多模态涡旋电磁波模态串扰消除与纯度优化方法

秦凡 毕金阳 刘世武 程文驰 范逸风

秦凡, 毕金阳, 刘世武, 等. 多模态涡旋电磁波模态串扰消除与纯度优化方法[J]. 雷达学报(中英文), 待出版. doi: 10.12000/JR25226
引用本文: 秦凡, 毕金阳, 刘世武, 等. 多模态涡旋电磁波模态串扰消除与纯度优化方法[J]. 雷达学报(中英文), 待出版. doi: 10.12000/JR25226
QIN Fan, BI Jinyang, LIU Shiwu, et al. Mode interference cancelation and mode purity optimization for multimode OAM waves[J]. Journal of Radars, in press. doi: 10.12000/JR25226
Citation: QIN Fan, BI Jinyang, LIU Shiwu, et al. Mode interference cancelation and mode purity optimization for multimode OAM waves[J]. Journal of Radars, in press. doi: 10.12000/JR25226

多模态涡旋电磁波模态串扰消除与纯度优化方法

DOI: 10.12000/JR25226 CSTR: 32380.14.JR25226
基金项目: 国家自然科学基金(62341132)
详细信息
    作者简介:

    秦 凡,副教授,主要研究方向为涡旋电磁波产生与汇聚、面向复杂环境的应急通信特种天线及电磁波调控设计、面向B5G/6G的先进天线技术

    毕金阳,博士生,主要研究方向为涡旋电磁波产生与汇聚

    刘世武,硕士生,主要研究方向为涡旋电磁波生成与调控

    程文驰,教授,主要研究方向为6G无线网络、基于电磁的无线通信以及应急无线通信

    范逸风,研究员,主要研究方向为电磁场与微波技术、阵列天线技术

    通讯作者:

    秦凡 fqin@xidian.edu.cn

    责任主编:刘康 Corresponding Editor: LIU Kang

  • 中图分类号: TN95

Mode Interference Cancelation and Mode Purity Optimization for Multimode OAM Waves

Funds: The National Natural Science Foundation of China (62341132)
More Information
  • 摘要: 携带轨道角动量(OAM)的涡旋电磁波在理论上能够提供无穷多组正交模态和差异性的螺旋波前相位梯度特性,可有效提升无线通信的频谱利用率和雷达的探测感知能力,在无线通信和雷达探测与成像领域均表现出重要的研究价值和应用潜力。然而,多模态涡旋电磁波产生过程中易出现模态间串扰及模态纯度不平衡等问题,严重影响其在通信与雷达探测系统中的性能表现。针对上述问题,该文从数学原理出发,提出了一种基于1比特相位调控的多模态涡旋电磁波生成与优化新方法,可有效实现多模态涡旋电磁波(l = ±1, ±2, ···, ±n, n ∈ N+)的同时生成、模态间串扰抑制以及多模态纯度的一致性提升。为验证所提方法的有效性,该文通过数值仿真实现了16模态(l = ±1 & ±2 & ±3 & ±4 & ±5 & ±6 & ±7 & ±8)涡旋电磁波的复用生成与优化;进一步选取具有代表性的8模态涡旋波(l = ±1 & ±2 & ±3 & ±4)示例,完成了相应透射型超表面设计、仿真、加工与实验验证。仿真与实测结果均表明基于该方法能够稳定产生目标多模态涡旋电磁波,其中模态干扰被有效抑制,各涡旋模态的模态纯度实现一致性优化。该研究为解决多模态涡旋电磁波的串扰与纯度控制难题提供了一条低相位调控复杂度、高灵活性且具有普适性的技术路径,为高容量涡旋通信与高分辨率雷达探测系统提供了创新性的实现方案。

     

  • 图  1  多模态涡旋电磁波生成阵列天线示意图

    Figure  1.  Schematic of a multimode vortex wave generating array antenna

    图  2  式(6)函数表达式与阵列天线相位分布对应关系

    Figure  2.  Correspondence between the Eq. (6) and the phase distribution of the array antenna

    图  3  利用式(6)产生l = ±1 & ±2的多模态涡旋电磁波仿真结果

    Figure  3.  Simulation results of multimode vortex waves with l = ±1 & ±2 modes generated by Eq. (6)

    图  4  模态串扰消除后l = ±1 & ±2模态的多模态涡旋电磁波仿真结果

    Figure  4.  Simulation results of the multimode vortex wave generation with l = ±1 & ±2 OAM modes after mode interference cancelation

    图  5  模态纯度优化后l = ±1 & ±2模态的多模态涡旋电磁波仿真结果

    Figure  5.  Simulation results of the multimode vortex wave generation with l = ±1 & ±2 OAM modes after mode purity optimization

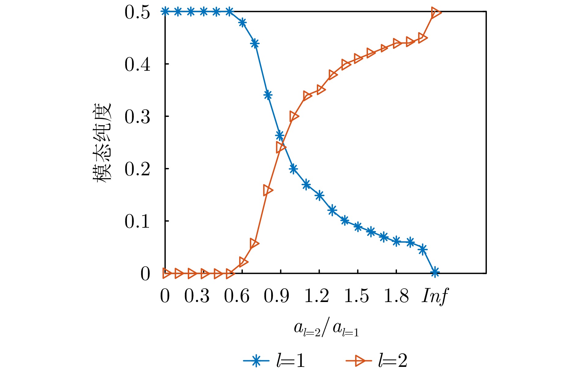
    图  6  l = ±1 & ±2模态的涡旋电磁波模态纯度与权重系数对应关系

    Figure  6.  Relationship between the mode purity and weighting coefficients for l = ±1 & ±2 modes

    图  7  多模态(l = ±1 & ±2 & ±3 & ±4)涡旋电磁波生成模态纯度、接收面相位分布和电场强度仿真结果

    Figure  7.  Simulation results of mode purity, phase distribution, and electric field intensity for multimode vortex wave generation with l = ±1 & ±2 & ±3 & ±4 OAM modes

    图  8  采用本文方法获得的其他多模态组合的模态纯度、接收面相位分布和电场强度仿真结果

    Figure  8.  Simulation results of mode purity, phase distribution, and electric field intensity for other multimode vortex wave combinations using the proposed method

    图  9  多模态涡旋电磁波透射型超表面天线结构示意图

    Figure  9.  Schematic of the transmission metasurface antenna for multimode vortex wave generation

    图  10  超表面单元结构图(具体参数:P = 12.5 mm, g1 = P/8, L = 9.25 mm, R1 = L/2, R2 = R1 + 1.025 mm, w1 = 1 mm)

    Figure  10.  Geometry of the proposed metasurface unit cell (parameters: P = 12.5 mm, g1 = P/8, L = 9.25 mm, R1 = L/2, R2 = R1 + 1.025 mm, w1 = 1 mm)

    图  11  超表面单元透射幅度与相位随参数w的变化曲线

    Figure  11.  Transmission magnitude and phase of the metasurface unit cell versus parameter w

    图  12  最终超表面相位补偿

    Figure  12.  Final phase compensation of the transmission metasurface

    图  13  多模态(l = ±1 & ±2 & ±3 & ±4)涡旋电磁波生成接收面电场强度、相位与模态纯度电磁仿真结果

    Figure  13.  Simulated results of electric field intensity, phase distribution, and mode purity for the multimode (l = ±1 & ±2 & ±3 & ±4) vortex wave generation

    图  14  超表面天线加工实物

    Figure  14.  Fabricated metasurface antenna prototype

    图  15  多模态(l = ±1 & ±2 & ±3 & ±4)涡旋电磁波生成实测结果

    Figure  15.  Measured results of the multimode (l = ±1 & ±2 & ±3 & ±4) vortex wave generation

    表  1  多模态(±1 & ±2)涡旋电磁波数值仿真各优化步骤模态纯度性能演进结果

    Table  1.   Mode purity performance for multimode (±1 & ±2) vortex wave generation across various optimization steps

    模态数 初始1比特相位多模态
    涡旋波生成模态纯度(%)
    模态串扰消除后
    模态纯度(%)
    模态纯度优化后
    模态纯度(%)
    –5 0.3 0 0.1
    –4 0 0.4 0.7
    –3 0.9 0.8 0.4
    –2 2.7 34.0 24.4
    –1 39.1 14.8 24.4
    0 14.1 0 0
    1 39.1 14.8 24.4
    2 2.7 34.0 24.4
    3 0.9 0.8 0.4
    4 0 0.4 0.7
    5 0.3 0 0.1
    下载: 导出CSV

    表  2  多模态(±1 & ±2 & ±3 & ±4)涡旋电磁波数值仿真各优化步骤模态纯度性能演进结果

    Table  2.   Mode purity performance for multimode (±1 & ±2 & ±3 & ±4) vortex wave generation across various optimization steps

    模态数 初始1比特相位多模态
    涡旋波生成模态纯度(%)
    模态串扰消除后
    模态纯度(%)
    模态纯度优化后
    模态纯度(%)
    –5 0 0 0.5
    –4 2.1 0.7 12.4
    –3 1.0 8.8 12.5
    –2 1.0 40.2 12.2
    –1 18.2 0.3 12.4
    0 55.4 0 0
    1 18.2 0.3 12.4
    2 1.0 40.2 12.2
    3 1.0 8.8 12.5
    4 2.1 0.7 12.4
    5 0 0 0.5
    下载: 导出CSV

    表  3  多模态(±1 & ±2 & ±3 & ±4)涡旋电磁波电磁仿真各优化步骤模态纯度性能演进结果

    Table  3.   Mode purity performance for the multimode (l = ±1 & ±2 & ±3 & ±4) vortex wave generation across various optimization steps

    模态数 初始1比特相位多模态涡
    旋波生成模态纯度(%)
    模态串扰消除后
    模态纯度(%)
    模态纯度优化后
    模态纯度(%)
    –5 0.3 0.2 0.4
    –4 4.2 1.3 12.6
    –3 3.7 13.7 12.1
    –2 1.7 33.9 13.0
    –1 21.8 1.5 12.3
    0 44.9 0.6 0.5
    1 17.0 0.7 12.1
    2 0.8 32.8 12.8
    3 1.9 13.4 12.4
    4 3.3 1.5 11.6
    5 0.4 0.4 0.1
    下载: 导出CSV

    表  4  多模态(±1 & ±2 & ±3 & ±4)涡旋波串扰消除与纯度优化后最终模态纯度电磁仿真与实测结果对比

    Table  4.   Final simulated and measured mode purity results for multimode (l = ±1 & ±2 & ±3 & ±4) vortex wave generation after mode interference cancelation and mode purity optimization

    模态数 仿真模态纯度(%) 实测模态纯度(%)
    –5 0.4 0.3
    –4 12.6 12.2
    –3 12.1 11.8
    –2 13.0 13.5
    –1 12.3 12.1
    0 0.5 1.2
    1 12.1 11.9
    2 12.8 13.4
    3 12.4 12.3
    4 11.6 11.0
    5 0.1 0.1
    下载: 导出CSV

    表  5  与相关文献对比分析

    Table  5.   Comparative analysis with the related literature

    文献调控原理馈源数复用模态数模态间串扰模态纯度优化能力
    [17]连续相位12未分析未涉及
    [18]连续相位22未分析未涉及
    [19]连续相位22较严重未涉及
    [20]连续相位12较严重未涉及
    [21]连续相位12未分析未涉及
    [22]连续相位13未分析未涉及
    [23]幅度-连续相位联合调控13有效抑制
    本文1比特相位116(仿真) / 8(实测)有效抑制
    下载: 导出CSV
  • [1] SASAKI H, YAGI Y, FUKUMOTO H, et al. OAM-MIMO multiplexing transmission system for high-capacity wireless communications on millimeter-wave band[J]. IEEE Transactions on Wireless Communications, 2024, 23(5): 3990–4003. doi: 10.1109/TWC.2023.3313735.
    [2] REN Yongxiong, LI Long, XIE Guodong, et al. Line-of-sight millimeter-wave communications using orbital angular momentum multiplexing combined with conventional spatial multiplexing[J]. IEEE Transactions on Wireless Communications, 2017, 16(5): 3151–3161. doi: 10.1109/TWC.2017.2675885.
    [3] 郑晓, 程文驰. 双模态离散RIS辅助的分布式低开销近场通感方法[J]. 中国科学: 信息科学, 2025, 55(6): 1308–1323. doi: 10.1360/SSI-2024-0340.

    ZHENG Xiao and CHENG Wenchi. Two-mode discrete RIS-assisted distributed near-field ISAC with low pilot overhead[J]. SCIENTIA SINICA Informationis, 2025, 55(6): 1308–1323. doi: 10.1360/SSI-2024-0340.
    [4] 王建秋, 刘康, 王煜, 等. 涡旋电磁波雷达成像分辨力研究[J]. 雷达学报, 2021, 10(5): 680–690. doi: 10.12000/JR21054.

    WANG Jianqiu, LIU Kang, WANG Yu, et al. Resolution analysis of vortex electromagnetic radar imaging[J]. Journal of Radars, 2021, 10(5): 680–690. doi: 10.12000/JR21054.
    [5] 王煜, 刘康, 王建秋, 等. 涡旋电磁波雷达锥体目标旋转多普勒探测[J]. 雷达学报, 2021, 10(5): 740–748. doi: 10.12000/JR21074.

    WANG Yu, LIU Kang, WANG Jianqiu, et al. Rotational Doppler detection of a cone-shaped target under the illumination of a vortex electromagnetic wave[J]. Journal of Radars, 2021, 10(5): 740–748. doi: 10.12000/JR21074.
    [6] 周宁宁, 朱士涛, 年毅恒, 等. 一种基于多模态OAM波束的目标特征智能识别方法[J]. 雷达学报, 2021, 10(5): 760–772. doi: 10.12000/JR21056.

    ZHOU Ningning, ZHU Shitao, NIAN Yiheng, et al. An intelligent target feature recognition method based on multi-mode OAM beams[J]. Journal of Radars, 2021, 10(5): 760–772. doi: 10.12000/JR21056.
    [7] LIU Kang, LIU Hongyan, WANG Hongqiang, et al. Vortex electromagnetic wave imaging with orbital angular momentum and waveform degrees of freedom[J]. Optics Express, 2024, 32(8): 13574–13582. doi: 10.1364/OE.521640.
    [8] LIU Kang, LIU Hongyan, LI Shuangxun, et al. Three-dimensional object imaging with vortex wave tomography[J]. Optics Express, 2025, 33(10): 20798–20806. doi: 10.1364/OE.563860.
    [9] ZHU Chunhui, XIE Chen, LIU Lijun, et al. A method to design arbitrary-way multimodal OAM generator[J]. IEEE Antennas and Wireless Propagation Letters, 2020, 19(6): 987–991. doi: 10.1109/LAWP.2020.2985846.
    [10] LI Yuanlong and LUK K M. A low-divergence circularly polarized dual-mode OAM antenna based on higher order laguerre-Gaussian modes[J]. IEEE Transactions on Antennas and Propagation, 2021, 69(9): 5215–5223. doi: 10.1109/TAP.2021.3060028.
    [11] WU Jie, ZHANG Zhongxiang, REN Xingang, et al. A broadband electronically mode-reconfigurable orbital angular momentum metasurface antenna[J]. IEEE Antennas and Wireless Propagation Letters, 2019, 18(7): 1482–1486. doi: 10.1109/LAWP.2019.2920695.
    [12] 周晶仪, 郑史烈, 余显斌, 等. 基于透射型超表面的模态可重构太赫兹涡旋波束生成[J]. 雷达学报, 2022, 11(4): 728–735. doi: 10.12000/JR22021.

    ZHOU Jingyi, ZHENG Shilie, YU Xianbin, et al. Reconfigurable mode vortex beam generation based on transmissive metasurfaces in the terahertz band[J]. Journal of Radars, 2022, 11(4): 728–735. doi: 10.12000/JR22021.
    [13] SHUANG Ya, ZHAO Hanting, JI Wei, et al. Programmable high-order OAM-carrying beams for direct-modulation wireless communications[J]. IEEE Journal on Emerging and Selected Topics in Circuits and Systems, 2020, 10(1): 29–37. doi: 10.1109/JETCAS.2020.2973391.
    [14] ZHANG Zongtang, XIAO Shaoqiu, LI Yan, et al. A circularly polarized multimode patch antenna for the generation of multiple orbital angular momentum modes[J]. IEEE Antennas and Wireless Propagation Letters, 2017, 16: 521–524. doi: 10.1109/LAWP.2016.2586975.
    [15] CHEN Rui, LONG Wenxuan, WANG Xiaodong, et al. Multi-mode OAM radio waves: Generation, angle of arrival estimation and reception with UCAs[J]. IEEE Transactions on Wireless Communications, 2020, 19(10): 6932–6947. doi: 10.1109/TWC.2020.3007026.
    [16] FENG Pengyu, QU Shiwei, and YANG Shiwen. OAM-generating transmitarray antenna with circular phased array antenna feed[J]. IEEE Transactions on Antennas and Propagation, 2020, 68(6): 4540–4548. doi: 10.1109/TAP.2020.2972393.
    [17] YU Shixing, LI Long, and KOU Na. Generation, reception and separation of mixed-state orbital angular momentum vortex beams using metasurfaces[J]. Optical Materials Express, 2017, 7(9): 3312–3321. doi: 10.1364/OME.7.003312.
    [18] GUAN Ling, HE Zi, DING Dazhi, et al. Polarization-controlled shared-aperture metasurface for generating a vortex beam with different modes[J]. IEEE Transactions on Antennas and Propagation, 2018, 66(12): 7455–7459. doi: 10.1109/TAP.2018.2867028.
    [19] XU Peng, LIU Haixia, LI Ruijie, et al. Dual-band spin-decoupled metasurface for generating multiple coaxial OAM beams[J]. IEEE Transactions on Antennas and Propagation, 2022, 70(11): 10678–10690. doi: 10.1109/TAP.2022.3195573.
    [20] SHAHMIRZADI A V, BADAMCHI Z, BADAMCHI B, et al. Generating concentrically embedded spatially divided OAM carrying vortex beams using transmitarrays[J]. IEEE Transactions on Antennas and Propagation, 2021, 69(12): 8436–8448. doi: 10.1109/TAP.2021.3090860.
    [21] CHENG Li, HONG Wei, and HAO Zhangcheng. Generation of electromagnetic waves with arbitrary orbital angular momentum modes[J]. Scientific Reports, 2014, 4: 4814. doi: 10.1038/srep04814.
    [22] YANG Lingjun, SUN Sheng, SHA W E I, et al. Arbitrary vortex beam synthesis with donut-shaped metasurface[J]. IEEE Transactions on Antennas and Propagation, 2022, 70(1): 573–584. doi: 10.1109/TAP.2021.3098604.
    [23] LI Quan, WU Chao, ZHANG Zhihui, et al. High-purity multi-mode vortex beam generation with full complex-amplitude-controllable metasurface[J]. IEEE Transactions on Antennas and Propagation, 2023, 71(1): 774–782. doi: 10.1109/TAP.2022.3217192.
    [24] YU Shixing, LI Long, SHI Guangming, et al. Generating multiple orbital angular momentum vortex beams using a metasurface in radio frequency domain[J]. Applied Physics Letters, 2016, 108(24): 241901. doi: 10.1063/1.4953786.
    [25] LI Nan, ZHENG Shilie, HE Tong, et al. A broadband transmissive metasurface for non-diffractive THz OAM multiplexing and communication[J]. IEEE Transactions on Antennas and Propagation, 2024, 72(3): 2161–2170. doi: 10.1109/TAP.2024.3362374.
  • 加载中
图(15) / 表(5)
计量
  • 文章访问数: 
  • HTML全文浏览量: 
  • PDF下载量: 
  • 被引次数: 0
出版历程
  • 收稿日期:  2025-11-05
  • 修回日期:  2026-03-08
  • 网络出版日期:  2026-04-15

目录

    /

    返回文章
    返回