时空耦合模型驱动的激光雷达多目标回波轻量化检测算法

肖振 谷延锋 蒋彦泽 李贤

肖振, 谷延锋, 蒋彦泽, 等. 时空耦合模型驱动的激光雷达多目标回波轻量化检测算法[J]. 雷达学报(中英文), 2025, 14(3): 548–561. doi: 10.12000/JR24245
引用本文: 肖振, 谷延锋, 蒋彦泽, 等. 时空耦合模型驱动的激光雷达多目标回波轻量化检测算法[J]. 雷达学报(中英文), 2025, 14(3): 548–561. doi: 10.12000/JR24245
XIAO Zhen, GU Yanfeng, JIANG Yanze, et al. Full-waveform small-footprint LiDAR multi-target echo waveform lightweight detection by spatio-temporal coupling models[J]. Journal of Radars, 2025, 14(3): 548–561. doi: 10.12000/JR24245
Citation: XIAO Zhen, GU Yanfeng, JIANG Yanze, et al. Full-waveform small-footprint LiDAR multi-target echo waveform lightweight detection by spatio-temporal coupling models[J]. Journal of Radars, 2025, 14(3): 548–561. doi: 10.12000/JR24245

时空耦合模型驱动的激光雷达多目标回波轻量化检测算法

DOI: 10.12000/JR24245 CSTR: 32380.14.JR24245
基金项目: 国家重大科研仪器研制项目(62327803),激光空间信息全国重点实验室基金(LSI2024JCKY06)
详细信息
    作者简介:

    肖 振,博士生,主要研究方向为激光雷达波形信号处理和点云数据处理

    谷延锋,博士,教授,主要研究方向为高光谱遥感图像处理、空间智能遥感

    蒋彦泽,博士生,主要研究方向为深度学习、三维目标检测

    李 贤,博士,副研究员,主要研究方向为多源遥感探测与信息融合处理

    通讯作者:

    李贤 xianli@hit.edu.cn

    责任主编:黄庚华 Corresponding Editor: HUANG Genghua

  • 中图分类号: TN958.98

Full-waveform Small-footprint LiDAR Multi-target Echo Waveform Lightweight Detection by Spatio-temporal Coupling Models

Funds: The National Natural Science Foundation of China through the Major Scientific Instrument Development Program (62327803), Fund of National Key Laboratory of Laser Spatial Information (LSI2024JCKY06)
More Information
    Corresponding author: LI Xian, xianli@hit.edu.cn
  • 摘要: 小光斑全波形激光雷达凭借高穿透、完整回波获取能力而蕴含巨大应用潜力。高效精准处理海量回波信号是全波形激光雷达实际应用前提,成为波形分解技术前沿性挑战。对于小光斑全波形激光雷达系统,单目标回波占比高且仅多目标回波需要精细波形分解处理,然而现有方案通常以牺牲精度为代价而采用简单快速波形分解算法,或将全部回波信号无差别进行波形分解而导致效率低下,难以兼顾精度和效率。该研究面向小光斑全波形激光雷达,提出一种时空耦合模型驱动的多目标回波轻量化检测算法,首次实现从未知回波次数的波形数据中高效精准检测多目标回波,有效避免波形分解算法无差别处理单目标回波而引入冗余计算,显著减少波形分解次数。具体地,(1)该算法构建了激光雷达时空耦合回波信号模型,以揭示回波传输的时空特性;(2)基于该模型驱动双高斯函数叠加拟合方式,轻量化估计波形参数;(3)根据信噪比引入自适应相关性判别方法。结合系统发射脉冲一致性,所提方法能够轻量化且准确检测多目标回波信号,在地基和机载波形数据实验结果证明,该研究提出的轻量化多目标回波检测算法检测准确率高达98.4%,召回率93.1%。利用4种波形分解方法结合多目标回波检测,效率显著提高2~3倍,且在单目标回波数量占比增大情况下效率提升更显著。

     

  • 图  1  多目标回波检测算法流程图(深灰色框内为关键步骤)

    Figure  1.  Multi-target waveform detection algorithm flow chart (the dark grey boxes are the key steps)

    图  2  激光束照射目标示意图

    Figure  2.  Schematic diagram of laser beam illuminating target

    图  3  数据采集示意图

    Figure  3.  Schematic diagram of data acquisition

    图  4  地面数据多目标回波筛选示意图

    Figure  4.  Schematic of multi-target waveform selection for ground data

    图  5  偏度系数分布图与拟合波形示意图

    Figure  5.  Distribution diagram of skewness coefficient and fitting waveform diagram

    图  6  单高斯函数与双高斯函数拟合VZ 2000发射脉冲对比图

    Figure  6.  Comparison of VZ 2000 transmitted pulses fitted by single Gaussian function and double Gaussian function

    图  7  单高斯函数与双高斯函数拟合Optech Gemini发射脉冲对比图

    Figure  7.  Comparison of Optech Gemini transmitted pulses fitted by single Gaussian function and double Gaussian function

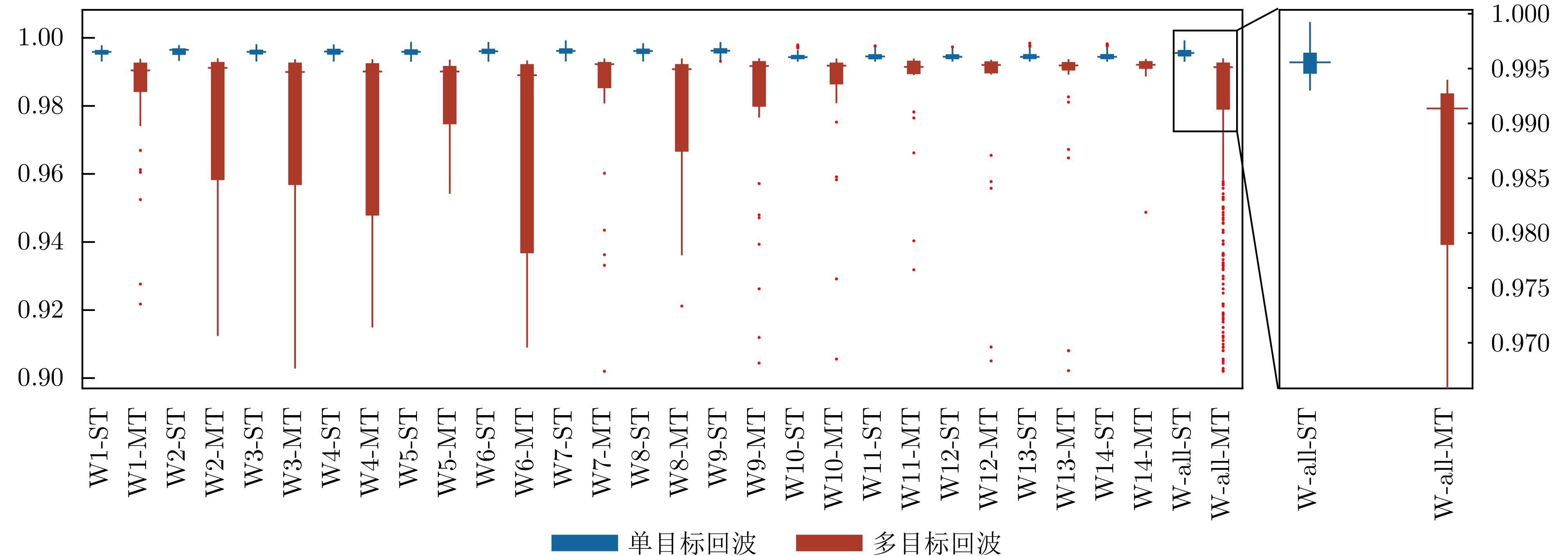
    图  8  单目标回波和多目标回波的相关性区分

    Figure  8.  Correlation distinction between single-target waveforms and multi-target waveforms

    图  9  波形分解结果示意图

    Figure  9.  Diagram of waveform decomposition results

    图  10  机载数据点云示意图

    Figure  10.  Schematic diagram of airborne data point cloud

    图  11  机载数据点云示意图

    Figure  11.  Schematic diagram of airborne data point cloud

    图  12  地基数据中多目标回波占比与波形处理用时关系图

    Figure  12.  Relation between multi-target waveform proportion and waveform processing time in terrain data

    表  1  VZ 2000激光雷达关键指标

    Table  1.   VZ 2000 LiDAR key indicators

    参数 数值
    发射脉宽 4 ns
    采样率 500 MHz
    激光束发散角 0.3 mrad
    下载: 导出CSV

    表  2  数据采集分组

    Table  2.   Data acquisition and grouping

    数据组 目标1
    (°)
    间隔1
    (cm)
    目标2
    (°)
    间隔2
    (cm)
    目标3
    (°)
    W1 0 45 0 105 0
    W2 0 60 0 90 0
    W3 0 75 0 75 0
    W4 0 90 0 60 0
    W5 0 105 0 45 0
    W6 –15 75 15 75 0
    W7 –30 75 30 75 0
    W8 –15 75 30 75 0
    W9 –30 75 15 75 0
    W10 0 45 0 105 0
    W11 0 60 0 90 0
    W12 0 75 0 75 0
    W13 0 90 0 60 0
    W14 0 105 0 45 0
    下载: 导出CSV

    表  3  Optech Gemini激光雷达关键指标

    Table  3.   Optech Gemini LiDAR key indicators

    参数 数值
    发射脉宽 14 ns
    采样率 1 GHz
    激光束发散角 0.8 mrad
    下载: 导出CSV

    表  4  发射脉冲拟合结果

    Table  4.   Results of transmitting pulse fitting

    拟合方法R2
    VZ 2000Optech Gemini
    单高斯拟合0.9860.973
    双高斯拟合0.9970.999
    下载: 导出CSV

    表  5  地面数据轻量化多目标回波检测结果

    Table  5.   Results of lightweight multi-target waveforms detection for terrain data

    数据组 TP FP FN TF 准确率(%) 召回率(%)
    W1 43 6 3 781 98.9 93.5
    W2 22 2 3 119 97.2 91.7
    W3 35 5 3 494 98.5 92.1
    W4 32 6 3 389 97.9 91.4
    W5 34 8 1 404 98.0 97.1
    W6 47 4 0 489 99.3 100
    W7 38 4 2 454 98.8 95.0
    W8 35 7 3 618 98.5 92.1
    W9 33 4 2 492 98.9 94.3
    W10 30 4 3 370 98.3 90.9
    W11 29 5 4 312 97.4 87.9
    W12 28 4 1 345 98.7 96.6
    W13 39 6 4 404 97.8 90.7
    W14 16 7 3 369 97.5 84.2
    W-all 461 72 34 6040 98.4 93.1
    下载: 导出CSV

    表  6  错误检测波形数据的波形分解结果

    Table  6.   Waveform decomposition results of error detection waveform data

    数据组FP+FNGDAGDRLGOLD
    W192122
    W241111
    W381023
    W491111
    W590001
    W640000
    W761110
    W8101100
    W960133
    W1071111
    W1192332
    W1250001
    W13103333
    W14101011
    W-all10614131819
    下载: 导出CSV

    表  7  机载数据波形分解结果

    Table  7.   Waveform decomposition results of airborne data

    回波数 GD|GD* AGD|AGD* RL|RL* GOLD|GOLD*
    1 46972|47294 47236|47613 46144|46361 46056|46335
    2 1323|1134 1240|1032 1594|1508 1595|1462
    3 940|807 907|738 1269|1137 1155|1009
    4 365|365 421|421 536|536 663|663
    5 309|309 138|138 224|224 317|317
    >5 91|91 58|58 233|234 214|214
    注:*表示进行多目标回波检测
    下载: 导出CSV

    表  8  地面数据波形分解效率对比表

    Table  8.   Terrain data waveform decomposition efficiency comparison table

    方法 检测 波形分解 检测+波形分解
    时间(s)|数量 平均时间(s) 时间(s)|数量 平均时间(s) 时间(s)|数量 平均时间(s)
    GD* 83.3|6112 0.014 27.2|533 0.051 110.5|6112 0.018
    GD —— —— 281.2|6112 0.046 281.2|6112 0.046
    AGD* 83.3|6112 0.014 30.2|533 0.057 113.5|6112 0.019
    AGD —— —— 299.5|6112 0.049 299.5|6112 0.049
    RL* 83.3|6112 0.014 43.6|533 0.082 126.9|6112 0.021
    RL —— —— 391.2|6112 0.064 391.2|6112 0.064
    GOLD* 83.3|6112 0.014 40.1|533 0.075 123.4|6112 0.020
    GOLD —— —— 354.5|6112 0.058 354.5|6112 0.058
    注:*表示进行多目标回波检测,加粗数值表示效率最优方法。
    下载: 导出CSV

    表  9  机载数据波形分解效率对比表

    Table  9.   Airborne data waveform decomposition efficiency comparison table

    方法 检测 波形分解 检测+波形分解
    时间(s)|数量 平均时间(s) 时间(s)|数量 平均时间(s) 时间(s)|数量 平均时间(s)
    GD* 652|50000 0.013 202|3746 0.054 854|50000 0.017
    GD —— —— 2118|50000 0.042 2118|50000 0.042
    AGD* 652|50000 0.013 225|3746 0.060 877|50000 0.018
    AGD —— —— 2243|50000 0.045 2243|50000 0.045
    RL* 652|50000 0.013 326|3746 0.087 978|50000 0.020
    RL —— —— 2953|50000 0.059 2953|50000 0.059
    GOLD* 652|50000 0.013 296|3746 0.079 948|50000 0.019
    GOLD —— —— 2659|50000 0.053 2659|50000 0.053
    注:*表示进行多目标回波检测,加粗数值表示效率最优方法。
    下载: 导出CSV
  • [1] GOETZ A F H. Imaging spectrometry for remote sensing: Vision to reality in 15 years[C]. The SPIE 2480, Imaging Spectrometry, Orlando, FL, United States, 1995: 2–13. doi: 10.1117/12.210867.
    [2] WEHR A and LOHR U. Airborne laser scanning—an introduction and overview[J]. ISPRS Journal of Photogrammetry and Remote Sensing, 1999, 54(2): 68–82. doi: 10.1016/S0924-2716(99)00011-8.
    [3] YOU R J and LIN B C. A quality prediction method for building model reconstruction using LiDAR data and topographic maps[J]. IEEE Transactions on Geoscience and Remote Sensing, 2011, 49(9): 3471–3480. doi: 10.1109/TGRS.2011.2128326.
    [4] GONZALEZ-AGUILERA D, CRESPO-MATELLAN E, HERNANDEZ-LOPEZ D, et al. Automated urban analysis based on LiDAR-derived building models[J]. IEEE Transactions on Geoscience and Remote Sensing, 2013, 51(3): 1844–1851. doi: 10.1109/TGRS.2012.2205931.
    [5] GUAN Hongcan, SU Yanjun, HU Tianyu, et al. A novel framework to automatically fuse multiplatform LiDAR data in forest environments based on tree locations[J]. IEEE Transactions on Geoscience and Remote Sensing, 2020, 58(3): 2165–2177. doi: 10.1109/TGRS.2019.2953654.
    [6] JI Xue, YANG Bisheng, WANG Yuan, et al. Full-waveform classification and segmentation-based signal detection of single-wavelength bathymetric LiDAR[J]. IEEE Transactions on Geoscience and Remote Sensing, 2022, 60: 1–14. doi: 10.1109/TGRS.2022.3198168.
    [7] GROLLIUS S, LIGGES M, RUSKOWSKI J, et al. Concept of an automotive LiDAR target simulator for direct time-of-flight LiDAR[J]. IEEE Transactions on Intelligent Vehicles, 2023, 8(1): 825–835. doi: 10.1109/TIV.2021.3128808.
    [8] MALLET C and BRETAR F. Full-waveform topographic LiDAR: State-of-the-art[J]. ISPRS Journal of Photogrammetry and Remote Sensing, 2009, 64(1): 1–16. doi: 10.1016/j.isprsjprs.2008.09.007.
    [9] 沈俊, 尚建华, 贺岩. 全波形机载激光雷达数据处理技术的研究进展[J]. 激光技术, 2018, 42(3): 295–299. doi: 10.7510/jgjs.issn.1001-3806.2018.03.002.

    SHEN Jun, SHANG Jianhua, and HE Yan. Research process of data processing technology of full-waveform airborne laser radars[J]. Laser Technology, 2018, 42(3): 295–299. doi: 10.7510/jgjs.issn.1001-3806.2018.03.002.
    [10] ZHANG Zhengnan, CAO Lin, LIU Hao, et al. Assessing the 3-D structure of bamboo forests using an advanced pseudo-vertical waveform approach based on airborne full-waveform LiDAR data[J]. IEEE Transactions on Geoscience and Remote Sensing, 2021, 59(12): 10647–10670. doi: 10.1109/TGRS.2020.3042790.
    [11] GAO Shuai, NIU Zheng, SUN Gang, et al. Height extraction of maize using airborne full-waveform LIDAR data and a deconvolution algorithm[J]. IEEE Geoscience and Remote Sensing Letters, 2015, 12(9): 1978–1982. doi: 10.1109/LGRS.2015.2441655.
    [12] YANG Fanlin, CHAO Qi, SU Dianpeng, et al. An airborne LiDAR bathymetric waveform decomposition method in very shallow water: A case study around Yuanzhi Island in the South China Sea[J]. International Journal of Applied Earth Observation and Geoinformation, 2022, 109: 102788. doi: 10.1016/j.jag.2022.102788.
    [13] RiUNITE[OL]. http://www.riegl.com/products/software-packages/riunite/.
    [14] WANG Zining, XU Lijun, LI Duan, et al. Online multi-target laser ranging using waveform decomposition on FPGA[J]. IEEE Sensors Journal, 2021, 21(9): 10879–10889. doi: 10.1109/JSEN.2021.3060158.
    [15] LIU Gangping and KE Jun. End-to-end full-waveform echo decomposition based on self-attention classification and U-Net decomposition[J]. IEEE Journal of Selected Topics in Applied Earth Observations and Remote Sensing, 2022, 15: 7978–7987. doi: 10.1109/JSTARS.2022.3203130.
    [16] WANG Cheng, YANG Xuebo, XI Xiaohuan, et al. Introduction to LiDAR Remote Sensing[M]. Boca Raton: CRC Press, 2024: 26–29. doi: 10.1201/9781032671512.
    [17] MOUNTRAKIS G and LI Yuguang. A linearly approximated iterative Gaussian decomposition method for waveform LiDAR processing[J]. ISPRS Journal of Photogrammetry and Remote Sensing, 2017, 129: 200–211. doi: 10.1016/j.isprsjprs.2017.05.009.
    [18] ZHOU Guoqing, LONG Shuhua, XU Jiasheng, et al. Comparison analysis of five waveform decomposition algorithms for the airborne LiDAR echo signal[J]. IEEE Journal of Selected Topics in Applied Earth Observations and Remote Sensing, 2021, 14: 7869–7880. doi: 10.1109/JSTARS.2021.3096197.
    [19] ZHOU Guoqing, DENG Ronghua, ZHOU Xiang, et al. Gaussian inflection point selection for LiDAR hidden echo signal decomposition[J]. IEEE Geoscience and Remote Sensing Letters, 2022, 19: 1–5. doi: 10.1109/LGRS.2021.3107438.
    [20] ZHOU Tan, POPESCU S C, KRAUSE K, et al. Gold—A novel deconvolution algorithm with optimization for waveform LiDAR processing[J]. ISPRS Journal of Photogrammetry and Remote Sensing, 2017, 129: 131–150. doi: 10.1016/j.isprsjprs.2017.04.021.
    [21] LIU Chang, XU Lijun, SI Lin, et al. A robust deconvolution method of airborne LiDAR waveforms for dense point clouds generation in forest[J]. IEEE Transactions on Geoscience and Remote Sensing, 2022, 60: 1–14. doi: 10.1109/TGRS.2021.3061166.
    [22] XIAO Zhen, GU Yanfeng, LI Xian, et al. Application of landweber with optimization for small footprint waveform lidar decomposition[C]. IGARSS 2024 - 2024 IEEE International Geoscience and Remote Sensing Symposium, Athens, Greece, 2024: 6408–6411. doi: 10.1109/IGARSS53475.2024.10640890.
    [23] WANG Binhui, SONG Shalei, SHI Shuo, et al. Multichannel interconnection decomposition for hyperspectral LiDAR waveforms detected from over 500 m[J]. IEEE Transactions on Geoscience and Remote Sensing, 2022, 60: 5515714. doi: 10.1109/TGRS.2021.3108160.
    [24] SONG Shalei, WANG Binhui, GONG Wei, et al. A new waveform decomposition method for multispectral LiDAR[J]. ISPRS Journal of Photogrammetry and Remote Sensing, 2019, 149: 40–49. doi: 10.1016/j.isprsjprs.2019.01.014.
    [25] BAI Jie, NIU Zheng, BI Kaiyi, et al. Toward an advanced method for full-waveform hyperspectral LiDAR data processing[J]. IEEE Transactions on Geoscience and Remote Sensing, 2024, 62: 5702516. doi: 10.1109/TGRS.2024.3382481.
    [26] BAI Jie, NIU Zheng, HUANG Yanru, et al. Full-waveform hyperspectral LiDAR data decomposition via ranking central locations of natural target echoes (Rclonte) at different wavelengths[J]. Remote Sensing of Environment, 2024, 310: 114227. doi: 10.1016/j.rse.2024.114227.
    [27] XIA Yuhao, XU Shilong, SHAO Hui, et al. Range resolution enhanced method with spectral properties for hyperspectral LiDAR[J]. IEEE Transactions on Geoscience and Remote Sensing, 2023, 61: 5703517. doi: 10.1109/TGRS.2023.3301896.
    [28] XU Fan, LI Fenfang, and WANG Yuanqing. Modified levenberg-marquardt-based optimization method for LiDAR waveform decomposition[J]. IEEE Geoscience and Remote Sensing Letters, 2016, 13(4): 530–534. doi: 10.1109/LGRS.2016.2522387.
  • 加载中
图(12) / 表(9)
计量
  • 文章访问数: 
  • HTML全文浏览量: 
  • PDF下载量: 
  • 被引次数: 0
出版历程
  • 收稿日期:  2024-12-10
  • 修回日期:  2025-03-24
  • 网络出版日期:  2025-04-17
  • 刊出日期:  2025-06-28

目录

    /

    返回文章
    返回