面向分布式雷达目标识别的角度匹配波形与分类器联合优化

王佳行 梁军利 朱文韬 陈梓浩 顾铭

王佳行, 梁军利, 朱文韬, 等. 面向分布式雷达目标识别的角度匹配波形与分类器联合优化[J]. 雷达学报(中英文), 待出版. doi: 10.12000/JR25280
引用本文: 王佳行, 梁军利, 朱文韬, 等. 面向分布式雷达目标识别的角度匹配波形与分类器联合优化[J]. 雷达学报(中英文), 待出版. doi: 10.12000/JR25280
WANG Jiahang, LIANG Junli, ZHU Wentao, et al. Aspect-matched waveform-classifier joint optimization for distributed radar target recognition[J]. Journal of Radars, in press. doi: 10.12000/JR25280
Citation: WANG Jiahang, LIANG Junli, ZHU Wentao, et al. Aspect-matched waveform-classifier joint optimization for distributed radar target recognition[J]. Journal of Radars, in press. doi: 10.12000/JR25280

面向分布式雷达目标识别的角度匹配波形与分类器联合优化

DOI: 10.12000/JR25280 CSTR: 32380.14.JR25280
基金项目: 国家自然科学基金(61471295, 62271403),中国博士后科学基金(2024M764267),电磁空间安全全国重点实验室开放基金
详细信息
    作者简介:

    王佳行,博士生,主要研究方向为雷达波形设计、目标识别等

    梁军利,教授,博士生导师,主要研究方向包括雷达信号处理、阵列信号处理、通信感知一体化、光电融合及目标识别等

    朱文韬,博士生,主要研究方向为雷达波形设计、目标识别等

    陈梓浩,博士,主要研究方向为雷达波形设计、信号处理等

    顾 铭,博士生,主要研究方向为雷达系统设计及其应用等

    通讯作者:

    梁军利 liangjunli@nwpu.edu.cn

    责任主编:罗迎 Corresponding Editor: LUO Ying

  • 中图分类号: TN959.1

Aspect-matched Waveform-classifier Joint Optimization for Distributed Radar Target Recognition

Funds: The National Natural Science Foundation of China(61471295, 62271403), China Postdoctoral Science Foundation (2024M764267), National Key Laboratory of Electromagnetic Space Security Open Fund
More Information
  • 摘要: 雷达自动目标识别性能主要取决于回波信号中的特征质量,发射波形作为主动塑造回波的信息载体,对分类性能具有决定性影响。然而现有波形设计常与分类器优化解耦,忽略两者间的协同,且波形优化准则与分类指标间缺乏直接关联,难以充分提升分类性能;多局限于单站雷达模型,未建立观测视角、发射波形与分类性能之间的联系,亦缺乏节点间的波形协同机制,无法利用空间与波形分集增益。为突破上述局限,该文提出一种面向分布式雷达目标分类的,端到端的“角度-波形匹配”优化框架。本框架将波形参数化,构建为可训练的波形生成模块,并与分类网络级联,从而将孤立的波形设计问题,转化为以分类任务直接驱动的波形与分类器的联合优化。利用目标先验信息对模型进行训练,优化得到与视角相匹配的波形及其适配的分类网络。进一步地,为提升分布式雷达联合分类性能,该文提出了基于非因果状态空间对偶模块的双分支网络,实现多视角信息的提取与融合。实验结果表明,该文所提方法能协同利用波形分集与空间分集,提升分类性能,且在节点缺失的场景下表现出鲁棒性,为分布式雷达智能波形设计提供了新方案。

     

  • 图  1  分布式雷达多波形协同识别示意图

    Figure  1.  Illustration of distributed radar recognition via multi-waveform cooperation

    图  2  工作流程示意图

    Figure  2.  Schematic diagram of the workflow

    图  3  时域MH-WGM示意图

    Figure  3.  Illustration of the time-domain MH-WGM

    图  4  非因果状态空间对偶模块

    Figure  4.  Non-causal state-space duality block

    图  5  波形角度协同分配示意图

    Figure  5.  Illustration of waveform-aspect coordinated allocation

    图  6  DRWC整体架构

    Figure  6.  DRWC framework

    图  7  网络结构详图

    Figure  7.  A detailed diagram of the network architecture

    图  8  不同学习率倍率下LFM与优化波形对比

    Figure  8.  Comparison between LFM and the optimized waveform under different learning rate multiplier

    图  9  频域波形设计结果

    Figure  9.  Frequency-domain waveform design results

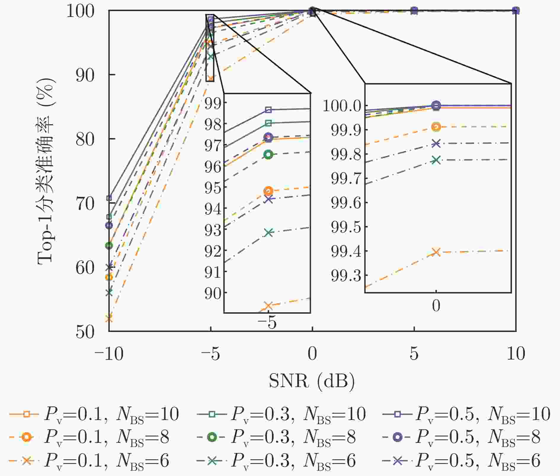
    图  10  民用车辆TIR数据集不同基站数量下时域波形设计分类准确率

    Figure  10.  Classification accuracy under different numbers of base stations for the time-domain waveform design on the civilian vehicle TIR dataset

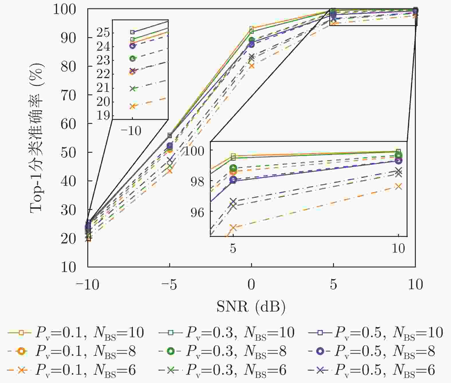
    图  11  民用车辆TFR数据集不同基站数量下频域波形设计分类准确率

    Figure  11.  Classification accuracy under different numbers of base stations for the Frequency-domain waveform design on the civilian vehicle TFR dataset

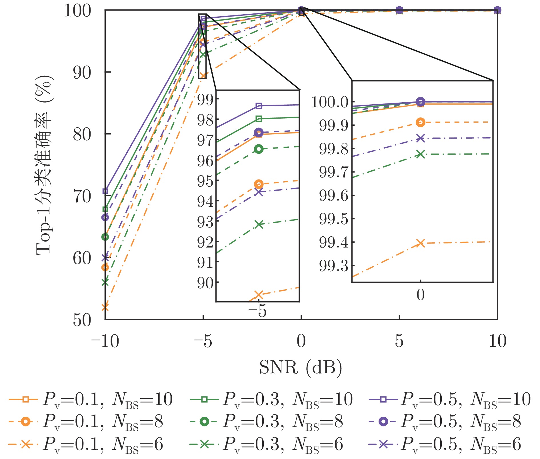
    图  12  电磁仿真TIR数据集不同基站数量下时域波形设计分类准确率

    Figure  12.  Classification accuracy under different numbers of base stations for the time-domain waveform design on the electromagnetic simulation TIR dataset

    图  13  电磁仿真TFR数据集不同基站数量下频波形设计分类准确率

    Figure  13.  Classification accuracy under different numbers of base stations for the Frequency-domain waveform design on the electromagnetic simulation TFR dataset

    1  NCSSD模块核心组件

    1.   Core components of the NCSSD block

    输入:序列$ {\boldsymbol{S}}_{\mathrm{in}} $,参数$ {{\varDelta }}_{\text{in}} $,$ {\hat{A}}_{\mathrm{in}} $和$ {\overline{A}}_{\mathrm{in}} $ #$ {\boldsymbol{S}}_{\mathrm{in}}\in {\mathbb{R}}^{C\times L}\text{,}{{\varDelta }}_{\text{in}},{\hat{A}}_{\mathrm{in}}\mathbf{,}{\overline{A}}_{\mathrm{in}}\in {\mathbb{R}}^{H} $
    输出:序列$ {\boldsymbol{S}}_{\text{out}} $ #$ {\boldsymbol{S}}_{\text{out}}\in {\mathbb{R}}^{C\times L} $
     步骤一:构造SSM所需变量
    1:$ \boldsymbol{S}_{\mathrm{in}}^{\prime}\leftarrow \mathrm{Norm}\left({\boldsymbol{S}}_{\mathrm{in}}\right) $ #$ \boldsymbol{S}_{\mathrm{in}}^{\prime}\in {\mathbb{R}}^{C\times L} $
    2:$ \boldsymbol{Z}\leftarrow {\text{Linear}}^{\boldsymbol{Z}}\left(\boldsymbol{S}_{\text{in}}^{\prime}\right) $ #$ \boldsymbol{Z}\in {\mathbb{R}}^{2C\times L} $
    3:$ {{\boldsymbol{\varDelta}} }^{\prime}\leftarrow {\text{Linear}}^{{{{\boldsymbol{\varDelta}} }^{\prime}}}\left(\boldsymbol{S}_{\text{in}}^{\prime}\right) $ #$ {{\boldsymbol{\varDelta}} }^{\prime}\in {\mathbb{R}}^{H\times L} $
    4:$ \boldsymbol{X},{\hat{B} }^{\prime},{\overline{B} }^{\prime},\hat{C} ,\overline{C} \leftarrow \mathrm{SiLU}\left(\mathrm{Conv}1\mathrm{d}\left(\mathrm{Linear}\left(\boldsymbol{S}_{\text{in}}^{\prime}\right)\right)\right) $#Conv1d为核为3的深度卷积
    #$ \boldsymbol{X}\in {\mathbb{R}}^{H\times {2C}/{H}\times L} $, $ {\hat{B} }^{\prime},{\overline{B} }^{\prime}\in {\mathbb{R}}^{1\times D\times L} $, $ \hat{C} ,\overline{C} $$ \in {\mathbb{R}}^{1\times D\times L} $
    5:$ {\boldsymbol{\varDelta}} \leftarrow \mathrm{Softplus}\left({{\boldsymbol{\varDelta}} }^{\prime}+{{\varDelta }}_{\text{in}}\right) $ #$ {\boldsymbol{\varDelta}} \in {\mathbb{R}}^{H\times L} $
    6:$ \hat{\boldsymbol{A}}\mathbf{,}\overline{\boldsymbol{A}}\leftarrow {\boldsymbol{\varDelta}} \times {\hat{A}}_{\mathrm{in}},{\boldsymbol{\varDelta}} \times {\overline{A}}_{\mathrm{in}} $ #$ \hat{\boldsymbol{A}},\overline{\boldsymbol{A}}\in {\mathbb{R}}^{H\times L} $
    7:$ \hat{\boldsymbol{B}},\overline{\boldsymbol{B}}\leftarrow {\boldsymbol{\varDelta}} \times {\hat{B} }^{\prime},{\boldsymbol{\varDelta}} \times {\overline{B} }^{\prime} $ #$ \hat{\boldsymbol{B}},\overline{\boldsymbol{B}}\in {\mathbb{R}}^{H\times D\times L} $
     步骤二:使用NCSSD实现非因果的SSM计算(见算法2)
    8:$ \boldsymbol{Y}\leftarrow {\mathrm{SSM}}_{\hat{\boldsymbol{A}},\overline{\boldsymbol{A}},\hat{\boldsymbol{B}},\overline{\boldsymbol{B}},\hat{C} ,\overline{C} }(\boldsymbol{X}) $ #$ \boldsymbol{Y}\in {\mathbb{R}}^{2C\times L} $
     步骤三:计算输出序列$ {\boldsymbol{S}}_{\text{out}} $
    9:$ {\boldsymbol{Y}}_{\text{g}}\leftarrow \mathrm{Norm}(\boldsymbol{Y})\odot \boldsymbol{Z} $ #$ {\boldsymbol{Y}}_{\text{g}}\in {\mathbb{R}}^{2C\times L} $
    10:$ {\boldsymbol{S}}_{\text{out}}\leftarrow {\text{Linear}}^{{{\boldsymbol{S}}_{\text{out}}}}\left({\boldsymbol{Y}}_{\text{g}}\right) $ #$ {\boldsymbol{S}}_{\text{out}}\in {\mathbb{R}}^{C\times L} $
    下载: 导出CSV

    2  基于结构化矩阵的 NCSSD 高效算法

    2.   An Efficient algorithm based on structured matrices

    输入:张量$ \boldsymbol{X} $, $ \overline{\boldsymbol{A}} $, $ \hat{\boldsymbol{A}} $, $ \overline{\boldsymbol{B}} $, $ \hat{\boldsymbol{B}} $, $ \overline{\boldsymbol{C}} $, $ \hat{\boldsymbol{C}} $子块大小l
    输出:张量 $ \boldsymbol{Y} $
     初始化:将张量$ \boldsymbol{X} $, $ \overline{\boldsymbol{A}} $, $ \hat{\boldsymbol{A}} $, $ \overline{\boldsymbol{B}} $, $ \hat{\boldsymbol{B}} $, $ \overline{\boldsymbol{C}} $, $ \hat{\boldsymbol{C}} $按子块大小l重新排布
    调整$ \overline{\boldsymbol{A}} $和$ \hat{\boldsymbol{A}} $维度:$ (b,c,l,h)\rightarrow (b,h,c,l) $
    计算累积和:$ {\hat{\boldsymbol{A}}}_{\text{cum}}=\mathrm{cumsum}(\hat{\boldsymbol{A}},\dim =-1) $,$ {\overline{\boldsymbol{A}}}_{\text{cum}}=\mathrm{cumsum}(\overline{\boldsymbol{A}},\dim =-1) $
     步骤一:计算对角块内输出
    $ \overline{\boldsymbol{L}}=\exp (\mathrm{segsum}(\mathrm{pad}(\overline{\boldsymbol{A}}[\colon ,\colon ,\colon ,\colon -1],(1,0)))) $,$ \hat{\boldsymbol{L}}=\exp (\mathrm{segsum}(\hat{\boldsymbol{A}})) $
    $ {\overline{\boldsymbol{Y}}}_{\text{diag}}=\mathrm{einsum}(bclhn,bcshn,bhcsl,bcshp\rightarrow bclhp,\overline{\boldsymbol{C}},\overline{\boldsymbol{B}},\overline{\boldsymbol{L}},\boldsymbol{X}) $$ {\hat{\boldsymbol{Y}}}_{\text{diag}}=\mathrm{einsum}(bclhn,bcshn,bhcsl,bcshp\rightarrow bclhp,\hat{\boldsymbol{C}},\hat{\boldsymbol{B}},\hat{\boldsymbol{L}},\boldsymbol{X}) $
    $ {\boldsymbol{Y}}_{\text{diag}}={\overline{\boldsymbol{Y}}}_{\text{diag}}+{\hat{\boldsymbol{Y}}}_{\text{diag}} $
     步骤二:计算每个内部块的状态
    $ \widehat{\boldsymbol{d}\boldsymbol{e}\boldsymbol{c}}=\exp \left({\hat{\boldsymbol{A}}}_{\text{cum}}[\colon ,\colon ,\colon ,-1\colon ]-{\hat{\boldsymbol{A}}}_{\text{cum}}\right) $
    $ \overline{\boldsymbol{d}\boldsymbol{e}\boldsymbol{c}}=\exp \left(\mathrm{pad}\left({\overline{\boldsymbol{A}}}_{\text{cum}}[\colon ,\colon ,\colon ,\colon -1],(1,0)\right)\right) $
    $ \widehat{\boldsymbol{s}\boldsymbol{t}\boldsymbol{s}}=\mathrm{einsum}(bclhn,bhcl,bclhp\rightarrow bchpn,\hat{\boldsymbol{B}},\widehat{\boldsymbol{d}\boldsymbol{e}\boldsymbol{c}},\boldsymbol{X}) $
    $ \overline{\boldsymbol{s}\boldsymbol{t}\boldsymbol{s}}=\mathrm{einsum}(bclhn,bhcl,bclhp\rightarrow bchpn,\overline{\boldsymbol{B}},\overline{\boldsymbol{d}\boldsymbol{e}\boldsymbol{c}},\boldsymbol{X}) $
     步骤三:计算块间递归
    $ \widehat{\boldsymbol{s}\boldsymbol{t}\boldsymbol{s}}=\mathrm{concat}\left(\left[\boldsymbol{i}\boldsymbol{n}\boldsymbol{i}\boldsymbol{t}\_ \boldsymbol{s}\boldsymbol{t}\boldsymbol{s},\widehat{\boldsymbol{s}\boldsymbol{t}\boldsymbol{s}}\right],\dim =1\right) $
    $ \overline{\boldsymbol{s}\boldsymbol{t}\boldsymbol{s}}=\mathrm{concat}\left(\left[\boldsymbol{i}\boldsymbol{n}\boldsymbol{i}\boldsymbol{t}\_ \boldsymbol{s}\boldsymbol{t}\boldsymbol{s},\overline{\boldsymbol{s}\boldsymbol{t}\boldsymbol{s}}\right],\dim =1\right) $$ (b,c,l,h,p)\rightarrow (b,c*l,h*p) $
    $ {\widehat{\boldsymbol{d}\boldsymbol{e}\boldsymbol{c}}}_{\text{chunk}}=\exp \left(\mathrm{segsum}\left(\mathrm{pad}\left({\hat{\boldsymbol{A}}}_{\text{cum}}[\colon ,\colon ,\colon ,-1],(1,0)\right)\right)\right) $
    $ {\overline{\boldsymbol{d}\boldsymbol{e}\boldsymbol{c}}}_{\text{chunk}}=\exp \left(\mathrm{segsum}\left(\mathrm{pad}\left({\overline{\boldsymbol{A}}}_{\text{cum}}[\colon ,\colon ,\colon ,-1],(1,0)\right)\right)\right) $
    $ \boldsymbol{n}\boldsymbol{e}\boldsymbol{w}\_ \boldsymbol{s}\boldsymbol{t}\boldsymbol{s}\text{=}\mathrm{einsum}\left(bhzc,bchpn\rightarrow bzhpn,{\widehat{\boldsymbol{d}\boldsymbol{e}\boldsymbol{c}}}_{\text{chunk}},\widehat{\boldsymbol{s}\boldsymbol{t}\boldsymbol{s}}\right) $
    $ \widehat{\boldsymbol{s}\boldsymbol{t}\boldsymbol{s}}=\boldsymbol{n}\boldsymbol{e}\boldsymbol{w}\_ \boldsymbol{s}\boldsymbol{t}\boldsymbol{s}[\colon ,\colon -1] $
    $ \overline{\boldsymbol{s}\boldsymbol{t}\boldsymbol{s}}=\mathrm{einsum}\left(bhcz,bchpn\rightarrow bzhpn,{\overline{\boldsymbol{d}\boldsymbol{e}\boldsymbol{c}}}_{\text{chunk}},\overline{\boldsymbol{s}\boldsymbol{t}\boldsymbol{s}}\right) $
     步骤四:计算块状态到输出的转换
    $ {\widehat{\boldsymbol{s}\boldsymbol{t}\boldsymbol{s}}}_{{{\mathrm{dec}}\_{\mathrm{out}}}}=\exp \left({\hat{\boldsymbol{A}}}_{\text{cum}}\right) $
    $ {\overline{\boldsymbol{s}\boldsymbol{t}\boldsymbol{s}}}_{{{\mathrm{dec}}\_{\mathrm{out}}}}=\exp \left({\overline{\boldsymbol{A}}}_{\text{cum}}[\colon ,\colon ,\colon ,-1\colon ]-\mathrm{pad}\left({\overline{\boldsymbol{A}}}_{\text{cum}}[\colon ,\colon ,\colon ,\colon -1],(1,0)\right)\right) $
    $ {\hat{\boldsymbol{Y}}}_{\text{off}}=\mathrm{einsum}\left(\hat{\boldsymbol{C}},\widehat{\boldsymbol{s}\boldsymbol{t}\boldsymbol{s}},{\widehat{\boldsymbol{s}\boldsymbol{t}\boldsymbol{s}}}_{{{\mathrm{dec}}_{\mathrm{out}}}}\right) $
    $ {\overline{\boldsymbol{Y}}}_{\text{off}}=\mathrm{einsum}\left(\overline{\boldsymbol{C}},\overline{\boldsymbol{s}\boldsymbol{t}\boldsymbol{s}}\mathbf{,}{\overline{\boldsymbol{s}\boldsymbol{t}\boldsymbol{s}}}_{{{\mathrm{dec}}_{\mathrm{out}}}}\right) $
    $ \boldsymbol{Y}={\boldsymbol{Y}}_{\text{diag}}+{\hat{\boldsymbol{Y}}}_{\text{off}}+{\overline{\boldsymbol{Y}}}_{\text{off}} $
    下载: 导出CSV

    表  1  网络超参数设置

    Table  1.   Network hyperparameter settings

    参数 电磁仿真数据集
    网络$ {\mathrm{C}}_{\boldsymbol{\phi }1} $
    民用车辆数据集
    网络$ {\mathrm{C}}_{\boldsymbol{\phi }2} $
    堆叠数量$ {N}_{1},{N}_{2},{N}_{3} $ 1,1,2 2,1,2
    多头数量$ {H}_{1},{H}_{2},{H}_{3} $ 1,2,4 2,8,8
    通道数$ {C}_{1},{C}_{2} $ 16,64 16,128
    训练轮数 40 80
    峰值学习率(余弦退火) $ 1\times {10}^{-3} $ $ 3\times {10}^{-4} $
    下载: 导出CSV

    表  2  模型各阶段参数量与计算量

    Table  2.   Parameter count and FLOPs for each stage of the model DRWC(NCSSD) DRWC(SSD)

    参数 电磁仿真 民用车辆 电磁仿真 民用车辆
    特征提取参数量 16.71 K 23.38 K 15.43 K 20.81 K
    单视角特征提取FLOPs 1.31 M 3.10 M 0.81 M 1.97 M
    融合推理参数量 1.40 M 5.31 M 1.36 M 5.23 M
    融合推理FLOPs 23.24 M 114.88 M 20.38 M 101.67 M
    总参数量 1.42 M 5.33 M 1.38 M 5.25 M
    总FLOPs 37.14 M 147.00 M 29.32 M 122.48 M
    下载: 导出CSV

    表  3  民用车辆数据集不同信噪比下各网络分类准确率

    Table  3.   Classification accuracy of different networks across various SNRs on the civilian vehicle dataset

    网络 TIR数据集 TFR数据集
    –10 dB –5 dB 0 dB 5 dB 10 dB –10 dB –5 dB 0 dB 5 dB 10 dB
    SV-RWC 12.36 16.95 27.82 42.82 51.99 18.24 38.13 67.14 83.05 88.32
    DRWC-S 21.46 39.53 67.94 85.95 91.74 54.81 92.08 99.41 99.89 99.91
    DRWC-P 24.67 53.11 87.37 97.69 99.19 71.31 98.76 100.00 100.00 100.00
    SAM 23.58 52.59 86.10 97.43 98.88 66.62 97.46 99.98 100.00 100.00
    SSD 23.93 53.86 87.03 97.65 99.30 70.21 98.50 99.99 100.00 100.00
    DRWC-SP 25.05 55.66 88.25 97.97 99.29 73.05 98.79 100.00 100.00 100.00
    注:表中加粗数值表示各信噪比条件下各网络的最高准确率。
    下载: 导出CSV

    表  4  电磁仿真数据集不同信噪比下各网络分类准确率

    Table  4.   Classification accuracy of different networks across various SNRs on the electromagnetic simulation dataset

    网络 TIR数据集 TFR数据集
    –10 dB –5 dB 0 dB 5 dB 10 dB –10 dB –5 dB 0 dB 5 dB 10 dB
    SV-RWC 22.47 31.77 62.88 90.00 96.43 28.13 52.29 89.21 99.21 99.87
    DRWC-S 33.80 58.78 92.22 99.55 99.94 53.33 92.39 99.90 100.00 100.00
    DRWC-P 38.64 76.41 99.13 99.99 100.00 69.39 98.52 100.00 100.00 100.00
    SAM 37.29 75.31 99.24 100.00 100.00 67.28 98.13 100.00 100.00 100.00
    SSD 38.73 76.47 99.14 99.99 100.00 68.68 98.41 100.00 100.00 100.00
    DRWC-SP 39.91 76.61 99.28 100.00 100.00 70.74 98.65 100.00 100.00 100.00
    注:表中加粗数值表示各信噪比条件下各网络的最高准确率。
    下载: 导出CSV

    表  5  民用车辆TIR数据集不同波形与波形数量在各信噪比条件下分类准确率

    Table  5.   Classification accuracy vs. waveform type, number of waveforms, and SNR on the civilian vehicle TIR dataset

    网络设置 –10 dB –5 dB 0 dB 5 dB 10 dB
    P4+$ {\mathrm{C}}_{\boldsymbol{\phi }1} $ 25.21 54.78 86.35 97.45 99.01
    LFM+$ {\mathrm{C}}_{\boldsymbol{\phi }1} $ 24.36 53.79 84.91 96.74 98.71
    时域UniWGM+$ {\mathrm{C}}_{\boldsymbol{\phi }1} $$ {N}_{\text{w}}=1 $ 25.40 55.52 86.55 97.63 99.12
    时域WGM+$ {\mathrm{C}}_{\boldsymbol{\phi }1} $$ {N}_{\text{w}}=1 $ 26.98 57.28 88.04 97.86 99.25
    时域WGM+$ {\mathrm{C}}_{\boldsymbol{\phi }1} $$ {N}_{\text{w}}=8 $ 33.60 68.94 93.56 98.80 99.43
    时域 WGM+$ {\mathrm{C}}_{\boldsymbol{\phi }1} $ $ {N}_{\text{w}}=16 $ 34.52 70.91 94.57 99.01 99.54
    注:表中加粗数值表示各信噪比下,单波形和多波形设置下各网络的最高准确率。
    下载: 导出CSV

    表  6  民用车辆TFR数据集不同波形与波形数量在各信噪比条件下分类准确率

    Table  6.   Classification accuracy vs. waveform type, number of waveforms, and SNR on the civilian vehicle TFR dataset

    网络设置 –10 dB –5 dB 0 dB 5 dB 10 dB
    P4+$ {\mathrm{C}}_{\boldsymbol{\phi }1} $ 70.91 98.51 99.99 100.00 100.00
    LFM+$ {\mathrm{C}}_{\boldsymbol{\phi }1} $ 69.96 98.41 99.99 100.00 100.00
    频域UniWGM+$ {\mathrm{C}}_{\boldsymbol{\phi }1} $$ {N}_{\text{w}}=1 $ 70.99 98.54 99.99 100.00 100.00
    频域WGM+$ {\mathrm{C}}_{\boldsymbol{\phi }1} $$ {N}_{\text{w}}=1 $ 71.14 98.58 100.00 100.00 100.00
    频域WGM+$ {\mathrm{C}}_{\boldsymbol{\phi }1} $$ {N}_{\text{w}}=8 $ 73.20 98.91 100.00 100.00 100.00
    频域 WGM+$ {\mathrm{C}}_{\boldsymbol{\phi }1} $ $ {N}_{\text{w}}=16 $ 73.47 98.98 100.00 100.00 100.00
    注:表中加粗数值表示各信噪比下,单波形和多波形设置下各网络的最高准确率。
    下载: 导出CSV

    表  7  电磁仿真TIR数据集不同波形与波形数量在各信噪比条件下分类准确率

    Table  7.   Classification accuracy vs. waveform type, number of waveforms, and SNR on the electromagnetic simulation TIR dataset

    网络设置 –10 dB –5 dB 0 dB 5 dB 10 dB
    P4+$ {\mathrm{C}}_{\boldsymbol{\phi }2} $ 39.21 76.90 98.93 100.00 100.00
    LFM+$ {\mathrm{C}}_{\boldsymbol{\phi }2} $ 40.14 77.21 98.90 100.00 100.00
    时域UniWGM+$ {\mathrm{C}}_{\boldsymbol{\phi }2} $$ {N}_{\text{w}}=1 $ 40.51 77.43 98.96 99.99 100.00
    时域WGM+$ {\mathrm{C}}_{\boldsymbol{\phi }2} $ $ {N}_{\text{w}}=1 $ 41.11 77.69 99.02 99.97 100.00
    时域WGM+$ {\mathrm{C}}_{\boldsymbol{\phi }2} $ $ {N}_{\text{w}}=8 $ 41.94 76.43 99.07 100.00 100.00
    时域 WGM+$ {\mathrm{C}}_{\boldsymbol{\phi }2} $ $ {N}_{\text{w}}=16 $ 42.97 79.02 99.33 100.00 100.00
    注:表中加粗数值表示各信噪比下,单波形和多波形设置下各网络的最高准确率。
    下载: 导出CSV

    表  8  电磁仿真TFR数据集不同波形与波形数量在各信噪比条件下分类准确率

    Table  8.   Classification accuracy vs. waveform type, number of waveforms, and SNR on the electromagnetic simulation TFR dataset

    网络设置 –10 dB –5 dB 0 dB 5 dB 10 dB
    P4+$ {\mathrm{C}}_{\boldsymbol{\phi }2} $ 71.55 98.60 100.00 100.00 100.00
    LFM+$ {\mathrm{C}}_{\boldsymbol{\phi }2} $ 69.59 98.33 100.00 100.00 100.00
    频域UniWGM+$ {\mathrm{C}}_{\boldsymbol{\phi }2} $$ {N}_{\text{w}}=1 $ 71.89 98.61 100.00 100.00 100.00
    频域WGM+$ {\mathrm{C}}_{\boldsymbol{\phi }2} $ $ {N}_{\text{w}}=1 $ 72.15 98.64 100.00 100.00 100.00
    频域WGM+$ {\mathrm{C}}_{\boldsymbol{\phi }2} $ $ {N}_{\text{w}}=8 $ 72.69 98.79 100.00 100.00 100.00
    频域 WGM+$ {\mathrm{C}}_{\boldsymbol{\phi }2} $ $ {N}_{\text{w}}=16 $ 73.17 98.80 100.00 100.00 100.00
    注:表中加粗数值表示各信噪比下,单波形和多波形设置下各网络的最高准确率。
    下载: 导出CSV

    表  9  各信噪比条件下时频域处理网络分类准确率

    Table  9.   Classification accuracy for time-domain and frequency-domain processing networks under different SNRs

    网络 –10 dB –5 dB 0 dB 5 dB 10 dB
    T-DRWC-S 22.96 38.45 81.92 97.79 98.91
    T-DRWC-P 28.79 54.37 94.54 99.99 100.00
    T-DRWC 29.58 55.84 95.65 99.99 100.00
    F-DRWC-S 23.82 38.69 82.80 97.84 98.69
    F-DRWC-P 26.32 47.98 90.30 99.88 100.00
    F-DRWC 27.42 49.86 92.56 99.85 100.00
    注:表中加粗数值表示各信噪比下时域网络与频域网络最高分类准确率。
    下载: 导出CSV
  • [1] HE Hao, LI Jian, and STOICA P. Waveform Design for Active Sensing Systems: A Computational Approach[M]. Cambridge: Cambridge University Press, 2012. doi: 10.1017/CBO9781139095174.
    [2] BLUNT S D and MOKOLE E L. Overview of radar waveform diversity[J]. IEEE Aerospace and Electronic Systems Magazine, 2016, 31(11): 2–42. doi: 10.1109/MAES.2016.160071.
    [3] WANG Jiahang, LIANG Junli, CHENG Zhiwei, et al. Radar waveform design based on target pattern separability via fractional programming[J]. IEEE Transactions on Signal Processing, 2024, 72: 2543–2559. doi: 10.1109/TSP.2024.3387335.
    [4] HU Jinfeng, WEI Zhiyong, LI Yuzhi, et al. Designing Unimodular waveform(s) for MIMO radar by deep learning method[J]. IEEE Transactions on Aerospace and Electronic Systems, 2021, 57(2): 1184–1196. doi: 10.1109/TAES.2020.3037406.
    [5] ZHONG Kai, ZHANG Weijian, ZHANG Qiping, et al. MIMO radar waveform design via deep learning[C]. The IEEE Radar Conference, Atlanta, USA, 2021: 1–5. doi: 10.1109/RadarConf2147009.2021.9455163.
    [6] PEI Yaya, HU Jinfeng, ZHONG Kai, et al. MIMO radar waveform optimization by deep learning method[C]. The IEEE International Geoscience and Remote Sensing Symposium, Kuala Lumpur, Malaysia, 2022: 811–814. doi: 10.1109/IGARSS46834.2022.9884371.
    [7] XIA M, GONG W R, and YANG L C. A novel waveform optimization method for orthogonal-frequency multiple-input multiple-output radar based on dual-channel neural networks[J]. Sensors, 2024, 24(17): 5471. doi: 10.3390/s24175471.
    [8] YAN Bo, PAOLINI E, XU Luping, et al. A target detection and tracking method for multiple radar systems[J]. IEEE Transactions on Geoscience and Remote Sensing, 2022, 60: 5114721. doi: 10.1109/TGRS.2022.3183387.
    [9] LU Jing, ZHOU Shenghua, PENG Xiaojun, et al. Distributed radar multiframe detection with local censored observations[J]. IEEE Transactions on Aerospace and Electronic Systems, 2024, 60(6): 9006–9028. doi: 10.1109/TAES.2024.3438103.
    [10] CAO Xiaomao, YI Jianxin, GONG Ziping, et al. Automatic target recognition based on RCS and angular diversity for multistatic passive radar[J]. IEEE Transactions on Aerospace and Electronic Systems, 2022, 58(5): 4226–4240. doi: 10.1109/TAES.2022.3159295.
    [11] PU Weiming, LIANG Zhennan, WU Jianxin, et al. Joint generalized inner product method for main lobe jamming suppression in distributed array radar[J]. IEEE Transactions on Aerospace and Electronic Systems, 2023, 59(5): 6940–6953. doi: 10.1109/TAES.2023.3280892.
    [12] PU Weiming, ZHENG Ziming, TIAN Dezhi, et al. Velocity estimation of DRFM jamming source based on Doppler differences in distributed array radar[C]. The IET International Radar Conference, Chongqing, China, 2023: 387–392. doi: 10.1049/icp.2024.1110.
    [13] LINGADEVARU P, PARDHASARADHI B, and SRIHARI P. Sequential fusion based approach for estimating range gate pull-off parameter in a networked radar system: An ECCM algorithm[J]. IEEE Access, 2022, 10: 70902–70918. doi: 10.1109/ACCESS.2022.3185240.
    [14] BELL M R. Information theory and radar waveform design[J]. IEEE Transactions on Information Theory, 1993, 39(5): 1578–1597. doi: 10.1109/18.259642.
    [15] GARREN D A, OSBORN M K, ODOM A C, et al. Enhanced target detection and identification via optimised radar transmission pulse shape[J]. IEE Proceedings - Radar, Sonar and Navigation, 2001, 148(3): 130–138. doi: 10.1049/ip-rsn:20010324.
    [16] GARREN D A, OSBORN M K, ODOM A C, et al. Optimal transmission pulse shape for detection and identification with uncertain target aspect[C]. The IEEE Radar Conference, Atlanta, USA, 2001: 123–128. doi: 10.1109/NRC.2001.922963.
    [17] GARREN D A, ODOM A C, OSBORN M K, et al. Full-polarization matched-illumination for target detection and identification[J]. IEEE Transactions on Aerospace and Electronic Systems, 2002, 38(3): 824–837. doi: 10.1109/TAES.2002.1039402.
    [18] ROMERO R A, BAE J, and GOODMAN N A. Theory and application of SNR and mutual information matched illumination waveforms[J]. IEEE Transactions on Aerospace and Electronic Systems, 2011, 47(2): 912–927. doi: 10.1109/TAES.2011.5751234.
    [19] ALSHIRAH S Z, GISHKORI S, and MULGREW B. Frequency-based optimal radar waveform design for classification performance maximization using multiclass fisher analysis[J]. IEEE Transactions on Geoscience and Remote Sensing, 2021, 59(4): 3010–3021. doi: 10.1109/TGRS.2020.3008562.
    [20] DU Lan, LIU Hongwei, and BAO Zheng. Radar HRRP statistical recognition: Parametric model and model selection[J]. IEEE Transactions on Signal Processing, 2008, 56(5): 1931–1944. doi: 10.1109/TSP.2007.912283.
    [21] TAN Q J O, ROMERO R A, and JENN D C. Target recognition with adaptive waveforms in cognitive radar using practical target RCS responses[C]. The IEEE Radar Conference, Oklahoma City, USA, 2018: 0606–0611. doi: 10.1109/RADAR.2018.8378628.
    [22] WU Zhongjie, WANG Chnexu, LI Yingchun, et al. Extended target estimation and recognition based on multimodel approach and waveform diversity for cognitive radar[J]. IEEE Transactions on Geoscience and Remote Sensing, 2022, 60: 5101014. doi: 10.1109/TGRS.2021.3065335.
    [23] GOYAL A and BENGIO Y. Inductive biases for deep learning of higher-level cognition[EB/OL]. https://doi.org/10.48550/arXiv.2011.15091, 2020.
    [24] BHALLA R, LING H, MOORE J, et al. 3D scattering center representation of complex targets using the shooting and bouncing ray technique: A review[J]. IEEE Antennas and Propagation Magazine, 1998, 40(5): 30–39. doi: 10.1109/74.735963.
    [25] DING Baiyuan and WEN Gongjian. Target reconstruction based ON 3-D scattering center model for robust SAR ATR[J]. IEEE Transactions on Geoscience and Remote Sensing, 2018, 56(7): 3772–3785. doi: 10.1109/TGRS.2018.2810181.
    [26] LEI Wei, ZHANG Yue, and CHEN Zengping. A real‐time fine echo generation method of extended false target with radially high‐speed moving[J]. IET Radar, Sonar & Navigation, 2023, 17(2): 312–325. doi: 10.1049/rsn2.12342.
    [27] LIANG Junli, SO H C, LI Jian, et al. Unimodular sequence design based on alternating direction method of multipliers[J]. IEEE Transactions on Signal Processing, 2016, 64(20): 5367–5381. doi: 10.1109/TSP.2016.2597123.
    [28] VASWANI A, SHAZEER N, PARMAR N, et al. Attention is all you need[C]. The 31st International Conference on Neural Information Processing Systems, Long Beach, USA, 2017: 6000–6010.
    [29] FAN Wen, LIANG Junli, CHEN Zihao, et al. Spectrally compatible aperiodic sequence set design with low cross- and auto-correlation PSL[J]. Signal Processing, 2021, 183: 107960. doi: 10.1016/j.sigpro.2020.107960.
    [30] GU A and DAO T. Mamba: Linear-time sequence modeling with selective state spaces[EB/OL]. https://doi.org/10.48550/arXiv.2312.00752, 2023.
    [31] GU A, DAO T, EEMON S, et al. HiPPO: Recurrent memory with optimal polynomial projections[EB/OL]. https://doi.org/10.48550/arXiv.2008.07669, 2020.
    [32] GU A, GOEL K, and RÉ C. Efficiently modeling long sequences with structured state spaces[EB/OL]. https://doi.org/10.48550/arXiv.2111.00396, 2021.
    [33] GU A, JOHNSON I, GOEL K, et al. Combining recurrent, convolutional, and continuous-time models with linear state-space layers[C]. The 35th International Conference on Neural Information Processing System, Vancouver, Canada, 2021: 44.
    [34] DAO T and GU A. Transformers are SSMs: Generalized models and efficient algorithms through structured state space duality[EB/OL]. https://doi.org/10.48550/arXiv.2405.21060, 2024.
    [35] GUO Jianyuan, HAN Kai, WU Han, et al. CMT: Convolutional neural networks meet vision transformers[EB/OL]. https://doi.org/10.48550/arXiv.2107.06263, 2021.
    [36] DOSOVITSKIY A, BEYER L, KOLESNIKOV A, et al. An image is worth 16x16 words: Transformers for image recognition at scale[C]. The 9th International Conference on Learning Representations, 2021.
    [37] SHI Yuheng, DONG Minjing, LI Mingjia, et al. VSSD: Vision Mamba with non-causal state space duality[EB/OL]. https://doi.org/10.48550/arXiv.2407.18559, 2024.
    [38] HAN Dongchen, WANG Ziyi, XIA Zhuofan, et al. Demystify Mamba in vision: A linear attention perspective[EB/OL]. https://doi.org/10.48550/arXiv.2405.16605, 2024.
    [39] ALTAIR. Feko (2023) [Electromagnetic simulation software][CP/OL]. https://www.altair.com/feko, 2023.
    [40] SDMS. Civilian vehicle data dome overview[DS/OL]. https://www.sdms.afrl.af.mil/index.php?collection=cv_dome, 2025.
    [41] HE Kaiming, ZHANG Xiangyu, REN Shaoqing, et al. Deep residual learning for image recognition[C]. The IEEE Conference on Computer Vision and Pattern Recognition, Las Vegas, USA, 2016: 770–778. doi: 10.1109/CVPR.2016.90.
    [42] SIMONYAN K and ZISSERMAN A. Very deep convolutional networks for large-scale image recognition[C]. The 3rd International Conference on Learning Representations, San Diego, USA, 2015: 1–14.
    [43] KRETSCHMER F F and GERLACH K. Low sidelobe radar waveforms derived from orthogonal matrices[J]. IEEE Transactions on Aerospace and Electronic Systems, 1991, 27(1): 92–102. doi: 10.1109/7.68151.
  • 加载中
图(13) / 表(11)
计量
  • 文章访问数: 
  • HTML全文浏览量: 
  • PDF下载量: 
  • 被引次数: 0
出版历程
  • 收稿日期:  2025-12-30
  • 修回日期:  2026-01-24

目录

    /

    返回文章
    返回