基于变分边缘化粒子滤波的车载雷达扩展目标跟踪

周浩文 王奇

周浩文, 王奇. 基于变分边缘化粒子滤波的车载雷达扩展目标跟踪[J]. 雷达学报(中英文), 2025, 14(5): 1306–1322. doi: 10.12000/JR25005
引用本文: 周浩文, 王奇. 基于变分边缘化粒子滤波的车载雷达扩展目标跟踪[J]. 雷达学报(中英文), 2025, 14(5): 1306–1322. doi: 10.12000/JR25005
ZHOU Haowen and WANG Qi. Extended object tracking based on variational marginalized particle filter for automotive radar[J]. Journal of Radars, 2025, 14(5): 1306–1322. doi: 10.12000/JR25005
Citation: ZHOU Haowen and WANG Qi. Extended object tracking based on variational marginalized particle filter for automotive radar[J]. Journal of Radars, 2025, 14(5): 1306–1322. doi: 10.12000/JR25005

基于变分边缘化粒子滤波的车载雷达扩展目标跟踪

DOI: 10.12000/JR25005 CSTR: 32380.14.JR25005
详细信息
    作者简介:

    周浩文,博士,主要研究方向为车载毫米波雷达数据处理、信息融合、非线性估计与滤波

    王 奇,硕士,主要研究方向为车载毫米波雷达数据处理

    通讯作者:

    周浩文 zhouhaowen@nuaa.edu.cn

    责任主编:黄岩 Corresponding Editor: HUANG Yan

  • 中图分类号: TN911.7

Extended Object Tracking Based on Variational Marginalized Particle Filter for Automotive Radar

More Information
  • 摘要: 车载毫米波雷达量测由极坐标系下的位置坐标与多普勒速度组成,其与笛卡儿坐标系下建模的扩展目标状态具有复杂的非线性关系。针对以上非线性状态估计问题,提出一种基于变分边缘化粒子滤波的扩展目标跟踪算法。首先,采用椭圆对目标二维平面轮廓建模,显式定义轮廓朝向角,构建参数化的逆伽马分布作为轮廓尺寸的共轭先验分布;其次,引入量测源位置作为辅助变量,建立适用于毫米波雷达的扩展目标量测模型;然后,为了改善复杂机动目标轮廓估计性能,基于边缘化思想,利用粒子滤波算法独立估计轮廓朝向角的后验分布,并在变分贝叶斯推断框架内,迭代求解剩余状态变量(包括目标中心运动状态、轮廓尺寸)后验分布的近似解析表达式。仿真实验结果表明,所提算法相比于已有算法能够获得更高的状态估计精度,在跟踪机动目标时,对轮廓朝向角与尺寸的估计性能优势更加明显。

     

  • 图  1  基于车载毫米波雷达的扩展目标

    Figure  1.  Extended object tracking based on automotive millimeter-wave radar

    图  2  基于VMPF-EOT算法的扩展目标跟踪

    Figure  2.  Extended object tracking based on VMPF-EOT

    图  3  目标真实转弯率

    Figure  3.  True object turn rate

    图  4  目标轮廓估计结果

    Figure  4.  Estimation results of object contour state

    图  5  目标运动估计结果

    Figure  5.  Estimation results of object motion state

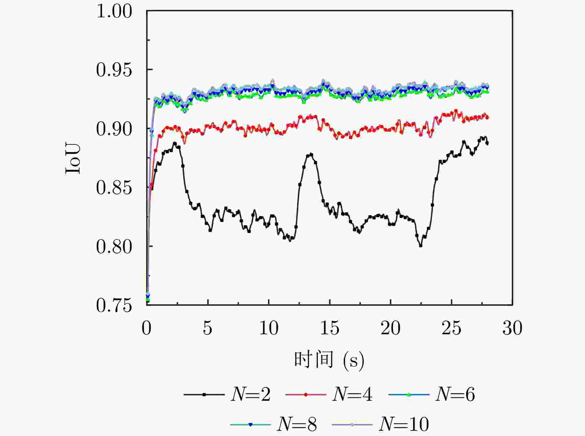
    图  6  VMPF-EOT算法在粒子数不同时的轮廓估计精度

    Figure  6.  Contour estimation accuracy of VMPF-EOT algorithm with different particle numbers

    图  7  VMPF-EOT算法在迭代次数不同时的估计结果

    Figure  7.  Estimation results of VMPF-EOT algorithm with different iteration numbers

    1  基于变分边缘化粒子滤波的扩展目标跟踪算法

    1.   Variational marginalized particle filtering based extended object tracking algorithm

     输入:分布参数$\{{\bar{\boldsymbol{x}}}_{k-1\left|k-1\right.}^{\left(i\right)},{\boldsymbol{P}}_{k-1\left|k-1\right.}^{\left(i\right)},\{{\alpha }_{k-1\left|k-1\right.}^{t,\left(i\right)} $,
     $ {\beta }_{k-1\left|k-1\right.}^{t,\left(i\right)}\}_{t=1}^{{n}_{\boldsymbol{y}}^{p}},\;{\theta }_{k-1}^{\left(i\right)},\;{w}_{k-1}^{\left(i\right)}\}_{i=1}^{N} $,量测 $ {\boldsymbol{Y}}_{k} $.
     输出:分布参数$ \{{\bar{\boldsymbol{x}}}_{k\left|k\right.}^{\left(i\right)},{\boldsymbol{P}}_{k\left|k\right.}^{\left(i\right)},{\{{\alpha }_{k\left|k\right.}^{t,\left(i\right)},{\beta }_{k\left|k\right.}^{t,\left(i\right)}\}}_{t=1}^{{n}_{\boldsymbol{y}}^{p}}, $
     $ {\theta }_{k}^{\left(i\right)},{w}_{k}^{\left(i\right)}\}_{i=1}^{N} $.
     步骤1 状态预测:
         (1) 轮廓朝向角预测:根据式(17),采样新粒子集
         $ {\left\{{\theta }_{k}^{\left(i\right)}\right\}}_{k=1}^{N} $;
         (2) 运动状态与轮廓尺寸预测:
          for i = 1, 2, ···, N
           根据式(20)和式(21),计算$ p\left({\boldsymbol{x}}_{k}\left|{\theta }_{k}^{\left(i\right)},{\boldsymbol{Y}}_{1:k-1}\right.\right) $;
           根据式(23)和式(24),计算$ p\left({\boldsymbol{X}}_{k}\left|{\theta }_{k}^{\left(i\right)},{\boldsymbol{Y}}_{1:k-1}\right.\right) $;
          end for
     步骤2 量测更新:
         (1) 运动状态与轮廓尺寸更新:
          for i = 1, 2, ···, N
           初始化:
           $ {\bar{\boldsymbol{x}}}_{k\left|k\right.}^{\left(i\right),0}={\bar{\boldsymbol{x}}}_{k\left|k-1\right.}^{\left(i\right)},{\boldsymbol{P}}_{k\left|k\right.}^{\left(i\right),0}={\boldsymbol{P}}_{k\left|k-1\right.}^{\left(i\right)} $;
           $ {\alpha }_{k\left|k\right.}^{t,\left(i\right),0}={\alpha }_{k\left|k\right.-1}^{t,\left(i\right)},{\beta }_{k\left|k\right.}^{t,\left(i\right),0}={\beta }_{k\left|k\right.-1}^{t,\left(i\right)}(t=1,2,\cdots, {n}_{\boldsymbol{y}}^{p}) $;
           $ {\bar{\boldsymbol{z}}}_{k}^{p,\left(i\right),j,0}={\boldsymbol{y}}_{k}^{p,j},{\boldsymbol{\varSigma }}_{k}^{{\boldsymbol{z}}^{p},\left(i\right),j,0}=s{\bar{\boldsymbol{X}}}_{k}(j=1,2,\cdots ,{m}_{k}) $;
           for l = 1, 2,···, $\ell_{\max} $
            根据式(35)—式(37),计算$ {q}_{\boldsymbol{x}}^{\left(i\right),\ell }\left({\boldsymbol{x}}_{k}\right) $;
            根据式(42)—式(44),计算$ {q}_{{\boldsymbol{X}}}^{\left(i\right),\ell }\left({\boldsymbol{X}}_{k}\right); $
            根据式(47)—式(49),计算$ {q}_{{\boldsymbol{Z}}^{p}}^{\left(i\right),\ell }\left({\boldsymbol{Z}}_{k}^{p}\right); $
           end for
          end for
         (2) 轮廓朝向角更新:
          for i = 1, 2,···, N
           根据式(63),计算$ p\left({\boldsymbol{Y}}_{k}|{\theta }_{k}^{\left(i\right)},{\boldsymbol{Y}}_{1:k}\right); $
           根据式(60),计算$ {w}_{k}^{\left(i\right)}; $
          end for
          根据式(67),归一化权值;
          若$ {N}_{e} $低于阈值,对粒子重采样.
    下载: 导出CSV

    表  1  仿真参数

    Table  1.   Simulation parameters

    参数 数值
    粒子数N 10
    最大迭代次数$ {\ell }_{\max} $ 5
    过程噪声参数$ {q}_{1} $ 0.1
    过程噪声参数$ {q}_{2} $ 0.1
    轮廓朝向角过程噪声方差$ {Q}_{k}^{\theta } $ 0.005
    遗忘因子$ {\rho }_{k} $ 0.99
    重采样阈值$ {N}_{{\mathrm{thr}}} $ $ 0.2N $
    轮廓缩放系数s $ 1/4 $
    下载: 导出CSV

    表  2  各算法的平均单步长运行时间

    Table  2.   Average single-step running time of various algorithms

    算法运行时间(ms)
    RM-EOT0.0653
    MEM-EKF0.3274
    MEM-EKF-D0.4659
    VMPF-EOT0.7238
    VMPF-EOT(并行计算)0.2587
    下载: 导出CSV
  • [1] PANDHARIPANDE A, CHENG C H, DAUWELS J, et al. Sensing and machine learning for automotive perception: A review[J]. IEEE Sensors Journal, 2023, 23(11): 11097–11115. doi: 10.1109/JSEN.2023.3262134.
    [2] 张新钰, 卢毅果, 高鑫, 等. 面向智能网联汽车的车路协同感知技术及发展趋势[J]. 自动化学报, 2025, 51(2): 233–248. doi: 10.16383/j.aas.c230575.

    ZHANG Xinyu, LU Yiguo, GAO Xin, et al. Vehicle-road collaborative perception technology and development trend for intelligent connected vehicles[J]. Acta Automatica Sinica, 2025, 51(2): 233–248. doi: 10.16383/j.aas.c230575.
    [3] ZHANG Yuxiao, CARBALLO A, YANG Hanting, et al. Perception and sensing for autonomous vehicles under adverse weather conditions: A survey[J]. ISPRS Journal of Photogrammetry and Remote Sensing, 2023, 196: 146–177. doi: 10.1016/j.isprsjprs.2022.12.021.
    [4] SRIVASTAV A and MANDAL S. Radars for autonomous driving: A review of deep learning methods and challenges[J]. IEEE Access, 2023, 11: 97147–97168. doi: 10.1109/ACCESS.2023.3312382.
    [5] 黄岩, 张慧, 兰吕鸿康, 等. 汽车毫米波雷达信号处理技术综述[J]. 雷达学报, 2023, 12(5): 923–970. doi: 10.12000/JR23119.

    HUANG Yan, ZHANG Hui, LAN Lyuhongkang, et al. Overview of signal processing techniques for automotive millimeter-wave radar[J]. Journal of Radars, 2023, 12(5): 923–970. doi: 10.12000/JR23119.
    [6] PATOLE S M, TORLAK M, WANG Dan, et al. Automotive radars: A review of signal processing techniques[J]. IEEE Signal Processing Magazine, 2017, 34(2): 22–35. doi: 10.1109/MSP.2016.2628914.
    [7] ZHUANG Yuan, WANG Binliang, HUAI Jianzhu, et al. 4D iRIOM: 4D imaging radar inertial odometry and mapping[J]. IEEE Robotics and Automation Letters, 2023, 8(6): 3246–3253. doi: 10.1109/LRA.2023.3266669.
    [8] MEYER F and WILLIAMS J L. Scalable detection and tracking of geometric extended objects[J]. IEEE Transactions on Signal Processing, 2021, 69: 6283–6298. doi: 10.1109/TSP.2021.3121631.
    [9] XIA Yuxuan, GARCÍA-FERNÁNDEZ Á F, MEYER F, et al. Trajectory PMB filters for extended object tracking using belief propagation[J]. IEEE Transactions on Aerospace and Electronic Systems, 2023, 59(6): 9312–9331. doi: 10.1109/TAES.2023.3317233.
    [10] GRANSTRÖM K, FATEMI M, and SVENSSON L. Poisson multi-bernoulli mixture conjugate prior for multiple extended target filtering[J]. IEEE Transactions on Aerospace and Electronic Systems, 2020, 56(1): 208–225. doi: 10.1109/TAES.2019.2920220.
    [11] GRANSTRÖM K, BAUM M, and REUTER S. Extended object tracking: Introduction, overview, and applications[J]. Journal of Advances in Information Fusion, 2017, 12(2): 139–174.
    [12] YURDAKUL O C, ÇETINKAYA M, ÇELEBI E, et al. A Rao-Blackwellized particle filter for superelliptical extended target tracking[C]. The 2024 27th International Conference on Information Fusion, Venice, Italy, 2024: 1–8. doi: 10.23919/FUSION59988.2024.10706504.
    [13] KOCH J W. Bayesian approach to extended object and cluster tracking using random matrices[J]. IEEE Transactions on Aerospace and Electronic Systems, 2008, 44(3): 1042–1059. doi: 10.1109/TAES.2008.4655362.
    [14] LAN Jian and LI Xiaorong. Tracking of extended object or target group using random matrix: New model and approach[J]. IEEE Transactions on Aerospace and Electronic Systems, 2016, 52(6): 2973–2989. doi: 10.1109/TAES.2016.130346.
    [15] FELDMANN M, FRÄNKEN D, and KOCH W. Tracking of extended objects and group targets using random matrices[J]. IEEE Transactions on Signal Processing, 2011, 59(4): 1409–1420. doi: 10.1109/TSP.2010.2101064.
    [16] ORGUNER U. A variational measurement update for extended target tracking with random matrices[J]. IEEE Transactions on Signal Processing, 2012, 60(7): 3827–3834. doi: 10.1109/TSP.2012.2192927.
    [17] YANG Shishan and BAUM M. Tracking the orientation and axes lengths of an elliptical extended object[J]. IEEE Transactions on Signal Processing, 2019, 67(18): 4720–4729. doi: 10.1109/TSP.2019.2929462.
    [18] GRAMSCH C, YANG Shishan, and ALQADERI H. A batch update using multiplicative noise modelling for extended object tracking[C]. The 2024 27th International Conference on Information Fusion, Venice, Italy, 2024: 1–8. doi: 10.23919/FUSION59988.2024.10706375.
    [19] ZHANG Le and LAN Jian. Tracking of extended object using random matrix with non-uniformly distributed measurements[J]. IEEE Transactions on Signal Processing, 2021, 69: 3812–3825. doi: 10.1109/TSP.2021.3090946.
    [20] STEUERNAGEL S, THORMANN K, and BAUM M. Random matrix-based tracking of rectangular extended objects with contour measurements[C]. The 2024 27th International Conference on Information Fusion, Venice, Italy, 2024: 1–8. doi: 10.23919/FUSION59988.2024.10706288.
    [21] CAO Xiaomeng, LAN Jian, LIU Yushuang, et al. Tracking of rectangular object using key points with regionally concentrated measurements[J]. IEEE Transactions on Intelligent Transportation Systems, 2024, 25(6): 5312–5327. doi: 10.1109/TITS.2023.3332606.
    [22] XIA Yuxuan, WANG Pu, BERNTORP K, et al. Learning-based extended object tracking using hierarchical truncation measurement model with automotive radar[J]. IEEE Journal of Selected Topics in Signal Processing, 2021, 15(4): 1013–1029. doi: 10.1109/JSTSP.2021.3058062.
    [23] TUNCER B, ORGUNER U, and ÖZKAN E. Multi-ellipsoidal extended target tracking with variational bayes inference[J]. IEEE Transactions on Signal Processing, 2022, 70: 3921–3934. doi: 10.1109/TSP.2022.3192617.
    [24] BAUM M and HANEBECK U D. Extended object tracking with random hypersurface models[J]. IEEE Transactions on Aerospace and Electronic Systems, 2014, 50(1): 149–159. doi: 10.1109/TAES.2013.120107.
    [25] WAHLSTRÖM N and ÖZKAN E. Extended target tracking using Gaussian processes[J]. IEEE Transactions on Signal Processing, 2015, 63(16): 4165–4178. doi: 10.1109/TSP.2015.2424194.
    [26] 郭云飞, 李勇, 任昕, 等. 基于高斯过程的多机动扩展目标跟踪[J]. 自动化学报, 2020, 46(11): 2392–2403. doi: 10.16383/j.aas.c180849.

    GUO Yunfei, LI Yong, REN Xin, et al. Multiple maneuvering extended target tracking based on Gaussian process[J]. Acta Automatica Sinica, 2020, 46(11): 2392–2403. doi: 10.16383/j.aas.c180849.
    [27] 陈辉, 边斌超, 连峰, 等. 基于Transformer复杂运动辨识的机动星凸形扩展目标跟踪方法[J]. 雷达学报(中英文), 2024, 13(3): 629–645. doi: 10.12000/JR24031.

    CHEN Hui, BIAN Binchao, LIAN Feng, et al. A novel method for tracking complex maneuvering star convex extended targets using Transformer network[J]. Journal of Radars, 2024, 13(3): 629–645. doi: 10.12000/JR24031.
    [28] LAN Jian. Extended object tracking using random matrix with extension-dependent measurement numbers[J]. IEEE Transactions on Aerospace and Electronic Systems, 2023, 59(4): 4464–4477. doi: 10.1109/TAES.2023.3241888.
    [29] ŞAHIN K K, BALCI A E, and ÖZKAN E. Random matrix extended target tracking for trajectory-aligned and drifting targets[J]. IET Radar, Sonar & Navigation, 2024, 18(11): 2247–2263. doi: 10.1049/rsn2.12628.
    [30] WEN Zheng, LAN Jian, ZHENG Le, et al. Velocity-dependent orientation estimation using variance adaptation for extended object tracking[J]. IEEE Signal Processing Letters, 2024, 31: 3109–3113. doi: 10.1109/LSP.2024.3492718.
    [31] 李佳彤, 杨金龙. 基于PMBM滤波的机动非椭圆扩展目标跟踪算法[J]. 信号处理, 2023, 39(6): 1108–1119. doi: 10.16798/j.issn.1003-0530.2023.06.016.

    LI Jiatong and YANG Jinlong. A maneuvering non-ellipsoidal extended target tracking algorithm based on PMBM filter[J]. Journal of Signal Processing, 2023, 39(6): 1108–1119. doi: 10.16798/j.issn.1003-0530.2023.06.016.
    [32] LI Guchong, LI Gang, and HE You. PMBM-based unresolved-group object tracking[J]. IEEE Transactions on Aerospace and Electronic Systems, 2024, 60(4): 4229–4240. doi: 10.1109/TAES.2024.3373561.
    [33] GARCÍA-FERNÁNDEZ Á F, XIA Yuxuan, and SVENSSON L. Poisson multi-bernoulli mixture filter with general target-generated measurements and arbitrary clutter[J]. IEEE Transactions on Signal Processing, 2023, 71: 1895–1906. doi: 10.1109/TSP.2023.3278944.
    [34] 陈辉, 张丁丁, 连峰, 等. 扩展目标跟踪Student’s t逆Wishart平滑算法[J]. 电子与信息学报, 2024, 46(8): 3353–3362. doi: 10.11999/JEIT231145.

    CHEN Hui, ZHANG Dingding, LIAN Feng, et al. Student’s t inverse Wishart smoothing algorithm for extended target tracking[J]. Journal of Electronics & Information Technology, 2024, 46(8): 3353–3362. doi: 10.11999/JEIT231145.
    [35] GRANSTRÖM K, NATALE A, BRACA P, et al. Gamma Gaussian inverse Wishart probability hypothesis density for extended target tracking using X-band marine radar data[J]. IEEE Transactions on Geoscience and Remote Sensing, 2015, 53(12): 6617–6631. doi: 10.1109/TGRS.2015.2444794.
    [36] LAN Jian and LI Xiaorong. Extended-object or group-target tracking using random matrix with nonlinear measurements[J]. IEEE Transactions on Signal Processing, 2019, 67(19): 5130–5142. doi: 10.1109/TSP.2019.2935866.
    [37] THORMANN K and BAUM M. Incorporating range rate measurements in EKF-based elliptical extended object tracking[C]. The 2021 IEEE International Conference on Multisensor Fusion and Integration for Intelligent Systems, Karlsruhe, Germany, 2021: 1–6. doi: 10.1109/MFI52462.2021.9591170.
    [38] KELLNER D, BARJENBRUCH M, KLAPPSTEIN J, et al. Tracking of extended objects with high-resolution Doppler radar[J]. IEEE Transactions on Intelligent Transportation Systems, 2016, 17(5): 1341–1353. doi: 10.1109/TITS.2015.2501759.
    [39] SCHON T, GUSTAFSSON F, and NORDLUND P J. Marginalized particle filters for mixed linear/nonlinear state-space models[J]. IEEE Transactions on Signal Processing, 2005, 53(7): 2279–2289. doi: 10.1109/TSP.2005.849151.
    [40] MUSTIERE F, BOLIC M, and BOUCHARD M. Rao-Blackwellised particle filters: Examples of applications[C]. The 2006 Canadian Conference on Electrical and Computer Engineering, Ottawa, ON, Canada, 2006: 1196–1200. doi: 10.1109/CCECE.2006.277461.
    [41] DOUCET A, DE FREITAS N, MURPHY K, et al. Rao-Blackwellised particle filtering for dynamic Bayesian networks[C]. The Sixteenth Conference on Uncertainty in Artificial Intelligence, Stanford, California, 2000: 176–183. doi: 10.5555/2073946.2073968.
    [42] CHENG Cheng, TOURNERET J Y, and LU Xiaodong. A marginalised particle filter with variational inference for non-linear state-space models with Gaussian mixture noise[J]. IET Radar, Sonar & Navigation, 2022, 16(2): 238–248. doi: 10.1049/rsn2.12179.
    [43] BADAR T, SÄRKKÄ S, ZHAO Zheng, et al. Rao-Blackwellized particle filter using noise adaptive Kalman filter for fully mixing state-space models[J]. IEEE Transactions on Aerospace and Electronic Systems, 2024, 60(5): 6972–6982. doi: 10.1109/TAES.2024.3409644.
    [44] CHENG Cheng and TOURNERET J Y. A variational marginalized particle filter for jump Markov nonlinear systems with unknown transition probabilities[J]. Signal Processing, 2021, 188: 108226. doi: 10.1016/j.sigpro.2021.108226.
    [45] TZIKAS D G, LIKAS A C, and GALATSANOS N P. The variational approximation for Bayesian inference[J]. IEEE Signal Processing Magazine, 2008, 25(6): 131–146. doi: 10.1109/MSP.2008.929620.
    [46] BISHOP C M. Pattern Recognition and Machine Learning[M]. New York: Springer, 2006: 462–465.
    [47] ARULAMPALAM M S, MASKELL S, GORDON N, et al. A tutorial on particle filters for online nonlinear/non-Gaussian Bayesian tracking[J]. IEEE Transactions on Signal Processing, 2002, 50(2): 174–188. doi: 10.1109/78.978374.
    [48] 胡玉梅, 潘泉, 胡振涛, 等. 基于自然梯度的噪声自适应变分贝叶斯滤波算法[J]. 自动化学报, 2023, 49(10): 2094–2108. doi: 10.16383/j.aas.c210964.

    HU Yumei, PAN Quan, HU Zhentao, et al. A novel noise adaptive variational Bayesian filter using natural gradient[J]. Acta Automatica Sinica, 2023, 49(10): 2094–2108. doi: 10.16383/j.aas.c210964.
  • 加载中
图(7) / 表(3)
计量
  • 文章访问数: 
  • HTML全文浏览量: 
  • PDF下载量: 
  • 被引次数: 0
出版历程
  • 收稿日期:  2025-01-03
  • 修回日期:  2025-05-01
  • 网络出版日期:  2025-06-20
  • 刊出日期:  2025-10-28

目录

    /

    返回文章
    返回