corrections for Sentinel-1 Doppler currents from land areas to the open ocean[J]. Remote Sensing of Environment, 2023, 297: 113788. doi: 10.1016/j.rse.2023.113788.
    [12]
    JOHNSEN H, NILSEN V, ENGEN G, et al. Ocean Doppler anomaly and ocean surface current from Sentinel 1 tops mode[C]. 2016 IEEE International Geoscience and Remote Sensing Symposium (IGARSS), Beijing, China, 2016: 3993–3996. doi: 10.1109/IGARSS.2016.7730038.
    [13]
    MOISEEV A, JOHNSEN H, JOHANNESSEN J A, et al. On removal of sea state contribution to Sentinel-1 Doppler shift for retrieving reliable ocean surface current[J]. Journal of Geophysical Research: Oceans, 2020, 125(9): e2020JC016288. doi: 10.1029/2020JC016288.
    [14]
    YANG Zhonghao, WANG Jing, LIU Lei, et al. Estimating effects of wind and waves on the Doppler centroid frequency shift for the SAR retrieval of ocean currents[J]. Remote Sensing of Environment, 2024, 311: 114312. doi: 10.1016/j.rse.2024.114312.
    [15]
    SHAO Weizeng, ZHOU Yuhang, HU Yuyi, et al. Range current retrieval fromsentinel-1 SAR ocean product based on deep learning[J]. Remote Sensing Letters, 2024, 15(2): 145–156. doi: 10.1080/2150704X.2024.2305176.
    [16]
    FAN Shengren, KUDRYAVTSEV V, YUROVSKY Y, et al. Reconstructing ocean surface current vector field from SAR Doppler shift measurements[J]. Remote Sensing of Environment, 2025, 328: 114855. doi: 10.1016/j.rse.2025.114855.
    [17]
    CHEN Tianqi and GUESTRIN C. XGBoost: A scalable tree boosting system[C]. The 22nd ACM SIGKDD International Conference on Knowledge Discovery and Data Mining, San Francisco, USA, 2016: 785–794. doi: 10.1145/2939672.2939785.
    [18]
    BORISOV V, LEEMANN T, SEßLER K, et al. Deep neural networks and tabular data: A survey[J]. IEEE Transactions on Neural Networks and Learning Systems, 2024, 35(6): 7499–7519. doi: 10.1109/TNNLS.2022.3229161.
    [19]
    GRINSZTAJN L, OYALLON E, and VAROQUAUX G. Why do tree-based models still outperform deep learning on typical tabular data?[C]. The 36th International Conference on Neural Information Processing Systems, New Orleans, USA, 2022: 37. doi: 10.5555/3600270.3600307.
    [20]
    MURPHY D and JANZEN C. Advances in In-situ Ocean Measurements[M]. VENKATESAN R, TANDON A, D’ASARO E, et al. Observing the Oceans in Real Time. Cham: Springer, 2018: 141–162. doi: 10.1007/978-3-319-66493-4_8.
    [21]
    Copernicus. Sentiwiki: S-1mission[EB/OL]. 2023. https://sentiwiki.copernicus.eu/web/s1-mission.
    [22]
    DE ZAN F and MONTI GUARNIERI A. TOPSAR: Terrain observation by progressive scans[J]. IEEE Transactions on Geoscience and Remote Sensing, 2006, 44(9): 2352–2360. doi: 10.1109/TGRS.2006.873853.
    [23]
    Copernicus Marine Service. Product user manual for global ocean waves analysis and forecast[EB/OL]. CMEMS-GLO-PUM-001-032, 2023. https://documentation.marine.copernicus.eu/PUM/CMEMS-GLO-PUM-001-032.pdf.
    [24]
    LAW-CHUNE S, AOUF L, DALPHINET A, et al. WAVERYS: A CMEMS global wave reanalysis during the altimetry period[J]. Ocean Dynamics, 2021, 71(3): 357–378. doi: 10.1007/s10236-020-01433-w.
    [25]
    ZHANG Yixuan, YUE Songshan, XU Kai, et al. Performance analysis of global HYCOM flow field using Argo profiles[J]. International Journal of Digital Earth, 2023, 16(1): 3536–3559. doi: 10.1080/17538947.2023.2252407.
    [26]
    CHASSIGNET E P, HURLBURT H E, SMEDSTAD O M, et al. The HYCOM (HYbrid Coordinate Ocean Model) data assimilative system[J]. Journal of Marine Systems, 2007, 65(1/4): 60–83. doi: 10.1016/j.jmarsys.2005.09.016.
    [27]
    SAVAGE J A, TOKMAKIAN R T, and BATTEEN M L. Assessment of the HYCOM velocity fields during Agulhas Return Current Cruise 2012[J]. Journal of Operational Oceanography, 2015, 8(1): 11–24. doi: 10.1080/1755876X.2015.1014637.
    [28]
    KABIR A, LEMONGO-TCHAMBA I, and FERNANDEZ A. An assessment of available ocean current hydrokinetic energy near the North Carolina shore[J]. Renewable Energy, 2015, 80: 301–307. doi: 10.1016/j.renene.2015.02.011.
    [29]
    LUECKE C A, ARBIC B K, RICHMAN J G, et al. Statistical comparisons of temperature variance and kinetic energy in global ocean models and observations: Results from mesoscale to internal wave frequencies[J]. Journal of Geophysical Research: Oceans, 2020, 125(5): e2019JC015306. doi: 10.1029/2019JC015306.
    [30]
    WANG Haodi, CHEN Shiyao, WANG Ning, et al. Evaluation of multi-model current data in the East/Japan Sea[C]. 2020 IEEE 3rd International Conference on Information Communication and Signal Processing (ICICSP), Shanghai, China, 2020: 486–491. doi: 10.1109/ICICSP50920.2020.9232090.
    [31]
    HARLAN J, TERRILL E, HAZARD L, et al. The integrated ocean observing system HF radar network[C]. OCEANS 2015-MTS/IEEE Washington, Washington, USA, 2015: 1–4. doi: 10.23919/OCEANS.2015.7404587.
    [32]
    LORENTE P, SOTO-NAVARRO J, ALVAREZ FANJUL E, et al. Accuracy assessment of high frequency radar current measurements in the Strait of Gibraltar[J]. Journal of Operational Oceanography, 2014, 7(2): 59–73. doi: 10.1080/1755876X.2014.11020300.
    [33]
    KENNEDY J and EBERHART R. Particle swarm optimization[C]. ICNN’95 - International Conference on Neural Networks, Perth, Australia, 1995: 1942–1948. doi: 10.1109/ICNN.1995.488968.
    [34]
    MARCILIO W E and ELER D M. From explanations to feature selection: Assessing SHAP values as feature selection mechanism[C]. 2020 33rd SIBGRAPI Conference on Graphics, Patterns and Images (SIBGRAPI), Porto de Galinhas, Brazil, 2020: 340–347. doi: 10.1109/SIBGRAPI51738.2020.00053.
    [35]
    ANDRES M. Spatial and temporal variability of the gulf stream near cape Hatteras[J]. Journal of Geophysical Research: Oceans, 2021, 126(9): e2021JC017579. doi: 10.1029/2021JC017579.
  • 加载中

Catalog

    通讯作者: 陈斌, bchen63@163.com
    • 1. 

      沈阳化工大学材料科学与工程学院 沈阳 110142

    1. 本站搜索
    2. 百度学术搜索
    3. 万方数据库搜索
    4. CNKI搜索
    Article views(561) PDF downloads(131) Cited by()
    Proportional views
    Related

    /

    DownLoad:  Full-Size Img  PowerPoint