时域数字编码超表面电磁散射频谱特征调控机理

许恒 许红 全英汇 傅昊升 潘秦 陈展野 周小阳

许恒, 许红, 全英汇, 等. 时域数字编码超表面电磁散射频谱特征调控机理[J]. 雷达学报(中英文), 待出版. doi: 10.12000/JR26001
引用本文: 许恒, 许红, 全英汇, 等. 时域数字编码超表面电磁散射频谱特征调控机理[J]. 雷达学报(中英文), 待出版. doi: 10.12000/JR26001
XU Heng, XU Hong, QUAN Yinghui, et al. Spectral control mechanisms of electromagnetic scattering via time-domain digital coding metasurfaces[J]. Journal of Radars, in press. doi: 10.12000/JR26001
Citation: XU Heng, XU Hong, QUAN Yinghui, et al. Spectral control mechanisms of electromagnetic scattering via time-domain digital coding metasurfaces[J]. Journal of Radars, in press. doi: 10.12000/JR26001

时域数字编码超表面电磁散射频谱特征调控机理

DOI: 10.12000/JR26001 CSTR: 32380.14.JR26001
基金项目: 国家自然科学基金重点项目(62331019)
详细信息
    作者简介:

    许 恒,博士生,主要研究方向为电磁特征调控

    许 红,副教授,主要研究方向为电磁特征调控

    全英汇,教授,主要研究方向为智能感知和敏捷雷达

    傅昊升,博士,主要研究方向为信息超表面设计与雷达成像

    潘 秦,博士生,主要研究方向为电磁特征调控

    陈展野,副教授,主要研究方向为新型电磁调控系统信息处理

    周小阳,教授,主要研究方向为超大规模复杂电磁仿真计算

    通讯作者:

    许红 xuhong@xidian.edu.cn

    全英汇 yhquan@mail.xidian.edu.cn

    责任主编:程强 Corresponding Editor: CHENG Qiang

  • 中图分类号: TN957.52

Spectral Control Mechanisms of Electromagnetic Scattering via Time-domain Digital Coding Metasurfaces

Funds: The National Natural Science Foundation of China (62331019)
More Information
  • 摘要: 时域数字编码超表面通过对单元散射状态进行时域编码调制,可实现电磁散射频谱重构。该文研究有限时窗离散编码条件下随机和周期两类典型调制方式的散射频谱特性。对于随机调制,推导了平均能量谱相干项与背景项分解的解析形式,阐明了编码统计矩对零频分量抑制与谱展宽的影响。对于周期调制,给出了调制模板傅里叶系数与各阶谐波能量分配之间的映射关系,揭示了谐波能量重构机理。进一步结合超表面单元全波仿真参数,讨论了非理想条件下散射频谱调控性能的变化。

     

  • 图  1  随机调制平均能量谱的相干项与背景项转化示意图

    Figure  1.  Schematic illustration of the coherent and background components in the average energy spectrum under random modulation

    图  2  周期调制频谱层次结构示意图

    Figure  2.  Schematic illustration of the hierarchical spectral structure under periodic modulation

    图  3  1-bit随机幅度调制和1-bit随机相位调制下调制函数平均能量谱

    Figure  3.  Average energy spectrum of the modulation function under 1-bit random amplitude modulation and 1-bit random phase modulation

    图  4  1-bit和2-bit随机幅度调制下调制函数平均能量谱

    Figure  4.  Average energy spectrum of the modulation function under 1-bit and 2-bit random amplitude modulation

    图  5  1-bit和2-bit周期调制下调制函数平均能量谱

    Figure  5.  Average energy spectrum of the modulation function under 1-bit and 2-bit periodic modulation

    图  6  1-bit非理想随机相位调制下的平均能量谱分解

    Figure  6.  Decomposition of the average energy spectrum under 1-bit nonideal random phase modulation

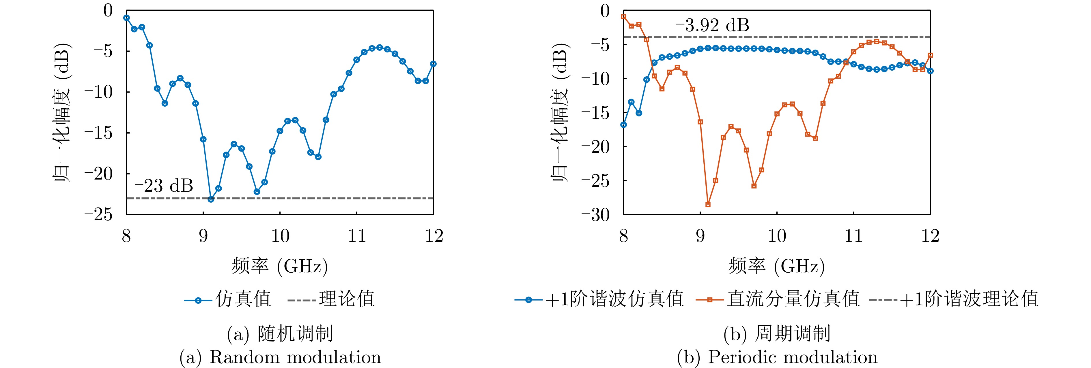
    图  7  2-bit非理想周期相位调制下的平均谱能量分解

    Figure  7.  Comparison of simulated and theoretical average spectral energy under 2-bit nonideal periodic phase modulation

    图  8  超表面单元结构及等效电路图

    Figure  8.  Structure and equivalent circuit of the 1-bit phase-modulated metasurface unit

    图  9  超表面单元状态参数

    Figure  9.  State parameters of the metasurface unit

    图  10  基于全波参数的散射频谱调控性能

    Figure  10.  Scattering-spectrum control performance based on full-wave parameters

  • [1] CUI Tiejun, QI Meiqing, WAN Xiang, et al. Coding metamaterials, digital metamaterials and programmable metamaterials[J]. Light: Science & Applications, 2014, 3(10): e218. doi: 10.1038/lsa.2014.99.
    [2] 蒋卫祥, 田翰闱, 宋超, 等. 数字编码超表面: 迈向电磁功能的可编程与智能调控[J]. 雷达学报, 2022, 11(6): 1003–1019. doi: 10.12000/JR22167.

    JIANG Weixiang, TIAN Hanwei, SONG Chao, et al. Digital coding metasurfaces: Toward programmable and smart manipulations of electromagnetic functions[J]. Journal of Radars, 2022, 11(6): 1003–1019. doi: 10.12000/JR22167.
    [3] 戴俊彦. 时域超表面理论研究与应用[D]. [博士论文], 东南大学, 2019. doi: 10.27014/d.cnki.gdnau.2019.004066.

    DAI Junyan. Research and application of time-domain metasurface[D]. [Ph.D. dissertation], Southeast University, 2019. doi: 10.27014/d.cnki.gdnau.2019.004066.
    [4] ZHANG Lei, CHEN Xiaoqing, LIU Shuo, et al. Space-time-coding digital metasurfaces[J]. Nature Communications, 2018, 9(1): 4334. doi: 10.1038/s41467-018-06802-0.
    [5] TANG Wankai, LI Xiang, DAI Junyan, et al. Wireless communications with programmable metasurface: Transceiver design and experimental results[J]. China Communications, 2019, 16(5): 46–61. doi: 10.23919/j.cc.2019.05.004.
    [6] ATALOGLOU V G, TARAVATI S, and ELEFTHERIADES G V. Metasurfaces: Physics and applications in wireless communications[J]. National Science Review, 2023, 10(8): nwad164. doi: 10.1093/nsr/nwad164.
    [7] BAO Lei, WU Ruiyuan, FU Xiaojian, et al. Multi-beam forming and controls by metasurface with phase and amplitude modulations[J]. IEEE Transactions on Antennas and Propagation, 2019, 67(10): 6680–6685. doi: 10.1109/TAP.2019.2925289.
    [8] LI Haipeng, WANG Guangming, CAI Tong, et al. Wideband transparent beam-forming metadevice with amplitude- and phase-controlled metasurface[J]. Physical Review Applied, 2019, 11(1): 014043. doi: 10.1103/PhysRevApplied.11.014043.
    [9] LIU Zhuoyang, ZHANG Haiyang, HUANG Tianyao, et al. Hybrid RIS-assisted MIMO dual-function radar-communication system[J]. IEEE Transactions on Signal Processing, 2024, 72: 1650–1665. doi: 10.1109/TSP.2024.3371193.
    [10] LIU Mingkai, KOZYREV A B, and SHADRIVOV I V. Time-varying metasurfaces for broadband spectral camouflage[J]. Physical Review Applied, 2019, 12(5): 054052. doi: 10.1103/PhysRevApplied.12.054052.
    [11] WANG Xiaoyi and CALOZ C. Spread-spectrum selective camouflaging based on time-modulated metasurface[J]. IEEE Transactions on Antennas and Propagation, 2021, 69(1): 286–295. doi: 10.1109/TAP.2020.3008621.
    [12] WANG Xiaoyi and CALOZ C. Pseudorandom sequence (space-) time-modulated metasurfaces: Principles, operations, and applications[J]. IEEE Antennas and Propagation Magazine, 2022, 64(4): 135–144. doi: 10.1109/MAP.2022.3169387.
    [13] WANG Xiaoyi, TONG Meisong, and ZHAO Lei. Pseudorandom noise sequence time-modulated reflective metasurfaces for target recognition[J]. IEEE Transactions on Microwave Theory and Techniques, 2023, 71(8): 3446–3454. doi: 10.1109/TMTT.2023.3276050.
    [14] 周群焰, 王思然, 戴俊彦, 等. 基于时空编码数字超表面的雷达散射截面积缩减及波达角估计方法[J]. 雷达学报(中英文), 2024, 13(1): 150–159. doi: 10.12000/JR23216.

    ZHOU Qunyan, WANG Siran, DAI Junyan, et al. Simultaneous direction of arrival estimation and radar cross-section reduction based on space-time-coding digital metasurfaces[J]. Journal of Radars, 2024, 13(1): 150–159. doi: 10.12000/JR23216.
    [15] WANG Junjie, FENG Dejun, XU Letao, et al. Synthetic aperture radar target feature modulation using active frequency selective surface[J]. IEEE Sensors Journal, 2019, 19(6): 2113–2125. doi: 10.1109/JSEN.2018.2886013.
    [16] WANG Junjie, FENG Dejun, XU Letao, et al. Synthetic aperture radar image modulation using phase-switched screen[J]. IEEE Antennas and Wireless Propagation Letters, 2018, 17(5): 911–915. doi: 10.1109/LAWP.2018.2823079.
    [17] LI Shiyuan, WANG Jianyang, FANG Xinyu, et al. Jamming of ISAR imaging with time-modulated metasurface partially covered on targets[J]. IEEE Antennas and Wireless Propagation Letters, 2023, 22(2): 372–376. doi: 10.1109/LAWP.2022.3212923.
    [18] LIU Xiaobin, WU Qihua, PAN Xiaoyi, et al. SAR image transform based on amplitude and frequency shifting joint modulation[J]. IEEE Sensors Journal, 2025, 25(4): 7043–7052. doi: 10.1109/JSEN.2025.3526608.
    [19] PAN Qin, XU Hong, XU Heng, et al. Quantitative analysis of metasurface with random phase modulation on complex HRRP: A statistical perspective[J]. IEEE Transactions on Microwave Theory and Techniques, 2025, 73(10): 8118–8135. doi: 10.1109/TMTT.2025.3572203.
    [20] XIAO Guoyao, LIU Yujie, XU Hong, et al. Theoretical analysis of random phase modulation effects on radar pulse compression by the time-modulated metasurface[J]. IEEE Transactions on Microwave Theory and Techniques, 2025, 73(8): 5443–5456. doi: 10.1109/TMTT.2025.3539663.
    [21] WANG Ruijun, HE Sisan, SUI Sai, et al. Radar shielding jamming method based on random phase modulation of digital coding metasurface[J]. Journal of Electromagnetic Waves and Applications, 2024, 38(17): 1901–1920. doi: 10.1080/09205071.2024.2405674.
    [22] DAI Junyan, ZHAO Jie, CHENG Qiang, et al. Independent control of harmonic amplitudes and phases via a time-domain digital coding metasurface[J]. Light: Science & Applications, 2018, 7(1): 90. doi: 10.1038/s41377-018-0092-z.
    [23] ZHANG Lei and CUI Tiejun. Space-time-coding digital metasurfaces: Principles and applications[J]. Research, 2021, 2021: 9802673. doi: 10.34133/2021/9802673.
    [24] ZHAO Jie, YANG Xi, DAI Junyan, et al. Programmable time-domain digital-coding metasurface for non-linear harmonic manipulation and new wireless communication systems[J]. National Science Review, 2019, 6(2): 231–238. doi: 10.1093/nsr/nwy135.
    [25] KE Junchen, DAI Junyan, ZHANG Junwei, et al. Frequency-modulated continuous waves controlled by space-time-coding metasurface with nonlinearly periodic phases[J]. Light: Science & Applications, 2022, 11(1): 273. doi: 10.1038/s41377-022-00973-8.
    [26] WANG Junjie, FENG Dejun, XU Zhiming, et al. Time-domain digital-coding active frequency selective surface absorber/reflector and its imaging characteristics[J]. IEEE Transactions on Antennas and Propagation, 2021, 69(6): 3322–3331. doi: 10.1109/TAP.2020.3037757.
    [27] ZHU Yonggeng, FANG Xinyu, LI Mengmeng, et al. Time-frequency-modulated metasurface for false target generation in symmetrical triangular LFM continuous-wave radars[J]. IEEE Transactions on Microwave Theory and Techniques, 2025, 73(5): 2531–2543. doi: 10.1109/TMTT.2024.3473317.
    [28] FANG Xinyu, LI Mengmeng, LI Shiyuan, et al. Diverse frequency time modulation for passive false target spoofing: Design and experiment[J]. IEEE Transactions on Microwave Theory and Techniques, 2024, 72(3): 1932–1942. doi: 10.1109/TMTT.2023.3305187.
    [29] LIU Sijia, WANG Junjie, MA Yan, et al. Radar target HRRP modulation utilizing multifrequency time-varying metasurface[J]. IEEE Transactions on Microwave Theory and Techniques, 2025, 73(11): 9495–9508. doi: 10.1109/TMTT.2025.3599505.
  • 加载中
图(10)
计量
  • 文章访问数: 
  • HTML全文浏览量: 
  • PDF下载量: 
  • 被引次数: 0
出版历程
  • 收稿日期:  2026-01-04
  • 修回日期:  2026-04-17
  • 网络出版日期:  2026-05-14

目录

    /

    返回文章
    返回