基于一种半经验双基杂波散射系数模型的星载双基雷达杂波抑制性能分析

陆晴 邹子豪 黄鹏辉 陈筠力 席沛丽 刘艳阳 万向成 张双喜

陆晴, 邹子豪, 黄鹏辉, 等. 基于一种半经验双基杂波散射系数模型的星载双基雷达杂波抑制性能分析[J]. 雷达学报(中英文), 2025, 14(5): 1215–1229. doi: 10.12000/JR25059
引用本文: 陆晴, 邹子豪, 黄鹏辉, 等. 基于一种半经验双基杂波散射系数模型的星载双基雷达杂波抑制性能分析[J]. 雷达学报(中英文), 2025, 14(5): 1215–1229. doi: 10.12000/JR25059
LU Qing, ZOU Zihao, HUANG Penghui, et al. Clutter suppression performance analysis of spaceborne bistatic radar systems based on a semiempirical bistatic clutter scattering coefficient model[J]. Journal of Radars, 2025, 14(5): 1215–1229. doi: 10.12000/JR25059
Citation: LU Qing, ZOU Zihao, HUANG Penghui, et al. Clutter suppression performance analysis of spaceborne bistatic radar systems based on a semiempirical bistatic clutter scattering coefficient model[J]. Journal of Radars, 2025, 14(5): 1215–1229. doi: 10.12000/JR25059

基于一种半经验双基杂波散射系数模型的星载双基雷达杂波抑制性能分析

DOI: 10.12000/JR25059 CSTR: 32380.14.JR25059
基金项目: 国家自然科学基金(62271406)
详细信息
    作者简介:

    陆 晴,博士生,主要研究方向为星载雷达系统设计及其应用等

    邹子豪,博士生,主要研究方向为星载单基地/多基地雷达信号建模、空-时自适应处理等

    黄鹏辉,副教授,博士生导师,主要研究方向为星载单基地/分布式/多基地雷达SAR-GMTI和AMTI信号处理、空-时自适应处理、海杂波建模与抑制、弱小目标积累检测与跟踪、星载SAR/HRWS-SAR/ISAR成像等

    陈筠力,研究员,主要研究方向为微波遥感卫星总体设计

    席沛丽,研究员,主要研究方向为微波遥感卫星总体设计

    刘艳阳,研究员,主要研究方向为微波遥感卫星总体设计

    万向成,研究员,主要研究方向为微波遥感卫星总体设计

    张双喜,副教授,主要研究方向为SAR成像及动目标检测、干扰抑制、电磁散射建模等

    通讯作者:

    陆晴 luqingNWPU@163.com

    邹子豪 zouzihao@sjtu.edu.cn

    责任主编:李中余 Corresponding Editor: LI Zhongyu

  • 中图分类号: TN957.51

Clutter Suppression Performance Analysis of Spaceborne Bistatic Radar Systems Based on a Semiempirical Bistatic Clutter Scattering Coefficient Model

Funds: The National Natural Science Foundation of China (62271406)
More Information
  • 摘要: 针对传统星载单基雷达系统弱小动目标检测工程实现代价大以及抗干扰能力差等问题,星载双基雷达系统利用收发分置特点,通过大方位双基角观测构型有效提高目标的雷达散射截面积,同时有效提升处于“静默”状态的接收机抗干扰能力。然而,相比于星载单基雷达系统,星载双基雷达系统的收发分置构型将导致背景杂波回波特性呈现明显的差异。针对传统经验杂波散射系数模型难以体现散射系数随方位双基角的变化趋势这一问题,该文提出一种基于双尺度模型的半经验双基杂波散射系数模型。所提模型基于电磁散射理论将经验单基后向散射系数模型转换成双基散射系数模型,并基于双尺度模型对散射系数进行修正。该文通过现有文献中的双基杂波散射系数实测结果对所提模型的准确性进行了验证。基于所提双基杂波散射系数模型,该文通过空-时自适应处理杂波抑制方法对不同方位双基角下星载双基雷达的杂波抑制性能进行了仿真分析。根据仿真结果可知,在HH极化下,当方位双基角在30°~130°时,杂波抑制性能相对较好,当方位双基角达到150°以上时,主瓣杂波能量显著增强,使得杂波抑制性能受到明显影响。

     

  • 图  1  双基杂波散射示意图

    Figure  1.  Diagram of bistatic clutter scattering

    图  2  局部擦地角和局部方位双基角示意图

    Figure  2.  Diagram of local grazing angles and local azimuth bistatic angle

    图  3  倾角的概率密度函数

    Figure  3.  Probability density function of inclination angle

    图  4  倾斜方向角的概率密度函数

    Figure  4.  Probability density function of inclination direction angle

    图  5  半经验双基杂波散射系数模型计算流程图

    Figure  5.  Flow chart of the calculation of the semiempirical bistatic clutter scattering coefficient model

    图  6  5级海况海杂波双基散射系数随方位双基角变化曲线

    Figure  6.  Bistatic scattering coefficient curves of level-5 sea clutter varying with azimuth bistatic angle

    图  7  所提模型、双基Gamma模型与实测数据对比结果(实测数据来自Larson等人[23])

    Figure  7.  Comparison of the proposed model, the bistatic Gamma model, and real measured data (real measured data are from Larso et al.[23])

    图  8  所提模型、双基Gamma模型与实测数据对比结果(实测数据来自Ulaby等人[24])

    Figure  8.  Comparison of the proposed model, the bistatic Gamma model, and real measured data (real measured data are from Ulaby et al.[24])

    图  9  所提模型、双基Gamma模型与实测数据对比结果(实测数据来自Cost[25])

    Figure  9.  Comparison of the proposed model, the bistatic Gamma model, and real measured data (real measured data are from Cost[25])

    图  10  所提模型、Al-Ashwal等人提出的模型与实测数据对比结果(实测数据来自Domville等人[26])

    Figure  10.  Comparison of the proposed model, the model proposed by Al-Ashwal et al., and real measured data (real measured data are from Domville[26])

    图  11  极低擦地角下所提模型与实测数据对比结果(实测数据来自Ewell[27])

    Figure  11.  Comparison of the proposed model and real measured data under extremely low grazing angle (real measured data are from Ewell[27])

    图  12  不同星载双基构型下的丘陵杂波距离-多普勒谱

    Figure  12.  Range-Doppler spectrums of hill clutter under different bistatic configurations

    图  13  不同星载双基构型下的丘陵杂波抑制后距离-多普勒谱

    Figure  13.  Range-Doppler spectrums of hill clutter after suppression under different bistatic configurations

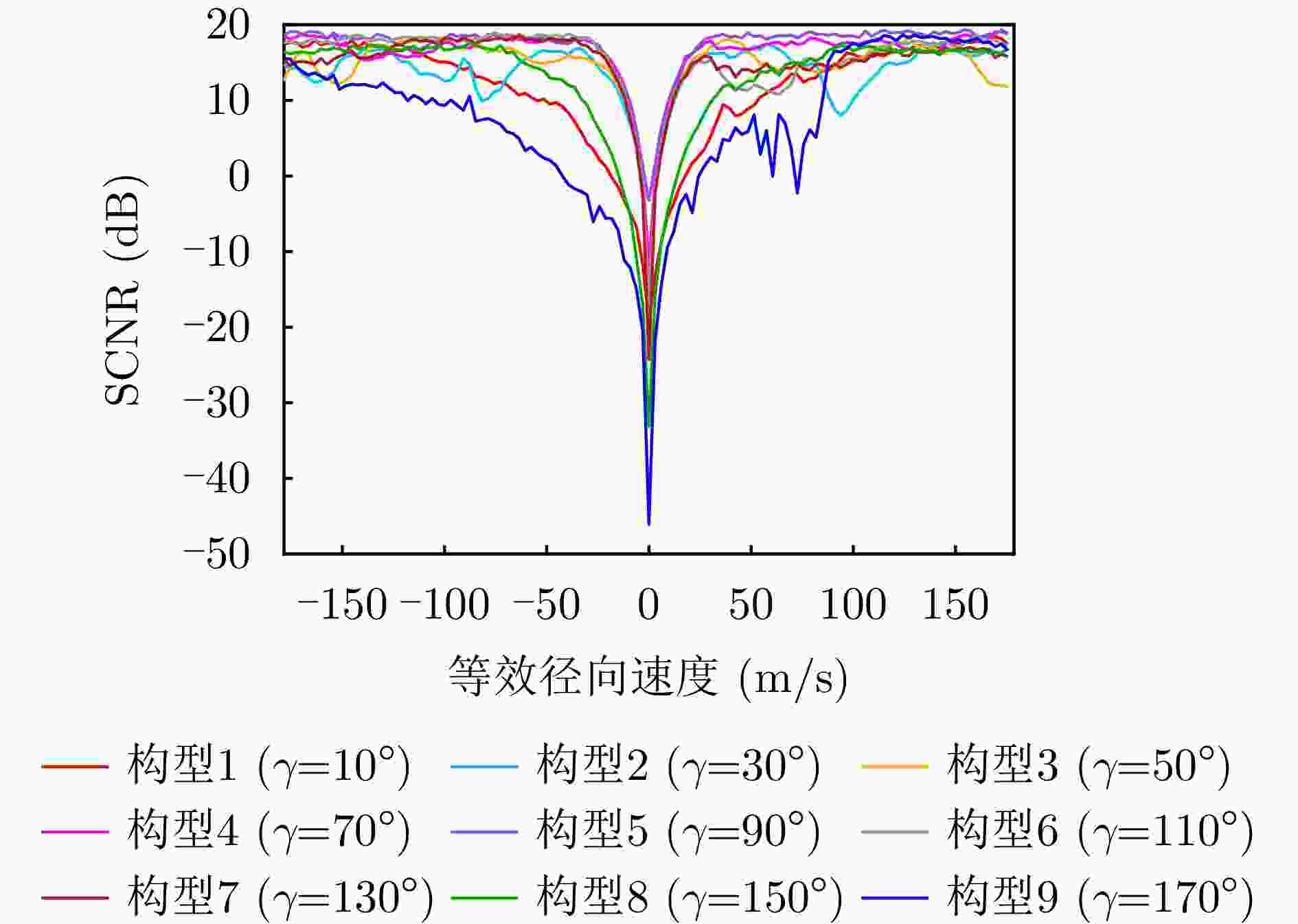
    图  14  不同星载双基构型下的目标输出SCNR曲线(丘陵杂波)

    Figure  14.  Target output SCNR curves under different bistatic configurations (hill clutter)

    图  15  不同星载双基构型下的5级海况海杂波距离-多普勒谱

    Figure  15.  Range-Doppler spectrums of 5-level sea clutter under different bistatic configurations

    图  16  不同星载双基构型下的5级海况海杂波抑制后距离-多普勒谱

    Figure  16.  Range-Doppler spectrums of 5-level sea clutter after suppression under different bistatic configurations

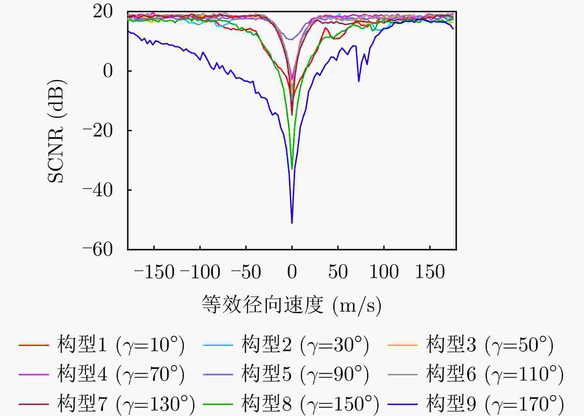
    图  17  不同星载双基构型下的目标输出SCNR曲线(5级海况海杂波)

    Figure  17.  Target output SCNR curves under different bistatic configurations (5-level sea clutter)

    表  1  雷达系统参数

    Table  1.   Radar system parameters

    参数 数值/指标
    雷达载频 1.26 GHz
    极化方式 HH
    信号带宽 3 MHz
    采样频率 3.6 MHz
    平均发射功率 4 kW
    脉冲重复频率 3000 Hz
    积累时间内脉冲数 120
    方位接收通道数 32
    俯仰接收通道数 6
    发射天线安装倾角 45°
    接收天线安装倾角 45°
    发射天线方位维/俯仰维尺寸 50 m/2 m
    接收天线方位维/俯仰维尺寸 50 m/2 m
    发射天线方位维/俯仰维加权 –13 dB/–13 dB(等幅加权)
    接收天线方位维/俯仰维加权 –40 dB/–20 dB(切比雪夫加权)
    发射天线幅度误差 0.5 dB
    发射天线相位误差
    接收天线幅度误差 0.5 dB
    接收天线相位误差
    噪声系数 2 dB
    系统损耗 8 dB
    下载: 导出CSV

    表  2  发射卫星轨道参数与波束角度

    Table  2.   Orbital parameters and beam angles of transmitter

    参数数值
    发射卫星轨道高度508 km
    发射卫星轨道倾角90°
    发射卫星轨道升交点赤经9.24°
    发射卫星轨道近地点辐角
    发射卫星真近点角
    发射波束中心下视角60°
    发射波束中心方位角90°
    下载: 导出CSV

    表  3  接收卫星轨道参数与波束角度

    Table  3.   Orbital parameters and beam angles of receiver

    参数 构型1 构型2 构型3 构型4 构型5 构型6 构型7 构型8 构型9
    接收卫星轨道高度(km) 508 508 508 508 508 508 508 508 508
    接收卫星轨道倾角(°) 99.87 119.57 139.12 158.05 170.76 158.05 139.12 119.57 99.87
    接收卫星轨道升交点赤经(°) 9.38 10.64 14.20 25.44 90.00 154.56 165.80 169.36 170.62
    接收卫星轨道近地点辐角(°) 0 0 0 0 0 0 0 0 0
    接收卫星真近点角(°) 1.62 5.30 10.83 23.81 90.00 156.19 169.17 174.70 178.38
    接收波束中心下视角(°) 60 60 60 60 60 60 60 60 60
    接收波束中心方位角(°) 90 90 90 90 90 90 90 90 90
    波束中心方位双基角(°) 10 30 50 70 90 110 130 150 170
    下载: 导出CSV

    表  4  不同星载双基构型下的目标MDV (丘陵杂波)

    Table  4.   Target MDVs under different bistatic configurations (hill clutter)

    构型 目标MDV (m/s)
    构型1 (γ=10°) 66.6
    构型2 (γ=30°) 18.2
    构型3 (γ=50°) 15.1
    构型4 (γ=70°) 15.1
    构型5 (γ=90°) 15.1
    构型6 (γ=110°) 15.1
    构型7 (γ=130°) 15.1
    构型8 (γ=150°) 39.3
    构型9 (γ=170°) 87.8
    下载: 导出CSV

    表  5  不同星载双基构型下的目标MDV (5级海况海杂波)

    Table  5.   Target MDVs under different bistatic configurations (5-level sea clutter)

    构型 目标MDV (m/s)
    构型1 (γ=10°) 33.3
    构型2 (γ=30°) 15.1
    构型3 (γ=50°) 15.1
    构型4 (γ=70°) 12.1
    构型5 (γ=90°) 6.1
    构型6 (γ=110°) 12.1
    构型7 (γ=130°) 15.1
    构型8 (γ=150°) 39.3
    构型9 (γ=170°) 93.8
    下载: 导出CSV
  • [1] ROSEN P A and DAVIS M E. A joint space-borne radar technology demonstration mission for NASA and the air force[C]. 2020 IEEE Aerospace Conference Proceedings (Cat. No.03TH8652), Big Sky, USA, 2003: 437–444. doi: 10.1109/AERO.2003.1235073.
    [2] FIEDLER S and PREISS B. Geosynchronous space based radar concept development for theater surveillance[C]. 1996 IEEE Aerospace Applications Conference. Proceedings, Aspen, USA, 1996: 77–90. doi: 10.1109/AERO.1996.499404.
    [3] 王增福, 杨广宇, 金术玲. 考虑综合性能最优的非短视快速天基雷达多目标跟踪资源调度算法[J]. 雷达学报(中英文), 2024, 13(1): 253–269. doi: 10.12000/JR23162.

    WANG Zengfu, YANG Guangyu, and JIN Shuling. A non-myopic and fast resource scheduling algorithm for multi-target tracking of space-based radar considering optimal integrated performance[J]. Journal of Radars, 2024, 13(1): 253–269. doi: 10.12000/JR23162.
    [4] ZOU Zihao, MA Jingtao, HUANG Penghui, et al. Multichannel sea clutter modeling and clutter suppression performance analysis for spaceborne bistatic surveillance radar systems[J]. IEEE Transactions on Geoscience and Remote Sensing, 2024, 62: 5108424. doi: 10.1109/TGRS.2024.3424562.
    [5] WANG Jianbo, YE Jianyu, WU Xiaoliang, et al. RCS statistical modeling of stealth targets based on fractional-order Legendre polynomials[J]. IEEE Transactions on Aerospace and Electronic Systems, 2023, 59(6): 9807–9820. doi: 10.1109/TAES.2023.3309613.
    [6] ZHU Lei, LIANG Xiaolong, LI Jiong, et al. Simulation analysis on static scattering characteristics of stealth aircraft[C]. 2016 IEEE Advanced Information Management, Communicates, Electronic and Automation Control Conference, Xi’an, China, 2016: 1774–1778. doi: 10.1109/IMCEC.2016.7867524.
    [7] GUTTRICH G L, SIEVERS W E, and TOMLJANOVICH N M. Wide area surveillance concepts based on geosynchronous illumination and bistatic unmanned airborne vehicles or satellite reception[C]. 1997 IEEE National Radar Conference, Syracuse, USA, 1997: 126–131. doi: 10.1109/NRC.1997.588225.
    [8] BARTON D K. Land clutter models for radar design and analysis[J]. Proceedings of the IEEE, 1985, 73(2): 198–204. doi: 10.1109/PROC.1985.13133.
    [9] MORCHIN W C. Airborne Early Warning Radar[M]. Norwood, USA: Artech House, 1990: 147–153.
    [10] HORST M M, DYER F B, and TULEY M T. Radar sea clutter model[C]. International IEEE AP/S URSI Symposium, Washington, USA, 1978: 6–10.
    [11] ANTIPOV I. Simulation of sea clutter returns[R]. DSTO-TR-0679, 1998.
    [12] REILLY J P and DOCKERY G D. Influence of evaporation ducts on radar sea return[J]. IEE Proceedings F—Radar and Signal Processing, 1990, 137(2): 80–88. doi: 10.1049/ip-f-2.1990.0012.
    [13] GREGERS-HANSEN V and MITAL R. An improved empirical model for radar sea clutter reflectivity[J]. IEEE Transactions on Aerospace and Electronic Systems, 2012, 48(4): 3512–3524. doi: 10.1109/TAES.2012.6324732.
    [14] WILLIS N J. Bistatic Radar[M]. 2nd ed. Raleigh, USA: SciTech, 2005: 157–171.
    [15] AL-ASHWAL W A, GRIFFITHS H D, and WOODBRIDGE K. An empirical model for bistatic sea clutter normalised radar cross section[C]. IET International Conference on Radar Systems, Glasgow, UK, 2012: 1–5. doi: 10.1049/cp.2012.1672.
    [16] GRIFFITHS H D, AL-ASHWAL W A, WARD K D, et al. Measurement and modelling of bistatic radar sea clutter[J]. IET Radar, Sonar & Navigation, 2010, 4(2): 280–292. doi: 10.1049/iet-rsn.2009.0124.
    [17] 谢文冲, 段克清, 王永良. 机载雷达空时自适应处理技术研究综述[J]. 雷达学报, 2017, 6(6): 575–586. doi: 10.12000/JR17073.

    XIE Wenchong, DUAN Keqing, and WANG Yongliang. Space time adaptive processing technique for airborne radar: An overview of its development and prospects[J]. Journal of Radars, 2017, 6(6): 575–586. doi: 10.12000/JR17073.
    [18] JOHNSON J T, BAKER C J, SMITH G E, et al. The monostatic-bistatic equivalence theorem and bistatic radar clutter[C]. 2014 11th European Radar Conference, Rome, Italy, 2014: 105–108. doi: 10.1109/EuRAD.2014.6991218.
    [19] JOHNSON J T and OUELLETTE J D. Polarization features in bistatic scattering from rough surfaces[J]. IEEE Transactions on Geoscience and Remote Sensing, 2014, 52(3): 1616–1626. doi: 10.1109/TGRS.2013.2252909.
    [20] SKOLNIK M I. Radar Handbook[M]. 3rd ed. New York, USA: McGraw-Hill, 2008: 15.30–15.32.
    [21] PIERSON W J and MOSKOWITZ L. A proposed spectral form for fully developed wind seas based on the similarity theory of S. A. Kitaigorodskii[J]. Journal of Geophysical Research, 1964, 69(24): 5181–5190. doi: 10.1029/JZ069i024p05181.
    [22] CHASE J, COTE L J, MARKS W, et al. The directional spectrum of a wind generated sea as determined from data obtained by the Stereo Wave Observation Project[R]. 1957.
    [23] LARSON R W, MAFFETT A L, HEIMILLER R C, et al. Bistatic clutter measurements[J]. IEEE Transactions on Antennas and Propagation, 1978, 26(6): 801–804. doi: 10.1109/TAP.1978.1141947.
    [24] ULABY F T, VAN DEVENTER T E, EAST J R, et al. Millimeter-wave bistatic scattering from ground and vegetation targets[J]. IEEE Transactions on Geoscience and Remote Sensing, 1988, 26(3): 229–243. doi: 10.1109/36.3026.
    [25] COST S T. Measurements of the bistatic echo area of terrain at X-band[R]. 1965.
    [26] DOMVILLE A R. The bistatic reflection from land and sea of X-band radio waves[R]. 1967.
    [27] EWELL G W. Bistatic Radar Cross Section Measurements[M]. CURRIE N C. Techniques of Radar Reflectivity Measurement. Dedham, USA: Artech House, 1984: Chapter 7.
    [28] HALE T B, TEMPLE M A, RAQUET J F, et al. Localized three-dimensional adaptive spatial-temporal processing for airborne radar[C]. RADAR 2002, Edinburgh, UK, 2002: 191–195. doi: 10.1109/RADAR.2002.1174680.
    [29] 段克清, 李雨凡, 杨兴家, 等. 天基预警雷达低自由度STAP方法研究[J]. 雷达学报, 2022, 11(5): 871–883. doi: 10.12000/JR22075.

    DUAN Keqing, LI Yufan, YANG Xingjia, et al. Reduced degrees of freedom in space-time adaptive processing for space-based early warning radar[J]. Journal of Radars, 2022, 11(5): 871–883. doi: 10.12000/JR22075.
  • 加载中
图(17) / 表(5)
计量
  • 文章访问数: 
  • HTML全文浏览量: 
  • PDF下载量: 
  • 被引次数: 0
出版历程
  • 收稿日期:  2025-03-31
  • 修回日期:  2025-05-26
  • 网络出版日期:  2025-07-01
  • 刊出日期:  2025-10-28

目录

    /

    返回文章
    返回