基于参数自适应多通道变分模态分解的毫米波雷达心率估计方法

曾小路 郝慧敏 曲毅 杨小鹏 邢程荐 王紫欣

曾小路, 郝慧敏, 曲毅, 等. 基于参数自适应多通道变分模态分解的毫米波雷达心率估计方法[J]. 雷达学报(中英文), 待出版. doi: 10.12000/JR25222
引用本文: 曾小路, 郝慧敏, 曲毅, 等. 基于参数自适应多通道变分模态分解的毫米波雷达心率估计方法[J]. 雷达学报(中英文), 待出版. doi: 10.12000/JR25222
ZENG Xiaolu, HAO Huimin, QU Yi, et al. Millimeter-wave radar heart rate estimation method based on parameter-adaptive multivariate variational mode decomposition[J]. Journal of Radars, in press. doi: 10.12000/JR25222
Citation: ZENG Xiaolu, HAO Huimin, QU Yi, et al. Millimeter-wave radar heart rate estimation method based on parameter-adaptive multivariate variational mode decomposition[J]. Journal of Radars, in press. doi: 10.12000/JR25222

基于参数自适应多通道变分模态分解的毫米波雷达心率估计方法

DOI: 10.12000/JR25222 CSTR: 32380.14.JR25222
基金项目: 国家自然科学基金(62301042)
详细信息
    作者简介:

    曾小路,副研究员,主要研究方向为智能无线感知、自动驾驶(ADAS)、智能城市等多模态信息融合与智能感知

    郝慧敏,硕士生,主要研究方向为毫米波雷达心率估计

    曲 毅,本科生,主要研究方向为毫米波雷达生命体征估计

    杨小鹏,教授,主要研究方向为生命雷达、智能无线感知、相控阵雷达及自适应阵列信号处理、探地雷达技术、穿墙雷达技术

    邢程荐,硕士生,主要研究方向为毫米波雷达呼吸心率估计

    王紫欣,硕士生,主要研究方向为毫米波雷达离床检测

    通讯作者:

    杨小鹏 xiaopengyang@bit.edu.cn

    责任主编:顾昌展 Corresponding Editor: GU Changzhan

  • 中图分类号: TN957.52

Millimeter-wave Radar Heart Rate Estimation Method Based on Parameter-adaptive Multivariate Variational Mode Decomposition

Funds: The National Natural Science Foundation of China (62301042)
More Information
  • 摘要: 心率作为反映人体健康的核心生理指标,其精准监测在心律失常筛查、冠心病预警、慢性心衰管理等场景中具有重要临床意义。然而,心跳回波信号易受呼吸运动伪影、环境电磁干扰等耦合影响,导致信号信噪比降低,进而影响心率估计的准确性。针对上述问题,该文充分挖掘不同通道间的共有心跳信息,提出一种基于多变量变分模态分解(MVMD)的多通道联合心率估计方法。该方法首先构建以模态总带宽最小化为目标、以重构残差为约束的多通道联合优化模型;其次,利用多通道频谱峰值的累积效应自适应初始化中心频率,从而在多通道数据中稳健分离出具有频率一致性的心跳模态;最后,依据能量最大准则从分解模态中筛选出心率模态,完成心率估计。基于6名受试者的实测数据验证显示,该文所提出的基于多通道联合估计方法的心率中位误差为1.53 bpm,性能优于传统单通道及现有多通道融合心率估计方法。

     

  • 图  1  雷达回波采集与信号处理

    Figure  1.  Radar echo acquisition and signal processing

    图  2  距离FFT图

    Figure  2.  Distance FFT

    图  3  多通道融合距离单元索引

    Figure  3.  Range bin index based on multi-channel fusion

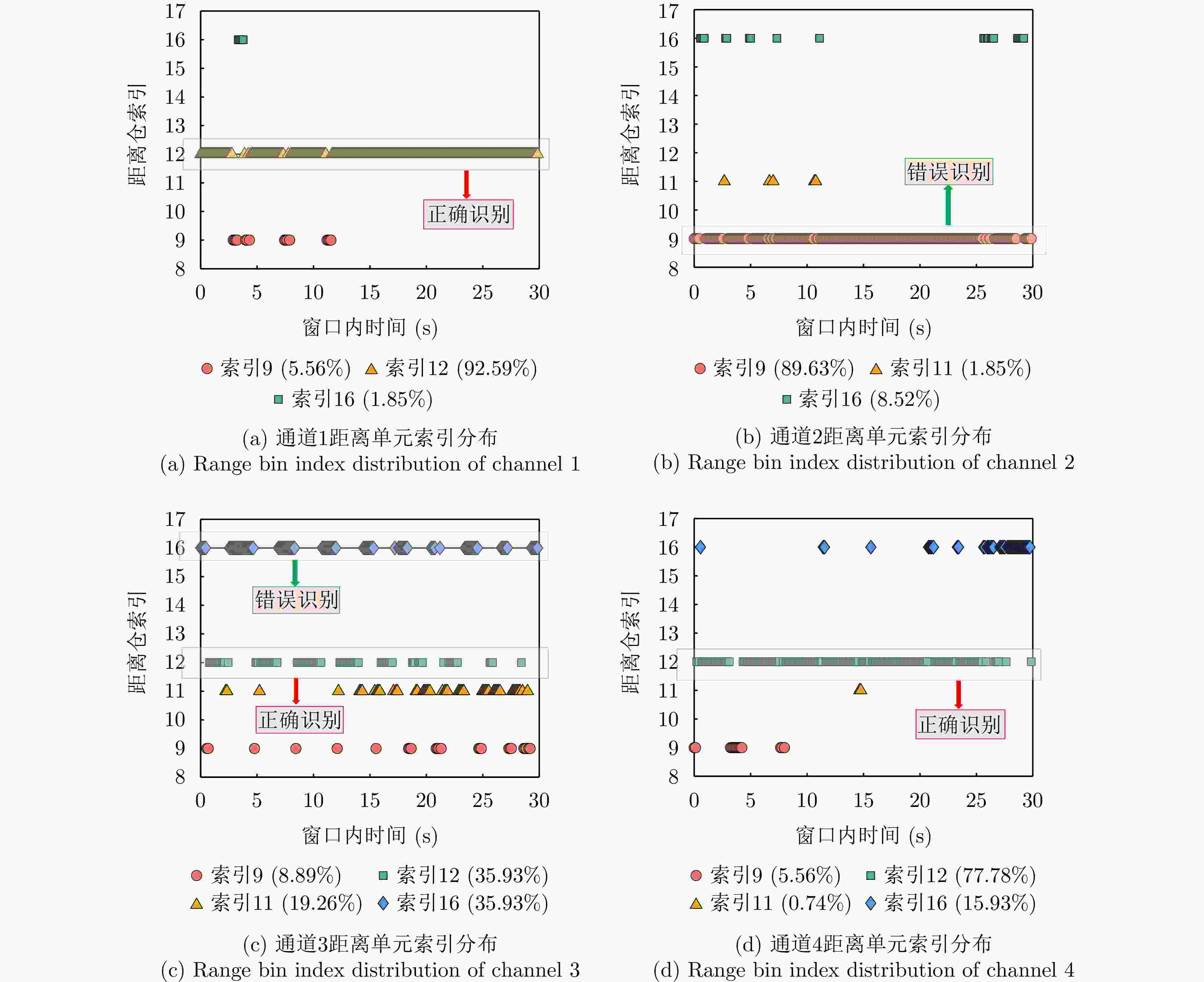
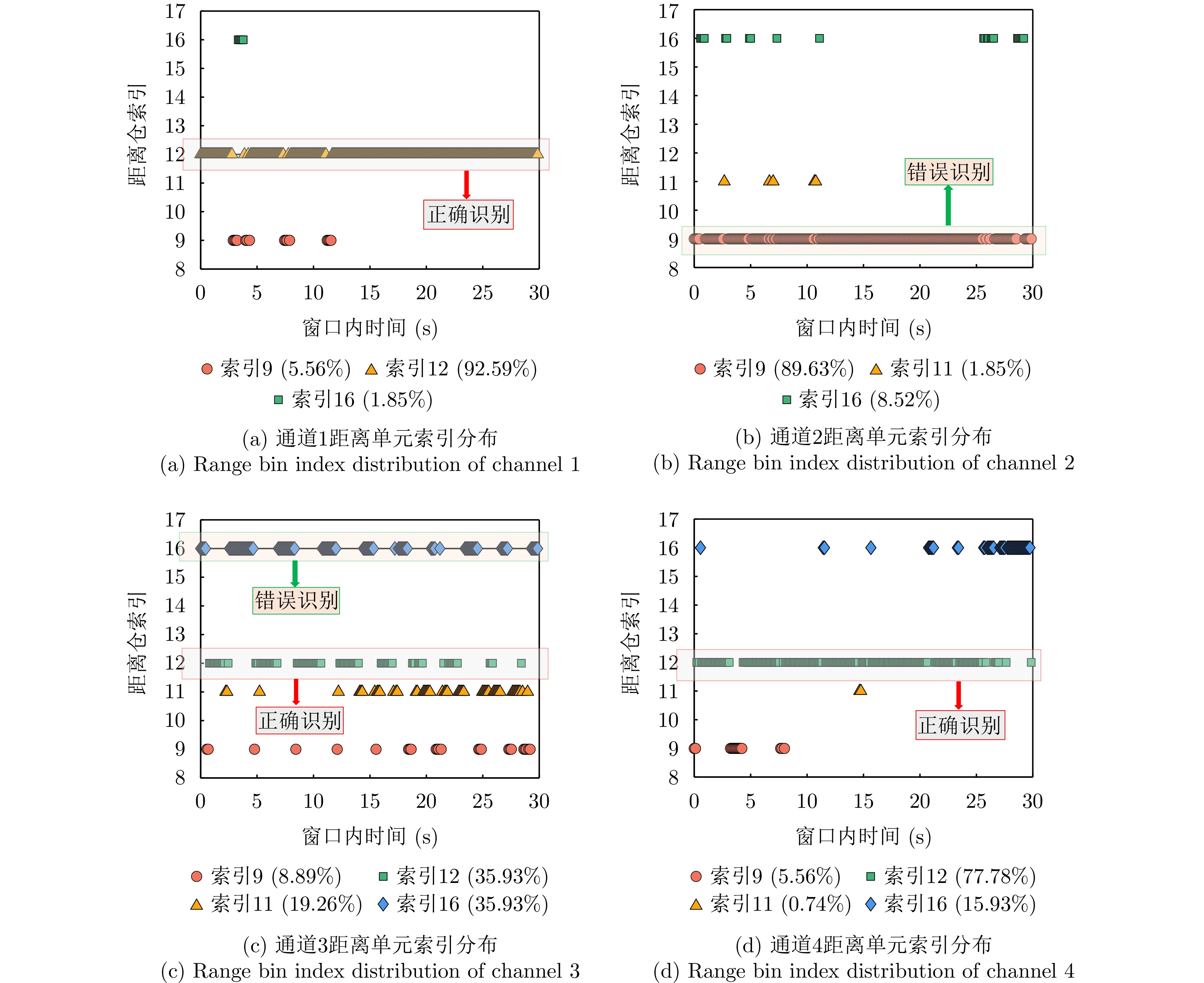
    图  4  各通道距离单元索引分布

    Figure  4.  Range bin index distribution of each channel

    图  5  各通道解缠及预处理后相位

    Figure  5.  Unwrapped and preprocessed phases of each channel

    图  6  多通道频谱累积

    Figure  6.  Multi-channel spectrum accumulation

    图  7  固定初始频率与自适应初始频率心率绝对误差结果对比

    Figure  7.  Comparison of absolute heart rate errors between fixed and adaptive initial frequencies

    图  8  MVMD分解模态

    Figure  8.  MVMD decomposed modes

    图  9  各通道MVMD分解模态波形及其能量分布

    Figure  9.  Waveforms and energy distribution of MVMD modes for each channel

    图  10  实验设备及场景

    Figure  10.  Experimental equipment and scenario

    图  11  CDM-MIMO与TDM-MIMO实验结果

    Figure  11.  Experimental results of CDM-MIMO and TDM-MIMO

    图  12  MVMD与其他方法结果对比

    Figure  12.  Comparison of results between MVMD and other methods

    图  13  多通道预处理后心率频带内的频谱特性对比

    Figure  13.  Comparison of spectral characteristics within the heart rate band following multi-channel preprocessing

    图  14  MVMD算法耗时统计

    Figure  14.  Computation time statistics of the MVMD algorithm

    图  15  不同输入信噪比下的心率估计性能对比

    Figure  15.  Comparison of heart rate estimation performance under different input signal-to-noise ratios

    图  16  不同水平距离和不同高度结果

    Figure  16.  Results at various horizontal distances and heights

    图  17  站姿坐姿场景图

    Figure  17.  Standing and seated scenario diagrams

    图  18  站姿坐姿箱线图对比

    Figure  18.  Comparison of standing and seated box plots

    图  19  不同性别结果对比

    Figure  19.  Comparison of results for different genders

    1  MVMD算法流程

    1.   Algorithm of MVMD

     1: Initialization $\hat{u}_{k,p}^1$, $\omega_k^1 $, $\lambda_p^1 $
     2: repeat
     3:  for $k\to 1$: K do
     4:   for $p\to 1$: P do Update mode $\hat{u}_{k,p}$
     5:   $\hat u_{k,p}^{n+1}(\omega)=\dfrac{\hat y_p(\omega)-\displaystyle\sum\limits_{i\neq K}\hat u_{i,p}(\omega)+\frac{\hat\lambda_p^n(\omega)}{2}}{1+2\alpha(\omega-\omega_k^n)^2} $
     6:   end for
     7:  end for
     8:  for $k\to 1$: K do Update center frequency $\omega_k$
     9:   $\omega_k^{n+1}=\frac{\displaystyle\sum\limits_{p=1}^P \displaystyle\int\limits_0^\infty \omega|u_{k,p}^{n+1}(\omega)|^2 {\mathrm{d}}\omega}{\displaystyle\sum\limits_{p=1}^P\displaystyle\int\limits_0^\infty |u_{k,p}^{n+1}(\omega)|^2 {\mathrm{d}}\omega}$
     10: end for
     11: for $p\to 1$: P do Update $\lambda_p$ for all $\omega\geq 0$
     12:  $\hat\lambda_p^{n+1}(\omega)=\hat\lambda_p^n(\omega)+\tau(\hat y_p(\omega)-\displaystyle\sum\limits_{k=1}^K\hat{u}_{k,p}^{n+1}(\omega))$
     13: end for
     14: until Convergence
     15: $\left\|\omega_k^{(n)}-\omega_k^{(n-1)}\right\|_\infty< \epsilon_1$ & $ \mathop{\max }\limits_{k,p}\left(1-\rho_k^{(n)}(p)\right)<\epsilon_2$
    下载: 导出CSV

    表  1  实测参数

    Table  1.   Measured parameters

    参数 数值
    中心频率 60.75 GHz
    调频斜率 54.7 MHz/μs
    频带宽度 3.23 GHz
    发射功率 12 dBm
    采样频率 2.95 MHz
    脉冲数 96
    帧周期 111 ms
    帧数目 2700
    下载: 导出CSV

    表  2  不同心率估计算法的计算复杂度与耗时对比

    Table  2.   Comparison of computational complexity and time consumption

    算法 时间复杂度 浮点运算次数估算 实际单窗平均耗时(s)
    VMD O (IKNlog2N) 7.35×107 0.041
    EMD O(N2) 1.62×105 0.035
    MCA O(PN) 3.24×103 0.028
    MRC O(PN) 4.32×103 0.029
    PCA O(P2N+ P3) 8.70×103 0.030
    所提MVMD方法 O(PIKNlog2N) 2.94×108 0.099
    下载: 导出CSV
  • [1] HU Shan, BOWLDS R L, GU Ye, et al. Pulse wave sensor for non-intrusive driver’s drowsiness detection[C]. 2009 Annual International Conference of the IEEE Engineering in Medicine and Biology Society, Minneapolis, USA, 2009: 2312–2315. doi: 10.1109/IEMBS.2009.5335036.
    [2] GROMER M, SALB D, WALZER T, et al. ECG sensor for detection of driver’s drowsiness[J]. Procedia Computer Science, 2019, 159: 1938–1946. doi: 10.1016/j.procs.2019.09.366.
    [3] SACCO G and PISA S. A MIMO radar for vital signs recording[C]. 2019 Photonics & Electromagnetics Research Symposium - Spring, Rome, Italy, 2019: 387–393. doi: 10.1109/PIERS-Spring46901.2019.9017283.
    [4] CARDILLO E and CADDEMI A. Radar range-breathing separation for the automatic detection of humans in cluttered environments[J]. IEEE Sensors Journal, 2021, 21(13): 14043–14050. doi: 10.1109/JSEN.2020.3024961.
    [5] CORMAN B H P, RAJUPET S, YE Fan, et al. The role of unobtrusive home-based continuous sensing in the management of postacute sequelae of SARS CoV-2[J]. Journal of Medical Internet Research, 2022, 24(1): e32713. doi: 10.2196/32713.
    [6] KIM J D, LEE W H, LEE Y, et al. Non-contact respiration monitoring using impulse radio ultrawideband radar in neonates[J]. Royal Society Open Science, 2019, 6(6): 190149. doi: 10.1098/rsos.190149.
    [7] HÄMÄLÄINEN M, MUCCHI L, CAPUTO S, et al. Ultra-wideband radar-based indoor activity monitoring for elderly care[J]. Sensors, 2021, 21(9): 3158. doi: 10.3390/s21093158.
    [8] TSAI C Y, CHANG N C, FANG H C, et al. A novel non-contact self-injection-locked radar for vital sign sensing and body movement monitoring in COVID-19 isolation ward[J]. Journal of Medical Systems, 2020, 44(10): 177. doi: 10.1007/s10916-020-01637-z.
    [9] AARDAL Ø, PAICHARD Y, BROVOLL S, et al. Physical working principles of medical radar[J]. IEEE Transactions on Biomedical Engineering, 2013, 60(4): 1142–1149. doi: 10.1109/TBME.2012.2228263.
    [10] GARBEY M, MERLA A, and PAVLIDIS I. Estimation of blood flow speed and vessel location from thermal video[C]. 2004 IEEE Computer Society Conference on Computer Vision and Pattern Recognition, Washington, USA, 2004: I. doi: 10.1109/CVPR.2004.1315054.
    [11] KHANAM F T Z, AL-NAJI A, PERERA A G, et al. Non-contact automatic vital signs monitoring of neonates in NICU using video camera imaging[J]. Computer Methods in Biomechanics and Biomedical Engineering: Imaging & Visualization, 2023, 11(2): 278–285. doi: 10.1080/21681163.2022.2069598.
    [12] WANG Beibei, XU Qinyi, CHEN Chen, et al. The promise of radio analytics: A future paradigm of wireless positioning, tracking, and sensing[J]. IEEE Signal Processing Magazine, 2018, 35(3): 59–80. doi: 10.1109/MSP.2018.2806300.
    [13] LIU K J R and WANG Beibei. Wireless AI: Wireless Sensing, Positioning, IoT, and Communications[M]. Cambridge, UK: Cambridge University Press, 2019: 199–227.
    [14] CIANCA E, DE SANCTIS M, and DI DOMENICO S. Radios as sensors[J]. IEEE Internet of Things Journal, 2017, 4(2): 363–373. doi: 10.1109/JIOT.2016.2563399.
    [15] XIE Wangdong, GAN Liangyu, HUANG Leilei, et al. A real-time respiration monitoring system using WiFi sensing based on the concentric circle model[J]. IEEE Transactions on Biomedical Circuits and Systems, 2023, 17(2): 157–168. doi: 10.1109/TBCAS.2022.3229435.
    [16] QIU Jiefan, ZHENG Pan, CHI Kaikai, et al. Respiration monitoring in high-dynamic environments via combining multiple WiFi channels based on wire direct connection between RX/TX[J]. IEEE Internet of Things Journal, 2023, 10(2): 1558–1573. doi: 10.1109/JIOT.2022.3209172.
    [17] HA U, ASSANA S, and ADIB F. Contactless seismocardiography via deep learning radars[C]. The 26th Annual International Conference on Mobile Computing and Networking, London, UK, 2020: 62. doi: 10.1145/3372224.3419982.
    [18] WEISHAUPT F, WALTERSCHEID I, BIALLAWONS O, et al. Vital sign localization and measurement using an LFMCW MIMO radar[C]. The 2018 19th International Radar Symposium, Bonn, Germany, 2018: 1–8. doi: 10.23919/IRS.2018.8448229.
    [19] WANG Wen, WANG Yong, ZHOU Mu, et al. A novel vital sign sensing algorithm for multiple people detection based on FMCW radar[C]. 2020 IEEE Asia-Pacific Microwave Conference, Hong Kong, China, 2020: 1104–1106. doi: 10.1109/APMC47863.2020.9331552.
    [20] SINGH A, YONGCHAREON S, REHMAN S U, et al. A real-time beam steering and accurate vital sign estimation method in an indoor environment[J]. IEEE Internet of Things Journal, 2024, 11(18): 30278–30292. doi: 10.1109/JIOT.2024.3410209.
    [21] WANG Fengyu, ZHANG Feng, WU Chenshu, et al. ViMo: Multiperson vital sign monitoring using commodity millimeter-wave radio[J]. IEEE Internet of Things Journal, 2021, 8(3): 1294–1307. doi: 10.1109/JIOT.2020.3004046.
    [22] ZHANG Jinhong, QIU Jiefan, WANG Ke, et al. Millimeter-wave radar-based unsteady vital signs monitoring for smart home[C]. IEEE International Conference on Communications, Denver, USA, 2024: 3358–3364. doi: 10.1109/ICC51166.2024.10622996.
    [23] AHMAD A, ROH J C, WANG Dan, et al. Vital signs monitoring of multiple people using a FMCW millimeter-wave sensor[C]. 2018 IEEE Radar Conference, Oklahoma City, USA, 2018: 1450–1455. doi: 10.1109/RADAR.2018.8378778.
    [24] 胡锡坤, 金添. 基于自适应小波尺度选择的生物雷达呼吸与心跳分离方法[J]. 雷达学报, 2016, 5(5): 462–469. doi: 10.12000/JR16103.

    HU Xikun and JIN Tian. Adaptive wavelet scale selection-based method for separating respiration and heartbeat in bio-radars[J]. Journal of Radars, 2016, 5(5): 462–469. doi: 10.12000/JR16103.
    [25] HUANG N E, SHEN Zhen, LONG S R, et al. The empirical mode decomposition and the Hilbert spectrum for nonlinear and non-stationary time series analysis[J]. Proceedings of the Royal Society A: Mathematical, Physical and Engineering Sciences, 1998, 454(1971): 903–995. doi: 10.1098/rspa.1998.0193.
    [26] 倪杰, 王勇, 杨小龙, 等. 基于毫米波雷达的心率变异性检测方法[J]. 移动通信, 2024, 48(12): 103–115. doi: 10.3969/j.issn.1006-1010.20241024-0001.

    NI Jie, WANG Yong, YANG Xiaolong, et al. Heart rate variability detection method based on millimeter wave radar[J]. Mobile Communications, 2024, 48(12): 103–115. doi: 10.3969/j.issn.1006-1010.20241024-0001.
    [27] 屈乐乐, 刘淑杰, 杨天虹, 等. 基于多通道的调频连续波雷达生命信号提取[J]. 电子与信息学报, 2022, 44(4): 1318–1326. doi: 10.11999/JEIT211073.

    QU Lele, LIU Shujie, YANG Tianhong, et al. Life signal extraction based on multi-channel frequency modulated continuous wave radar[J]. Journal of Electronics & Information Technology, 2022, 44(4): 1318–1326. doi: 10.11999/JEIT211073.
    [28] TANG Shiqing, WANG Jinwei, LIU Yunxue, et al. A millimeter-wave radar heartbeat detection method based on multi-channel accumulation and Root-MUSIC frequency estimation[C]. The 2025 IEEE 8th International Conference on Electronic Information and Communication Technology, Weihai, China, 2025: 316–321. doi: 10.1109/ICEICT66683.2025.11159940.
    [29] GU Changzhan, LI Changzhi, LIN J, et al. Instrument-based noncontact Doppler radar vital sign detection system using heterodyne digital quadrature demodulation architecture[J]. IEEE Transactions on Instrumentation and Measurement, 2010, 59(6): 1580–1588. doi: 10.1109/TIM.2009.2028208.
    [30] REHMAN N U and AFTAB H. Multivariate variational mode decomposition[J]. IEEE Transactions on Signal Processing, 2019, 67(23): 6039–6052. doi: 10.1109/TSP.2019.2951223.
    [31] DRAGOMIRETSKIY K and ZOSSO D. Variational mode decomposition[J]. IEEE Transactions on Signal Processing, 2014, 62(3): 531–544. doi: 10.1109/TSP.2013.2288675.
    [32] RONG Yu, DUTTA A, CHIRIYATH A, et al. Motion-tolerant non-contact heart-rate measurements from radar sensor fusion[J]. Sensors, 2021, 21(5): 1774. doi: 10.3390/s21051774.
    [33] YANG Xiuzhu, ZHANG Xinyue, DING Yi, et al. Indoor activity and vital sign monitoring for moving people with multiple radar data fusion[J]. Remote Sensing, 2021, 13(18): 3791. doi: 10.3390/rs13183791.
    [34] GOTTINGER M, NOTARI N, DUTLER S, et al. Key vital signs monitor based on MIMO radar[J]. Sensors, 2025, 25(13): 4081. doi: 10.3390/s25134081.
  • 加载中
图(19) / 表(3)
计量
  • 文章访问数: 
  • HTML全文浏览量: 
  • PDF下载量: 
  • 被引次数: 0
出版历程
  • 收稿日期:  2025-11-03
  • 修回日期:  2026-01-29
  • 网络出版日期:  2026-03-20

目录

    /

    返回文章
    返回