复杂动态海面与目标电磁散射及回波仿真研究现状与展望

郭立新 魏仪文

郭立新, 魏仪文. 复杂动态海面与目标电磁散射及回波仿真研究现状与展望[J]. 雷达学报, 2023, 12(1): 76–109. doi: 10.12000/JR22202
引用本文: 郭立新, 魏仪文. 复杂动态海面与目标电磁散射及回波仿真研究现状与展望[J]. 雷达学报, 2023, 12(1): 76–109. doi: 10.12000/JR22202
GUO Lixin and WEI Yiwen. Status and prospects of electromagnetic scattering echoes simulation from complex dynamic sea surfaces and targets[J]. Journal of Radars, 2023, 12(1): 76–109. doi: 10.12000/JR22202
Citation: GUO Lixin and WEI Yiwen. Status and prospects of electromagnetic scattering echoes simulation from complex dynamic sea surfaces and targets[J]. Journal of Radars, 2023, 12(1): 76–109. doi: 10.12000/JR22202

复杂动态海面与目标电磁散射及回波仿真研究现状与展望

DOI: 10.12000/JR22202
基金项目: 国家自然科学基金(62231021, U21A20457, 61871457)
详细信息
    作者简介:

    郭立新,博士,教授,主要研究方向为雷达、通信环境电波传播与散射和目标光电特性理论及应用

    魏仪文,博士,副教授,主要研究方向为复杂超电大地海环境散射特性、回波仿真及SAR成像

    通讯作者:

    郭立新 lxguo@xidian.edu.cn

    魏仪文 ywwei@xidian.edu.cn

    责任主编:许小剑 Corresponding Editor: XU Xiaojian

  • 中图分类号: O45

Status and Prospects of Electromagnetic Scattering Echoes Simulation from Complex Dynamic Sea Surfaces and Targets(in English)

Funds: The National Natural Science Foundation of China (62231021, U21A20457, 61871457)
More Information
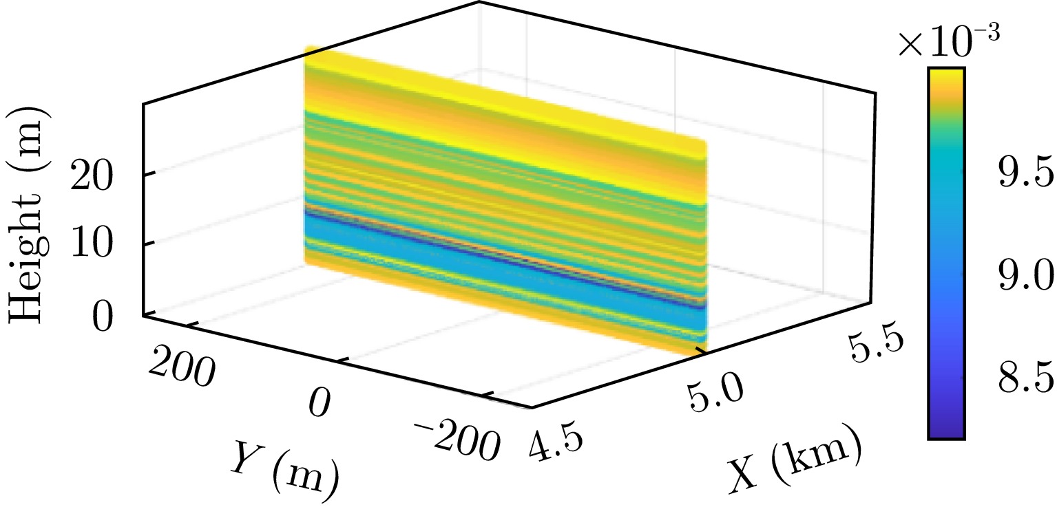
  • 摘要: 海洋表面是一种高度不规则和时空不重复的复杂动态体系。海杂波是雷达电磁信号照射到海面产生的大量散射体回波的叠加,受风力、洋流、海浪等的影响呈现非均匀性和非平稳性。海杂波信号对海上目标的探测具有一定的干扰作用,尤其是高海情条件下,海浪起伏更加剧烈,目标信号极易淹没在强海杂波信号中,严重限制着雷达对海上目标的检测能力。海杂波及目标电磁散射特性研究是提升复杂海洋环境下目标检测能力的基础,以电磁波与实际复杂动态海面及目标电磁散射机理为基础,形成实际海洋环境下目标回波数据,对海杂波及目标雷达回波特征分析,实测数据集的补充,均存在重大意义。为了让更多相关研究者获得基于物理机理的复杂海环境与目标回波仿真方法近些年的发展和未来趋势,该文总结了回波仿真的3类方法,并针对海面与目标仿真场景特点,分析了3类方法的优劣和适应性,给出了部分仿真结果;还介绍了一些基于实测的回波数据集,可方便学者对回波特性进行分析;最后对复杂海面与目标回波仿真方法和特性研究的发展趋势进行了展望。

     

  • 图  1  MPI并行技术与FMM技术所得仿真结果及并行加速比

    Figure  1.  Simulation results and parallel acceleration ratios obtained by MPI parallel technique and FMM technique

    图  2  海面与其上方圆柱复合散射并行FDTD、串行FDTD以及MoM的比较

    Figure  2.  Comparison of the sea surface with its overlying cylindrical composite scattering by parallel FDTD, FDTD and MoM

    图  3  FEM计算所得粗糙面与目标复合电磁散射仿真结果

    Figure  3.  Simulation results of the FEM calculation of the composite scattering from the rough surface and the target

    图  4  迭代电流类方法在复合散射中应用PO-PO与FE-BI-KA仿真结果对比

    Figure  4.  The scattering comparation of two different current iteration methods: PO-PO and FE-BI-KA

    图  5  舰船目标和海面单双站散射

    Figure  5.  Scattering from ship and sea surface

    图  6  OpenGL中物体映射到计算机屏幕示意图

    Figure  6.  Diagram of object mapping to computer screen in OpenGL

    图  7  飞行器模型坐标示意图

    Figure  7.  Schematic diagram of the aircraft

    图  8  电大飞行器双站散射结果

    Figure  8.  Bistatic scattering of the aircraft

    图  9  OptiX射线追踪程序关系示意图

    Figure  9.  Schematic diagram of the relationship between OptiX ray tracing programs

    图  10  OptiX中各程序模块的关系及其数据交换示意图

    Figure  10.  Schematic representation of the relationship between the program modules and their data exchange in OptiX

    图  11  大型航母编队示意图

    Figure  11.  Diagram of a large aircraft carrier formation

    图  12  大型航母编队单双站散射结果

    Figure  12.  The scattering results for large carrier formations

    图  13  TDSBR与CST时域回波仿真结果对比

    Figure  13.  Comparison of TDSBR and CST time domain echo simulation results

    图  14  舰船与粗糙面复合散射示意图

    Figure  14.  Schematic of composite scattering from a ship and a rough surface

    图  15  不同带宽(或脉冲宽度下)调制高斯脉冲时域回波

    Figure  15.  Time domain echoes of modulated Gaussian pulses under different bandwidths / pulse widths

    图  16  不同反射次数时域散射回波

    Figure  16.  Scattered echoes in time domain under different number of reflections

    图  17  SBR方法验证与仿真

    Figure  17.  Validation and simulation of SBR method

    图  18  阿利伯克级驱逐舰与海面复合场景

    Figure  18.  Arleigh Burke-class destroyer with sea composite scene

    图  19  3级海况不同舰船方位下舰船以及舰船+目标的一维距离像

    Figure  19.  High resolution range profile of the ship and the ship+target for different ship orientations in three sea states

    图  20  不同海况下舰船与海面复合场景一维距离像对比结果

    Figure  20.  Comparison high resolution range profile of the ship and sea surface composite scenes under different sea conditions

    图  21  不同时刻的破碎波

    Figure  21.  Broking waves at different moments

    图  22  含单卷浪海面散射模型示意图

    Figure  22.  Schematic diagram of a sea surface scattering model with breaking waves

    图  23  SBR-PTD方法与MoM计算结果对比验证

    Figure  23.  Validation of the SBR-PTD against MoM

    图  24  SBR-PTD计算含单卷浪海面的后向RCS

    Figure  24.  RCS of single breaking wave using SBR-PTD

    图  25  波导出口处场强分布

    Figure  25.  Field intensity distribution at waveguide exit

    图  26  考虑蒸发波导影响下目标散射场功率分布(船头旋转角$ \varphi = 0^\circ $)

    Figure  26.  Target scattered field power distribution considering the effect of evaporative waveguides (Bow rotation angle $ \varphi = 0^\circ $)

    图  27  MoM-PO海面与上方圆柱电磁散射仿真结果

    Figure  27.  Scattering results of sea surface and cylindrical with of MoM-PO

    图  28  复杂海面与目标散射成分分析

    Figure  28.  Analysis of the scattering components from complex sea surfaces and targets

    图  29  IPIX雷达编号40数据不同极化下时空二维杂波图

    Figure  29.  Two-dimensional spatial-temporal clutter maps for different polarizations of IPIX radar number 40 data

    图  30  部署现场平面图

    Figure  30.  The deployment site plan

    图  31  试验架设位置

    Figure  31.  The test stand location

    图  32  对海探测实验点

    Figure  32.  The experimental site for sea dection

    图  33  距离-方位图

    Figure  33.  2D graph of range-azimuth

    图  34  灵山岛综合实验基地

    Figure  34.  Lingshan island integrated experimental base

    图  35  海塔平台

    Figure  35.  The sea tower platform

    图  36  不同参数下杂波分布的最佳模型

    Figure  36.  Best model for clutter distribution with different parameters

    图  37  3°擦地角U10=15 m/s HH极化顺风散射系数时间序列及均值归一化杂波幅值

    Figure  37.  Time series of scattering coefficients and normalized clutter for HH polarization under U10=15 m/s and 3° grazing angle

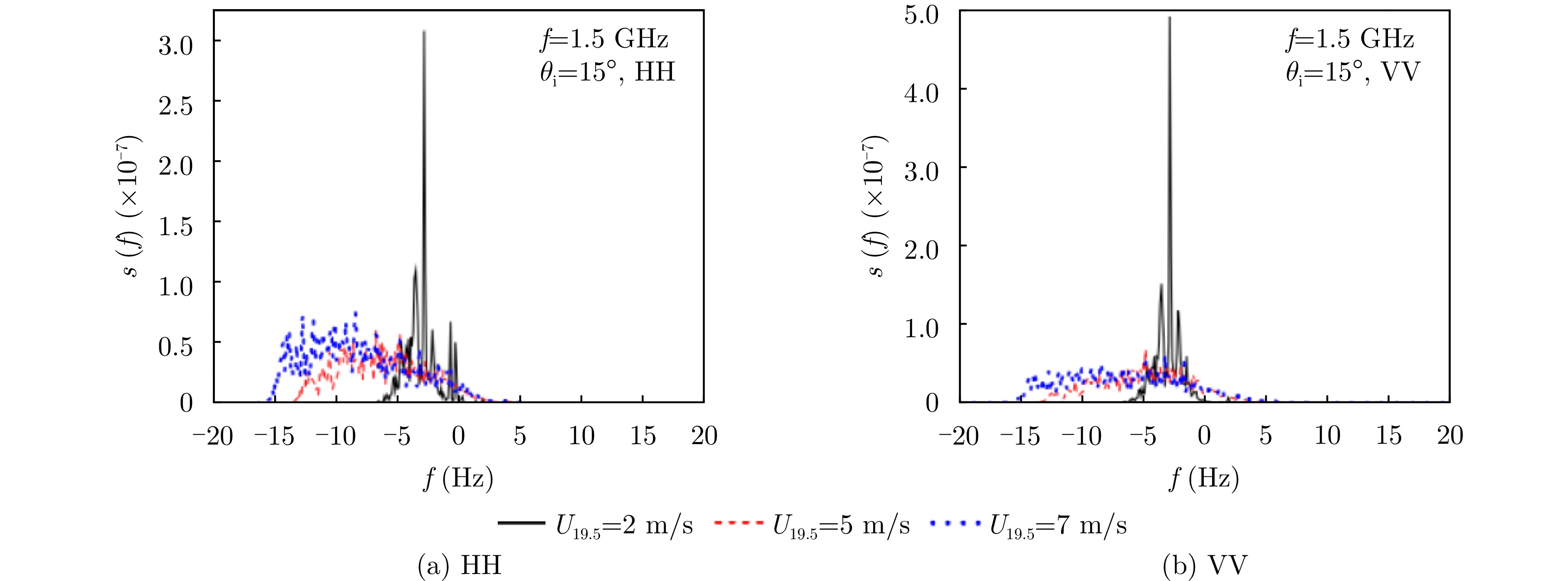
    图  38  入射波频率为1.5 GHz时不同风速后向散射场的多普勒谱

    Figure  38.  Doppler spectra of the backscattered field at different wind speeds for an incident wave frequency of 1.5 GHz

    图  39  复杂海背景下掠海低飞目标的双站RCS和归一化多普勒谱

    Figure  39.  Bistatic RCS and normalized Doppler spectrum of a low-flying target in a complex sea background

    图  40  复杂舰船与海面的杂波分布图、杂波概率密度分布、时间相关性

    Figure  40.  Complex ship and sea clutter map, clutter probability distributions and time correlation

    图  41  X波段下杂波多普勒谱($f = 10\;{\text{GHz}}$)

    Figure  41.  Doppler spectrum at X-band ($f = 10\;{\text{GHz}}$)

    图  42  HH极化与VV极化下电场幅度比值的时间序列

    Figure  42.  Time series of electric field amplitude ratios under HH polarization and VV polarization

    图  43  含多卷浪海面与目标复合多普勒谱

    Figure  43.  Composite Doppler spectrum of surface and target with multi breaking waves

    图  44  不同海况下掠海巡航导弹目标SAR图像

    Figure  44.  SAR images of missile targets at different sea states

    图  45  不同海况舰船编队SAR图像${\theta _{\rm{i}}} = {45^{\text{o}}}$, ${\varphi _{\rm{i}}} = {45^{\text{o}}}$

    Figure  45.  SAR images of ship formations in different sea states at ${\theta _{\rm{i}}} = {45^{\text{o}}}$, ${\varphi _{\rm{i}}} = {45^{\text{o}}}$

    图  46  不同海况舰船编队SAR图像${\theta _{\rm{i}}} = {45^{\text{o}}}$, ${\varphi _{\rm{i}}} = {90^{\text{o}}}$

    Figure  46.  SAR images of ship formations in different sea states at ${\theta _{\rm{i}}} = {45^{\text{o}}}$, ${\varphi _{\rm{i}}} = {90^{\text{o}}}$

    图  47  不同海况下SAR图像中目标识别结果

    Figure  47.  Target recognition results in SAR images under different sea states

    图  1  Simulation results and parallel acceleration ratios obtained by MPI parallel technique and FMM technique

    图  2  Comparison of the sea surface with its overlying cylindrical composite scattering by parallel FDTD, FDTD and MoM

    图  3  Simulation results of the FEM calculation of the composite scattering from the rough surface and the target

    图  4  Scattering comparison of two different current iteration methods: PO-PO and FE-BI-KA

    图  5  Scattering from ship and sea surface

    图  6  Diagram of object mapping to a computer screen in openGL

    图  7  Schematic diagram of the aircraft

    图  8  Bistatic scattering of the aircraft

    图  9  Schematic diagram of the relationship between OptiX ray tracing programs

    图  10  Schematic representation of the relationship between the program modules and their data exchange in OptiX

    图  11  Diagram of a large aircraft carrier formation

    图  12  Scattering results for large carrier formations

    图  13  Comparison of TDSBR and CST time domain echo simulation results

    图  14  Schematic of composite scattering from a ship and a rough surface

    图  15  Time domain echoes of modulated Gaussian pulses under different bandwidths/pulse widths

    图  16  Scattered echoes in the time domain under different numbers of reflections

    图  17  Validation and simulation of SBR method

    图  18  Arleigh Burke-class destroyer with sea composite scene

    图  19  High-resolution range profile of the ship and the ship+target for different ship orientations in three sea states

    图  20  Comparison of high-resolution range profile of the ship and sea surface composite scenes under different sea conditions

    图  21  Breaking waves at different moments

    图  22  Schematic diagram of a sea surface scattering model with breaking waves

    图  23  Validation of the SBR-PTD against MoM

    图  24  RCS of single breaking wave using SBR-PTD

    图  25  Field intensity distribution at waveguide exit

    图  26  Target scattered field power distribution considering the effect of evaporative waveguides (Bow rotation angle $ \varphi = 0^\circ $ )

    图  27  Scattering results of sea surface and cylindrical with of MoM-PO

    图  28  Analysis of the scattering components from complex sea surfaces and targets

    图  29  Two-dimensional spatiotemporal clutter maps for different polarizations of IPIX radar No. 40 data

    图  30  Deployment site plan

    图  31  Test stand location

    图  32  Experimental site for sea detection

    图  33  2D graph of range-azimuth

    图  34  Lingshan Island integrated experimental base

    图  35  Sea tower platform

    图  36  Best model for clutter distribution with different parameters

    图  37  Time series of scattering coefficients and normalized clutter for HH polarization under U 10=15 m/s and 3° grazing angle

    图  38  Doppler spectra of the backscattered field at different wind speeds for an incident wave frequency of 1.5 GHz

    图  39  Bistatic RCS and normalized Doppler spectrum of a low-flying target in a complex sea background

    图  40  Complex ship and sea clutter map, clutter probability distributions and time correlation

    图  41  Doppler spectrum at X-band ( $f = 10{\text{GHz}}$ )

    图  42  Time series of electric field amplitude ratios under HH polarization and VV polarization

    图  43  Composite Doppler spectrum of surface and target with multi-breaking waves

    图  44  SAR images of missile targets at different sea states

    图  45  SAR images of ship formations in different sea states at ${\theta _{\mathrm{i}}} = {45^{\circ }}$ , ${\varphi _{\mathrm{i}}} = {45^{\circ }}$

    图  46  SAR images of ship formations in different sea states at ${\theta _{\mathrm{i}}} = {45^{\circ }}$ , ${\varphi _{\mathrm{i}}} = {90^{\circ }}$

    图  47  Target recognition results in SAR images under different sea states

    表  1  串行FDTD方法及并行FDTD方法计算一个样本耗时对比

    Table  1.   Comparison of the simulation time of a sample by the FDTD method and the parallel FDTD method

    极化方式网格数串行时间(s)并行时间(s)加速比X
    HH131072250854.423067.7281.77
    VV131072273862.333289.2483.26
    下载: 导出CSV

    表  2  仿真算例运行时间(秒)

    Table  2.   Simulation time (s)

    模型SBRCUDA-SBR加速比x
    舰船+海面双站994.646.327.4
    舰船+海面单站776.125.730.2
    下载: 导出CSV

    表  3  仿真算例的运行时间(秒)

    Table  3.   Running time of the simulation example (s)

    模型三角面片数量SBROpenGL-SBR
    双站:飞行器yoz15837672.727.13
    双站:飞行器xoz15837681.848.82
    单站:飞行器yoz15837656.785.07
    单站:飞行器xoy15837657.095.12
    下载: 导出CSV

    表  4  大型航母编队计算时间(秒)

    Table  4.   Simulation times for large carrier formations (s)

    模型三角面片数量SBR一个角度下平均
    计算时间
    单站:大型航母编队979025137.2500.7625
    双站:大型航母编队97902547.927/
    下载: 导出CSV

    表  5  IPIX雷达主要性能参数

    Table  5.   The key parameters of IPIX radar

    参数数值
    雷达频率9.4 GHz
    中频150 MHz
    脉冲宽度20~5000 ns
    发射峰值功率8 kW
    发射信号波长3 cm
    多普勒频移34 Hz/节
    脉冲重复频率(PRF)0~2000 Hz
    距离分辨率30 m
    半功率点波瓣宽度0.9°
    雷达天线高度30 m
    极化方式HH, VV, HV, VH
    擦地角<1°
    采样距离间隔15 m
    下载: 导出CSV

    表  6  OTB MS3的主要特性

    Table  6.   The main characteristics of OTB MS3

    参数数值
    纬度$ 34^\circ 36'55.32''{\text{S}} $
    经度$ 20^\circ 17'20.11''{\text{E}} $
    地面高度53 m
    天线高度56 m
    离海距离1.2 km
    方位角范围208°~ 80°N (SSW-ENE)
    距离(CNR > 15 dB)1.25~4.50 km
    擦地角(< 15 km)3.00°~0.16°
    擦地角(CNR > 15 dB)3.0°~0.7°
    下载: 导出CSV

    表  7  雷达参数

    Table  7.   The key parameters of radar

    技术指标参数
    工作频段X
    载频范围9.3~9.5 GHz
    带宽25 MHz
    脉冲重复频率1.6 K, 3.0 K, 5.0 K和10.0 K
    天线极化方式HH
    天线长度1.8 m
    天线工作模式凝视、圆周扫描
    天线水平波束宽度1.2°
    天线垂直波束宽度22°
    下载: 导出CSV

    表  8  U10=10 m/s不同条件下海杂波幅度最佳拟合模型统计分布

    Table  8.   Best-fit model statistics distribution for sea clutter amplitude at U10=10 m/s

    入射角极化入射频率(GHz)
    X波段10 GHzKu波段15 GHz
    30°HHWBWB
    VVWBWB
    45°HHWBWB
    VVKK
    60°HHWBWB
    VVKK
    80°HHRLRL
    VVRLRL
    下载: 导出CSV

    表  1  Comparison of the simulation time of a sample by the FDTD method and the parallel FDTD method

    Polarization mode Meshes Serial time (s) Parallel time (s) Acceleration ratio X
    HH 131,072 250,854.42 3,067.72 81.77
    VV 131,072 273,862.33 3,289.24 83.26
    下载: 导出CSV

    表  2  Simulation time (s)

    Model SBR CUDA-SBR Acceleration ratio x
    Ship & sea bistatic 994.6 46.3 27.4
    Ship & sea mono-static 776.1 25.7 30.2
    下载: 导出CSV

    表  3  Running time of the simulation example (s)

    Model Number of
    triangular pieces
    SBR OpenGL-SBR
    Bistatic: Aircraft yoz plane 158,376 72.72 7.13
    Bistatic: Aircraft xoz plane 158,376 81.84 8.82
    Mono-static: Aircraft
    yoz plane
    158,376 56.78 5.07
    Mono-static: Aircraft
    xoz plane
    158,376 57.09 5.12
    下载: 导出CSV

    表  4  Simulation times for large carrier formations (s)

    Model Number of triangular pieces SBR Average calculation time at one angle
    Mono-static: Large aircraft Carrier groupings 979,025 137.25 0.7625
    Bistatic: Large aircraft Carrier groupings 979,025 47.927 /
    下载: 导出CSV

    表  5  Key parameters of IPIX radar

    Parameter Value
    Radar frequency 9.4 GHz
    Intermediate frequency 150 MHz
    Pulse width 20– 5000 ns
    Transmit peak power 8 kW
    Wavelength of transmitted signal 3 cm
    Doppler shift 34 Hz/knot
    Pulse Repetition Frequency (PRF) 0–2000 Hz
    Range resolution 30 m
    Half-power beamwidth 0.9°
    Radar antenna height 30 m
    Polarization modes HH, VV, HV, VH
    Grazing angle <1°
    Sampling range interval 15 m
    下载: 导出CSV

    表  6  Main characteristics of OTB MS3

    Parameter Value
    Latitude $ 34^\circ 36'55.32''{\text{S}} $
    Longitude $ 20^\circ 17'20.11''{\text{E}} $
    Ground height 53 m
    Antenna height 56 m
    Distance from sea 1.2 km
    Azimuth range $ 208^\circ \sim 80^\circ {\text{N}}\left( {{\text{SSW - ENE}}} \right) $
    Distance $ \left( {{\text{CNR > 15 dB}}} \right){\text{1}}.25{\text{~}} 4{\text{.50 km}} $
    Grazing angle $ \left( { < 15{\text{ km}}} \right)3.00^\circ {\text{~}}0.16^\circ $
    Grazing angle $ \left( {{\text{CNR }}> 15\; {\mathrm{dB}}} \right)3.0^\circ {\text{~}}0.7^\circ $
    下载: 导出CSV

    表  7  The key parameters of radar

    Technical indicator Parameter
    Operating frequency band X
    Carrier frequency range 9.3–9.5 GHz
    Bandwidth 25 MHz
    Pulse repetition frequency 1.6 K, 3.0 K, 5.0 K and 10.0 K
    Antenna polarization mode HH
    Antenna length 1.8 m
    Antenna operating mode Stare, Circumferential scanning
    Antenna horizontal beamwidth 1.2°
    Antenna vertical beamwidth 22°
    下载: 导出CSV

    表  8  Best-fit model statistics distribution for sea clutter amplitude at U 10=10 m/s

    Angle of
    incidence
    Polarization Incident frequency (GHz)
    X-band 10 GHz Ku-band 15 GHz
    30° HH WB WB
    VV WB WB
    45° HH WB WB
    VV K K
    60° HH WB WB
    VV K K
    80° HH RL RL
    VV RL RL
    下载: 导出CSV
  • [1] WARD K, TOUGH R, and WATTS S. Sea Clutter: Scattering, the K Distribution and Radar Performance, 2nd edition[M]. London: The Institution of Engineering and Technology, 2013.
    [2] SHUI Penglang, LIU Ming, and XU Shuwen. Shape-parameter-dependent coherent radar target detection in K-distributed clutter[J]. IEEE Transactions on Aerospace and Electronic Systems, 2016, 52(1): 451–465. doi: 10.1109/TAES.2015.140109.
    [3] FARINA A, RUSSO A, and STUDER F A. Coherent radar detection in log-normal clutter[J]. IEE Proceedings F (Communications, Radar and Signal Processing), 1986, 133(1): 39–53. doi: 10.1049/ip-f-1.1986.0009.
    [4] RANGASWAMY M, WEINER D D, and OZTURK A. Non-Gaussian random vector identification using spherically invariant random processes[J]. IEEE Transactions on Aerospace and Electronic Systems, 1993, 29(1): 111–124. doi: 10.1109/7.249117.
    [5] 郭立新, 魏仪文, 柴水荣. 目标与复杂地海面复合电磁散射研究现状综述[J]. 电波科学学报, 2020, 35(1): 69–84. doi: 10.13443/j.cjors.2019090204.

    GUO Lixin, WEI Yiwen, and CHAI Shuirong. A review on the research of composite electromagnetic scattering from target and rough surface[J]. Chinese Journal of Radio Science, 2020, 35(1): 69–84. doi: 10.13443/j.cjors.2019090204.
    [6] WANG Xiande, GAN Y B, and LI Lewei. Electromagnetic scattering by partially buried PEC cylinder at the dielectric rough surface interface: TM case[J]. IEEE Antennas and Wireless Propagation Letters, 2003, 2: 319–322. doi: 10.1109/LAWP.2003.822200.
    [7] ALTUNCU Y, YAPAR A, and AKDUMAN I. On the scattering of electromagnetic waves by bodies buried in a half-space with locally rough interface[J]. IEEE Transactions on Geoscience and Remote Sensing, 2006, 44(6): 1435–1443. doi: 10.1109/TGRS.2006.870436.
    [8] ALTUNCU Y. A numerical method for electromagnetic scattering by 3-D dielectric objects buried under 2-D locally rough surfaces[J]. IEEE Transactions on Antennas and Propagation, 2015, 63(8): 3634–3643. doi: 10.1109/TAP.2015.2438859.
    [9] YE Hongxia and JIN Yaqiu. Fast iterative approach to difference scattering from the target above a rough surface[J]. IEEE Transactions on Geoscience and Remote Sensing, 2006, 44(1): 108–115. doi: 10.1109/TGRS.2005.859955.
    [10] 秦三团. 随机粗糙面与目标复合电磁散射的快速算法研究[D]. [博士论文], 西安电子科技大学, 2011: 1–127.

    QIN Santuan. Research on fast algorithm for electromagnetic scattering from the random rough surface and the target[D]. [Ph. D. dissertation], Xidian University, 2011: 1–127.
    [11] ZHANG Min, ZHU Lei, ZHOU Ping, et al. Time-domain techniques for transient scattering from dielectric bodies and sea surface governed by Jonswap's sea spectra[J]. Chinese Physics Letters, 2009, 26(8): 084101. doi: 10.1088/0256-307X/26/8/084101.
    [12] WANG Rui, GUO Lixin, LI Juan, et al. Investigation on transient electromagnetic scattering from a randomly rough surface and the perfect electric conductor target with an arbitrary cross section above it[J]. Science in China Series G:Physics, Mechanics and Astronomy, 2009, 52(5): 665–675. doi: 10.1007/s11433-009-0043-z.
    [13] 王安琪. 粗糙面及其与目标复合电磁散射的矩量法研究[D]. [博士论文], 西安电子科技大学, 2013: 1–127.

    WANG Anqi. Method of moment investigation on the electromagnetic scattering from the rough surface and the composite scattering from the rough surface and the target[D]. [Ph. D. dissertation], Xidian University, 2013: 1–127.
    [14] EL-SHENAWEE M. Scattering from multiple objects buried beneath two-dimensional random rough surface using the steepest descent fast multipole method[J]. IEEE Transactions on Antennas and Propagation, 2003, 51(4): 802–809. doi: 10.1109/TAP.2003.811096.
    [15] EL-SHENAWEE M. The multiple interaction model for nonshallow scatterers buried beneath 2-d random rough surfaces[J]. IEEE Transactions on Geoscience and Remote Sensing, 2002, 40(4): 982–987. doi: 10.1109/TGRS.2002.1006396.
    [16] EL-SHENAWEE M, RAPPAPORT C, and SILEVITCH M. Monte Carlo simulations of electromagnetic wave scattering from a random rough surface with three-dimensional penetrable buried object: Mine detection application using the steepest-descent fast multipole method[J]. Journal of the Optical Society of America A, 2001, 18(12): 3077–3084. doi: 10.1364/JOSAA.18.003077.
    [17] KUBICKÉ G, BOURLIER C, and SAILLARD J. Scattering from canonical objects above a sea-like one-dimensional rough surface from a rigorous fast method[J]. Waves in Random and Complex Media, 2010, 20(1): 156–178. doi: 10.1080/17455030903476712.
    [18] GUO Lixin, WANG Anqi, and MA Jun. Study on EM scattering from 2-D target above 1-D large scale rough surface with low grazing incidence by parallel mom based on pc clusters[J]. Progress in Electromagnetics Research, 2009, 89: 149–166. doi: 10.2528/PIER08121002.
    [19] LI Zhongxin. Bistatic scattering from rough dielectric soil surface with a conducting object partially buried by using the GFBM/SAA method[J]. IEEE Transactions on Antennas and Propagation, 2006, 54(7): 2072–2080. doi: 10.1109/TAP.2006.877187.
    [20] YU Liang, GUO Lixin, and WU Zhensen. The fast EPILE combined with FBM for electromagnetic scattering from dielectric targets above and below the dielectric rough surface[J]. IEEE Transactions on Geoscience and Remote Sensing, 2011, 49(10): 3892–3905. doi: 10.1109/TGRS.2011.2139219.
    [21] WANG Anqi, GUO Lixin, and CHAI Cao. Fast numerical method for electromagnetic scattering from an object above a large-scale layered rough surface at large incident angle: Vertical polarization[J]. Applied Optics, 2011, 50(4): 500–508. doi: 10.1364/AO.50.000500.
    [22] WANG C F and GAN Y B. Electromagnetic scattering from a circular target above or below rough surface[J]. Progress in Electromagnetics Research, 2003, 40: 207–227. doi: 10.2528/PIER02111901.
    [23] PINO M R, LANDESA L, RODRIGUEZ J L, et al. The generalized forward-backward method for analyzing the scattering from targets on ocean-like rough surfaces[J]. IEEE Transactions on Antennas and Propagation, 1999, 47(6): 961–969. doi: 10.1109/8.777118.
    [24] PINO M R, BURKHOLDER R J, and OBELLEIRO F. Spectral acceleration of the generalized forward-backward method[J]. IEEE Transactions on Antennas and Propagation, 2002, 50(6): 785–797. doi: 10.1109/TAP.2002.1017658.
    [25] ÇOLAK D, BURKHOLDER R J, and NEWMAN E H. Multiple sweep method of moments analysis of electromagnetic scattering from 3D targets on ocean-like rough surfaces[J]. Microwave and Optical Technology Letters, 2007, 49(1): 241–247. doi: 10.1002/mop.22074.
    [26] COLAK D, BURKHOLDER R J, and NEWMAN E H. Multiple sweep method of moments (MSMM) analysis of electromagnetic scattering from targets on ocean-like rough surfaces[C]. Antennas and Propagation Society International Symposium. Transmitting Waves of Progress to the Next Millennium. 2000 Digest. Held in Conjunction with: USNC/URSI National Radio Science Meeting, Salt Lake City, USA, 2007: 2024–2127.
    [27] GUO Lixin, LIANG Yu, and WU Zhensen. A study of electromagnetic scattering from conducting targets above and below the dielectric rough surface[J]. Optics Express, 2011, 19(7): 5785–5801. doi: 10.1364/OE.19.005785.
    [28] HAO Jingwei and SHENG Xinqing. Accurate and efficient simulation model for the scattering from a ship on a sea-like surface[J]. IEEE Geoscience and Remote Sensing Letters, 2017, 14(12): 2375–2379. doi: 10.1109/LGRS.2017.2765342.
    [29] HE Weijia, YANG Zeng, HUANG Xiaowei, et al. Solving electromagnetic scattering problems with tens of billions of unknowns using GPU accelerated massively parallel MLFMA[J]. IEEE Transactions on Antennas and Propagation, 2022, 70(7): 5672–5682. doi: 10.1109/TAP.2022.3161520.
    [30] AN Yuyuan, WANG Quanquan, YU Guangli, et al. Analysis of electromagnetic scattering from an object above rough surface by using characteristic basis functions and ACA scheme[C]. 2012 International Conference on Microwave and Millimeter Wave Technology, Shenzhen, China, 2012: 1–3.
    [31] BAO Ran, WANG Anqi, and HUANG Zhixiang. Fast simulations of electromagnetic scattering from rough surface over a frequency band using asymptotic waveform evaluation technique: Horizontal polarization[J]. Journal of Electromagnetic Waves and Applications, 2018, 32(11): 1379–1388. doi: 10.1080/09205071.2018.1437083.
    [32] LAI Zhihong, KIANG J F, and MITTRA R. A domain decomposition finite difference time domain (DD-FDTD) method for solving the scattering problem from very large rough surfaces[C]. 2014 International Symposium on Antennas and Propagation Conference Proceedings, Kaohsiung, China, 2015: 15–16.
    [33] LI Juan, GUO Lixin, JIAO Yongchang, et al. Investigation on wide-band scattering of a 2-D target above 1-D randomly rough surface by FDTD method[J]. Optics Express, 2011, 19(2): 1091–1100. doi: 10.1364/OE.19.001091.
    [34] LI Juan, GUO Lixin, and ZENG Hao. FDTD investigation on electromagnetic scattering from two-layered rough surfaces under UPML absorbing condition[J]. Chinese Physics Letters, 2009, 26(3): 034101. doi: 10.1088/0256-307X/26/3/034101.
    [35] LI Juan, GUO Lixin, and ZENG Hao. FDTD method investigation on the polarimetric scattering from 2-D rough surface[J]. Progress in Electromagnetics Research, 2010, 101: 173–188. doi: 10.2528/PIER09120104.
    [36] SUN Wenbo, PAN Huiying, and VIDEEN G. General finite-difference time-domain solution of an arbitrary electromagnetic source interaction with an arbitrary dielectric surface[J]. Applied Optics, 2009, 48(31): 6015–6025. doi: 10.1364/AO.48.006015.
    [37] KUANG Lei and JIN Yaqiu. Bistatic scattering from a three-dimensional object over a randomly rough surface using the FDTD algorithm[J]. IEEE Transactions on Antennas and Propagation, 2007, 55(8): 2302–2312. doi: 10.1109/TAP.2007.901846.
    [38] HASTINGS F D, SCHNEIDER J B, and BROSCHAT S L. A monte-carlo FDTD technique for rough surface scattering[J]. IEEE Transactions on Antennas and Propagation, 1995, 43(11): 1183–1191. doi: 10.1109/8.475089.
    [39] LI Juan, GUO Lixin, and ZENG Hao. FDTD investigation on the electromagnetic scattering from a target above a randomly rough sea surface[J]. Waves in Random and Complex Media, 2008, 18(4): 641–650. doi: 10.1080/17455030802302134.
    [40] GUO Lixin, LI Juan, and ZENG Hao. Bistatic scattering from a three-dimensional object above a two-dimensional randomly rough surface modeled with the parallel FDTD approach[J]. Journal of the Optical Society of America A, 2009, 26(11): 2383–2392. doi: 10.1364/JOSAA.26.002383.
    [41] LI Juan, GUO Lixin, ZENG Hao, et al. Message-passing-interface-based parallel FDTD investigation on the EM scattering from a 1-D rough sea surface using uniaxial perfectly matched layer absorbing boundary[J]. Journal of the Optical Society of America A, 2009, 26(6): 1494–1502. doi: 10.1364/JOSAA.26.001494.
    [42] FUNG A K, SHAH M R, and TJUATJA S. Numerical simulation of scattering from three-dimensional randomly rough surfaces[J]. IEEE Transactions on Geoscience and Remote Sensing, 1994, 32(5): 986–994. doi: 10.1109/36.312887.
    [43] TURKEL E and YEFET A. Fourth order method for Maxwell equations on a staggered mesh[C]. IEEE Antennas and Propagation Society International Symposium, Montreal, Canada, 1997: 2156–2159.
    [44] KRUMPHOLZ M and KATEHI L P B. MRTD: New time-domain schemes based on multiresolution analysis[J]. IEEE Transactions on Microwave Theory and Techniques, 1996, 44(4): 555–571. doi: 10.1109/22.491023.
    [45] COLE J B. A high-accuracy realization of the Yee algorithm using non-standard finite differences[J]. IEEE Transactions on Microwave Theory and Techniques, 1997, 45(6): 991–996. doi: 10.1109/22.588615.
    [46] SHAO Zhenhai, SHEN Zhongxiang, HE Qiuyang, et al. A generalized higher order finite-difference time-domain method and its application in guided-wave problems[J]. IEEE Transactions on Microwave Theory and Techniques, 2003, 51(3): 856–861. doi: 10.1109/TMTT.2003.808627.
    [47] 任新成, 朱小敏, 郭立新. 土壤表面与部分埋藏多目标复合散射的时域有限差分方法[J]. 计算物理, 2019, 36(5): 569–576. doi: 10.19596/j.cnki.1001-246x.7920.

    REN Xincheng, ZHU Xiaomin, and GUO Lixin. Finite difference time domain method for composite electromagnetic scattering from soil surface and partly buried multiple targets[J]. Chinese Journal of Computational Physics, 2019, 36(5): 569–576. doi: 10.19596/j.cnki.1001-246x.7920.
    [48] CAO Le and WEI Bing. Near-Field coupling characteristics analysis of radome over Half-Space under HPEM[J]. IEEE Transactions on Electromagnetic Compatibility, 2015, 57(6): 1637–1644. doi: 10.1109/TEMC.2015.2445376.
    [49] LIU Q H. The PSTD algorithm: A time-domain method requiring only two cells per wavelength[J]. Microwave and Optical Technology Letters, 1997, 15(3): 158–165. doi: 10.1002/(SICI)1098-2760(19970620)15:3<158::AID-MOP11>3.0.CO;2-3.
    [50] 贾春刚, 郭立新, 刘伟. 基于GPU的并行FDTD方法在二维粗糙面散射中的应用[J]. 电波科学学报, 2016, 31(4): 683–687. doi: 10.13443/j.cjors.2015111801.

    JIA Chungang, GUO Lixin, and LIU Wei. GPU-based FDTD method for analysis of electromagnetic scattering from a 2D rough surface[J]. Chinese Journal of Radio Science, 2016, 31(4): 683–687. doi: 10.13443/j.cjors.2015111801.
    [51] XU Runwen, GUO Lixin, HE Hongjie, et al. Study on scattering from multilayer rough surfaces with an object buried with FEM/PML[J]. Microwave and Optical Technology Letters, 2016, 58(2): 429–433. doi: 10.1002/mop.29584.
    [52] XU Runwen, GUO Lixin, and FAN Tianqi. Composite scattering from an arbitrary dielectric target above the dielectric rough surface with FEM/PML[J]. Chinese Physics Letters, 2013, 30(12): 124101. doi: 10.1088/0256-307X/30/12/124101.
    [53] OZGUN O and KUZUOGLU M. Monte carlo-based characteristic basis finite-element method (MC-CBFEM) for numerical analysis of scattering from objects on/above rough sea surfaces[J]. IEEE Transactions on Geoscience and Remote Sensing, 2012, 50(3): 769–783. doi: 10.1109/TGRS.2011.2162650.
    [54] LIU Peng and JIN Yaqiu. Numerical simulation of bistatic scattering from a target at low altitude above rough sea surface under an EM-wave incidence at low grazing angle by using the finite element method[J]. IEEE Transactions on Antennas and Propagation, 2004, 52(5): 1205–1210. doi: 10.1109/TAP.2004.827497.
    [55] LIU Peng and JIN Yaqiu. The finite-element method with domain decomposition for electromagnetic bistatic scattering from the comprehensive model of a ship on and a target above a large-scale rough sea surface[J]. IEEE Transactions on Geoscience and Remote Sensing, 2004, 42(5): 950–956. doi: 10.1109/TGRS.2004.825583.
    [56] LIU Peng and JIN Yaqiu. Numerical Simulation of the Doppler spectrum of a flying target above dynamic oceanic surface by using the FEM-DDM method[J]. IEEE Transactions on Antennas and Propagation, 2005, 53(2): 825–832. doi: 10.1109/TAP.2004.841294.
    [57] SUN Hualong, TONG Chongming, and WU Guanghui. An improved hybrid FEM/MOM combining MLFMA for composite electromagnetic scattering[C]. 11th International Symposium on Antennas, Propagation and EM Theory, Guilin, China, 2016: 542–545.
    [58] JOHNSON J T. A numerical study of scattering from an object above a rough surface[J]. IEEE Transactions on Antennas and Propagation, 2002, 50(10): 1361–1367. doi: 10.1109/TAP.2002.802152.
    [59] JOHNSON J T. A study of the four-path model for scattering from an object above a half space[J]. Microwave and Optical Technology Letters, 2001, 30(2): 130–134. doi: 10.1002/mop.1242.
    [60] LAWRENCE D E and SARABANDI K. Electromagnetic scattering from a dielectric cylinder buried beneath a slightly rough surface[J]. IEEE Transactions on Antennas and Propagation, 2002, 50(10): 1368–1376.
    [61] BURKHOLDER R J, PINO M R, and KWON D. Development of ray-optical methods for studying the RCS of 2D targets on a rough sea surface[R]. Technical Report, Ohio State University Electro Science Laboratory, Columbus, Ohio, 1999.
    [62] XU Feng and JIN Yaqiu. Bidirectional analytic ray tracing for fast computation of composite scattering from electric-large target over a randomly rough surface[J]. IEEE Transactions on Antennas and Propagation, 2009, 57(5): 1495–1505. doi: 10.1109/TAP.2009.2016691.
    [63] JENG S K, LEE S W, SHEN M H, et al. High frequency scattering from a ship at sea[C]. IEEE Antennas and Propagation Society International Symposium, Ann Arbor, USA, 1993: 1436–1439.
    [64] ZAHN D and SARABANDI K. Numerical simulation of scattering from rough surfaces using a fast far-field iterative physical optics approach[C]. IEEE Antennas and Propagation Society International Symposium. 1999 Digest. Held in Conjunction with: USNC/URSI National Radio Science Meeting, Orlando, USA, 1999: 530–533.
    [65] CHIU T and SARABANDI K. Electromagnetic scattering interaction between a dielectric cylinder and a slightly rough surface[J]. IEEE Transactions on Antennas and Propagation, 1999, 47(5): 902–913. doi: 10.1109/8.774155.
    [66] CHIU T and SARABANDI K. Electromagnetic scattering from short branching vegetation[J]. IEEE Transactions on Geoscience and Remote Sensing, 2000, 38(2): 911–925.
    [67] CHIU, T and SARABANDI, K. Electromagnetic scattering from targets above rough surfaces[C]. 1997 IEEE Antennas and Propagation Society International Symposium, Montreal, Canada, 1997. doi: 10.1109/APS.1997.631762.
    [68] 何姿, 陈如山. 三维随机粗糙海面与舰船的复合电磁特性的高频方法分析研究[J]. 雷达学报, 2019, 8(3): 318–325. doi: 10.12000/JR19032.

    HE Zi and CHEN Rushan. Study on efficient high frequency method of electromagnetic scattering from ships above sea surface[J]. Journal of Radars, 2019, 8(3): 318–325. doi: 10.12000/JR19032.
    [69] ZOU Gaoxiang, TONG Chuangming, SUN Hualong, et al. A hybrid method for electromagnetic scattering from target above composite rough surface of ground and near sea in adjacent region[J]. Electromagnetics, 2018, 38(7): 415–437. doi: 10.1080/02726343.2017.1378486.
    [70] YANG Wei and QI Conghui. A bi-iteration model for electromagnetic scattering from a 3D object above a 2D rough surface[J]. Electromagnetics, 2015, 35(3): 190–204. doi: 10.1080/02726343.2015.1005203.
    [71] LUO Wei, ZHANG Min, ZHAO Yanwei, et al. An efficient hybrid high-frequency solution for the composite scattering of the ship on very large two-dimensional sea surface[J]. Progress in Electromagnetics Research M, 2009, 8: 79–89. doi: 10.2528/PIERM09050103.
    [72] 罗伟. 时变海面与目标复合电磁散射研究[D]. [博士论文], 西安电子科技大学, 2011: 1–145.

    LUO Wei. A study of electromagnetic composite scattering from the time-varied sea surfaces and targets[D]. [Ph. D. dissertation], Xidian University, 2011: 1–145.
    [73] LI Juan, LI Ke, GUO Lixin, et al. A bi-iterative model for electromagnetic scattering from a PEC object partially buried in rough sea surface[J]. IEEE Geoscience and Remote Sensing Letters, 2018, 15(4): 493–497. doi: 10.1109/LGRS.2018.2795620.
    [74] LI Jie, GUO Lixin, HE Qiong, et al. Multi-hybrid method for investigation of EM scattering from inhomogeneous object above a dielectric rough surface[J]. Science China Physics, Mechanics and Astronomy, 2012, 55(10): 1781–1790. doi: 10.1007/s11433-012-4720-y.
    [75] LI Jie, GUO Lixin, and HE Qiong. Hybrid FE-BI-KA method in analysing scattering from dielectric object above sea surface[J]. Electronics Letters, 2011, 47(20): 1147–1148. doi: 10.1049/el.2011.1444.
    [76] LI Ke, GUO Lixin, LI Juan, et al. A fast and efficient method for the composite scattering of a coated object above 3D random rough surfaces[J]. IEEE Access, 2018, 6: 56192–56199. doi: 10.1109/ACCESS.2018.2872791.
    [77] HUANG Yuan, ZHAO Zhiqin, LI Xianjin, et al. Volume equivalent SBR method for electromagnetic scattering of dielectric and composite objects[J]. IEEE Transactions on Antennas and Propagation, 2021, 69(5): 2842–2852. doi: 10.1109/TAP.2020.3027873.
    [78] CHEN Xiaojie and SHI Xiaowei. An expression for the radar cross section computation of an electrically large perfect conducting cylinder located over a dielectric half-space[J]. Progress in Electromagnetics Research, 2007, 77: 267–272. doi: 10.2528/PIER07081702.
    [79] CHEN Xiaojie and SHI Xiaowei. Backscattering of electrically large perfect conducting targets modeled by NURBS surfaces in half-space[J]. Progress in Electromagnetics Research, 2007, 77: 215–224. doi: 10.2528/PIER07081602.
    [80] ANASTASSIU H T. A closed Form, physical optics expression for the radar cross section of a perfectly conducting flat plate over a dielectric half-space[J]. Radio Science, 2016, 38(2): 1027. doi: 10.1029/2002RS002688.
    [81] DONG Chunzhu, WANG Chao, WEI Xiao, et al. EM scattering from complex targets above a slightly rough surface[J]. PIERS Online, 2007, 3(5): 685–688. doi: 10.2529/PIERS061212012947.
    [82] DAN Jiang and XU Xiaojian. Multi-path backscattering from ships over time-evolving sea surfaces[C]. 2010 International Conference on Electromagnetics in Advanced Applications, Sydney, Australia, 2010: 847–850.
    [83] 许小剑, 李晓飞, 刁桂杰, 等. 时变海面雷达目标散射现象学模型[M]. 国防工业出版社, 2013.
    [84] 李晓飞, 许小剑. 时变海面复反射系数建模[J]. 北京航空航天大学学报, 2011, 37(2): 197–201. doi: 10.13700/j.bh.1001-5965.2011.02.023.

    LI Xiaofei and XU Xiaojian. Modeling of complex reflection coefficient for time-evolving sea surfaces[J]. Journal of Beijing University of Aeronautics and Astronautics, 2011, 37(2): 197–201. doi: 10.13700/j.bh.1001-5965.2011.02.023.
    [85] 王勇, 许小剑. 海上舰船目标的宽带雷达散射特征信号仿真[J]. 航空学报, 2009, 30(2): 337–342. doi: 10.3321/j.issn:1000-6893.2009.02.024.

    WANG Yong and XU Xiaojian. On wideband radar signature simulation of ships over sea surface[J]. Acta Aeronautica et Astronautica Sinica, 2009, 30(2): 337–342. doi: 10.3321/j.issn:1000-6893.2009.02.024.
    [86] CHEN Hui, ZHANG Min, ZHAO Yanwei, et al. An efficient slope-deterministic facet model for SAR imagery simulation of marine scene[J]. IEEE Transactions on Antennas and Propagation, 2010, 58(11): 3751–3756. doi: 10.1109/TAP.2010.2071349.
    [87] ZHANG Min, LUO Wei, LUO Gen, et al. Composite scattering of ship on sea surface with breaking waves[J]. Progress in Electromagnetics Research, 2012, 123: 263–277. doi: 10.2528/PIER11100811.
    [88] 魏仪文. 电大尺寸粗糙(海)面及其与目标复合电磁散射研究[D]. [博士论文], 西安电子科技大学, 2016: 1–148.

    WEI Yiwen. Investigation on composite electromagnetic scattering from electrical large scale rough sea surface and target[D]. [Ph. D. dissertation], Xidian University, 2016: 1–148.
    [89] KELLER J B. Geometrical theory of diffraction[J]. Journal of the Optical Society of America, 1962, 52(2): 116–130. doi: 10.1364/JOSA.52.000116.
    [90] KOUYOUMJIAN R G and PATHAK P H. A uniform geometrical theory of diffraction for an edge in a perfectly conducting surface[J]. Proceedings of the IEEE, 1974, 62(11): 1448–1461. doi: 10.1109/PROC.1974.9651.
    [91] TIBERIO R and KOUYOUMJIAN R G. A uniform GTD solution for the diffraction by strips illuminated at grazing incidence[J]. Radio Science, 1979, 14(6): 933–941. doi: 10.1029/RS014i006p00933.
    [92] UFIMTSEV P Y. Method of edge wave in the physical theory of diffraction[R]. USAF Foreign Technol. Division, Wright-Patterson AFB, Ohio, FTD-HC-23-259-71, 1962.
    [93] TAO Y B, LIN H, and BAO H J. Adaptive aperture partition in shooting and bouncing ray method[J]. IEEE Transactions on Antennas and Propagation, 2011, 59(9): 3347–3357. doi: 10.1109/TAP.2011.2161435.
    [94] PARK H G, KIM H T, and KIM K T. Beam tracing for fast RCS prediction of electrically large targets[J]. Progress in Electromagnetics Research M, 2011, 20: 29–42. doi: 10.2528/PIERM11060702.
    [95] RIUS J M, FERRANDO M, and JOFRE L. High-frequency RCS of complex radar targets in real-time[J]. IEEE Transactions on Antennas and Propagation, 1993, 41(9): 1308–1319. doi: 10.1109/8.247759.
    [96] RIUS J M, FERRANDO M, and JOFRE L. GRECO: Graphical electromagnetic computing for RCS prediction in real time[J]. IEEE Antennas and Propagation Magazine, 1993, 35(2): 7–17. doi: 10.1109/74.207645.
    [97] 范天奇. 电大尺寸目标及其与海面复合电磁散射的弹跳射线加速算法与混合算法研究[D]. [博士论文], 西安电子科技大学, 2016: 1–128.

    FAN Tianqi. Investigation of SBR based accelerating and hybrid method for composite scattering from large targe and rough sea surface[D]. [Ph. D. dissertation], Xidian University, 2016: 1–128.
    [98] KEE C Y, WANG C F, and CHIA T T. Optimizing high-frequency PO-SBR on GPU for multiple frequencies[C]. 2015 IEEE 4th Asia-Pacific Conference on Antennas and Propagation (APCAP), Bali, Indonesia, 2015: 132–133.
    [99] YANG Wei, KEE C Y, and WANG Chaofu. Novel extension of SBR-PO method for solving electrically large and complex electromagnetic scattering problem in half-space[J]. IEEE Transactions on Geoscience and Remote Sensing, 2017, 55(7): 3931–3940. doi: 10.1109/TGRS.2017.2684241.
    [100] LING Hao, LEE S W, and CHOU R C. High-frequency RCS of open cavities with rectangular and circular cross sections[J]. IEEE Transactions on Antennas and Propagation, 1989, 37(5): 648–654. doi: 10.1109/8.24193.
    [101] ZHOU Xiao and CUI Tiejun. Efficient evaluation of near-field time-domain physical-optics integral using locally expanded green function approximation[J]. Progress in Electromagnetics Research, 2015, 150: 41–48. doi: 10.2528/PIER14102507.
    [102] WEI Yiwen, TIAN Dayong, LI Juan, et al. Efficient GPU implementation of the time-domain shooting and bouncing rays method on electrically large complex target[J]. Waves in Random and Complex Media, 2022.
    [103] FENG Tiantian and GUO Lixin. EM scattering of electrically large target above sea surface with SDFSM-SBR method[C]. 2017 Sixth Asia-Pacific Conference on Antennas and Propagation, Xi’an, China, 2017: 1–3.
    [104] ZHANG Min, ZHAO Ye, LI Jinxing, et al. Reliable approach for composite scattering calculation from ship over a sea surface based on FBAM and GO-PO models[J]. IEEE Transactions on Antennas and Propagation, 2017, 65(2): 775–784. doi: 10.1109/TAP.2016.2633066.
    [105] ZHAO Hua, GUO Lixin, CHEN Tiange, et al. Electromagnetic scattering of coated objects over sea surface based on SBR-SDFSM[J]. Journal of Electromagnetic Waves and Applications, 2018, 32(9): 1079–1092. doi: 10.1080/09205071.2017.1417917.
    [106] WEST J C, ZHAO Zhiqin, LIU Xin’an, et al. LGA scattering from measured breaking water waves: Extension to jetting surfaces[C]. IEEE International Symposium on Geoscience and Remote Sensing, Sydney, Australia, 2001, 5: 2454–2456.
    [107] WEST J C and ZHAO Zhiqin. Electromagnetic modeling of multipath scattering from breaking water waves with rough faces[J]. IEEE Transactions on Geoscience and Remote Sensing, 2002, 40(3): 583–592. doi: 10.1109/TGRS.2002.1000318.
    [108] WEST J C. Ray analysis of low-grazing scattering from a breaking water wave[J]. IEEE Transactions on Geoscience and Remote Sensing, 1999, 37(6): 2725–2727. doi: 10.1109/36.803420.
    [109] WEST J C. Low-grazing-angle (LGA) sea-spike backscattering from plunging breaker crests[J]. IEEE Transactions on Geoscience and Remote Sensing, 2002, 40(2): 523–526. doi: 10.1109/36.992830.
    [110] WANG Jingjing, GUO Lixin, WEI Yiwen, et al. Electromagnetic scattering analysis of the sea surface with single breaking waves[J]. International Journal of Antennas and Propagation, 2021, 2021: 1545031. doi: 10.1155/2021/1545031.
    [111] WEI Yiwen, GAO Mengyan, TIAN Dayong, et al. A model for calculating electromagnetic scattering from target in evaporation duct[J]. IEEE Antennas and Wireless Propagation Letters, 2022, 21(12): 2312–2316. doi: 10.1109/LAWP.2022.3190013.
    [112] ZHANG Y, YANG Y E, BRAUNISCH H, et al. Electromagnetic wave interaction of conducting object with rough surface by hybrid SPM/MOM technique-Abstract[J]. Journal of Electromagnetic Waves and Applications, 1999, 13(7): 983–984. doi: 10.1163/156939399X00457.
    [113] GUAN Bo, ZHANG Jianfeng, ZHOU Xiaoyang, et al. Electromagnetic scattering from objects above a rough surface using the method of moments with half-space green's function[J]. IEEE Transactions on Geoscience and Remote Sensing, 2009, 47(10): 3399–3405. doi: 10.1109/TGRS.2009.2022169.
    [114] ZHANG Xiaoyan and SHENG Xinqing. Highly efficient hybrid method for monostatic scattering by objects on a rough surface[J]. IET Microwaves, Antennas & Propagation, 2010, 4(10): 1597–1604. doi: 10.1049/iet-map.2009.0202.
    [115] ZHANG Xiaoyan and SHENG Xinqing. An efficient hybrid KA-MoM method for scattering from objects above a rough surface[C]. 2008 Asia-Pacific Microwave Conference, Hong Kong, China, 2008: 1–4.
    [116] WANG Rui, GUO Lixin, MA Jun, et al. Hybrid method for investigation of electromagnetic scattering from conducting target above the randomly rough surface[J]. Chinese Physics B, 2009, 18(4): 1503–1511. doi: 10.1088/1674-1056/18/4/036.
    [117] 郭立新, 张民, 吴振森. 随机粗糙面与目标复合电磁散射的基本理论和方法[M]. 北京: 科学出版社, 2014.

    GUO Lixin, ZHANG Min, and WU Zhensen. Basic Theory and Method of Composite Electromagnetic Scattering from Random Rough Surface and Target[M]. Beijing: Science Press, 2014.
    [118] 郭立新, 王蕊, 吴振森. 随机粗糙面散射的基本理论与方法[M]. 北京: 科学出版社, 2010.

    GUO Lixin, WANG Rui, and WU Zhensen. Basic Theory and Method of Scattering from Random Rough Surface[M]. Beijing: Science Press, 2010.
    [119] YANG Wei, ZHAO Zhiqin, QI Conghui, et al. Iterative hybrid method for electromagnetic scattering from a 3-D object above a 2-D random dielectric rough surface[J]. Progress in Electromagnetics Research, 2011, 117: 435–448. doi: 10.2528/PIER11043001.
    [120] 李西敏, 童创明, 付树洪, 等. 高斯粗糙面与临空目标复合电磁散射的KH-MoM解[J]. 电波科学学报, 2010, 25(6): 1146–1151. doi: 10.13443/j.cjors.2010.06.013.

    LI Ximin, TONG Chuangming, FU Shuhong, et al. KH-MoM solution of composite EM scattering from object at low altitude over Gaussian random surfaces[J]. Chinese Journal of Radio Science, 2010, 25(6): 1146–1151. doi: 10.13443/j.cjors.2010.06.013.
    [121] LIU Yang, ZHENG Yuteng, ZHOU Haijing, et al. Iterative FEBI-PO hybrid method for analyzing scattering problems of complex structures having junctions with large-scale platform[J]. IEEE Access, 2019, 7: 168395–168403. doi: 10.1109/ACCESS.2019.2954581.
    [122] DALEY J C, RANSONE J T, BURKETT J A, et al. Sea clutter measurements on four frequencies[R]. Naval Research Laboratory Report 6806, 1968.
    [123] DROSOPOULOS A. Description of the OHGR database[R]. Defence Research Establishment Ottawa, Technical Note 94-14, 1994.
    [124] GRECO M, STINCO P, GINI F, et al. Impact of sea clutter nonstationarity on disturbance covariance matrix estimation and CFAR detector performance[J]. IEEE Transactions on Aerospace and Electronic Systems, 2010, 46(3): 1502–1513. doi: 10.1109/TAES.2010.5545205.
    [125] WANG Jingjing, GUO Lixin, WEI Yiwen, et al. Electromagnetic scattering analysis of the sea surface with single breaking waves[J]. International Journal of Antennas and Propagation, 2021, doi: 10.1155/2021/1545031.
    [126] HERSELMAN P L, BAKER C J, and DE WIND H J. An Analysis of X-band calibrated sea clutter and small boat reflectivity at medium-to-low grazing angles[J]. International Journal of Navigation and Observation, 2008, 2008: 347518. doi: 10.1155/2008/347518.
    [127] DONG Yunhan and MERRETT D. Statistical measures of S-band sea clutter and targets[C]. 2008 International Conference on Radar, Adelaide, Australia, 2008: 575–580.
    [128] DONG Y and MERRETT D. Analysis of L-band multi-channel sea clutter[J]. IET Radar, Sonar & Navigation, 2010, 4(2): 223–238. doi: 10.1049/iet-rsn.2009.0082.
    [129] ANTIPOV I. Analysis of sea clutter data[R]. Technical Report DSTO-TR-0647, 1998.
    [130] HAIR T, LEE T, and BAKER C J. Statistical properties of multifrequency high-range-resolution sea reflections[J]. IEE Proceedings F (Radar and Signal Processing), 1991, 138(2): 75–79. doi: 10.1049/ip-f-2.1991.0012.
    [131] FABBRO V, BIEGEL G, FÖRSTER J, et al. Measurements of sea clutter at low grazing angle in mediterranean coastal environment[J]. IEEE Transactions on Geoscience and Remote Sensing, 2017, 55(11): 6379–6389. doi: 10.1109/TGRS.2017.2727057.
    [132] 刘宁波, 董云龙, 王国庆, 等. X波段雷达对海探测试验与数据获取[J]. 雷达学报, 2019, 8(5): 656–667. doi: 10.12000/JR19089.

    LIU Ningbo, DONG Yunlong, WANG Guoqing, et al. Sea-detecting X-band radar and data acquisition program[J]. Journal of Radars, 2019, 8(5): 656–667. doi: 10.12000/JR19089.
    [133] VACHON P W, JOHANNESSEN O M, and JOHANNESSEN J A. An ERS 1 synthetic aperture radar image of atmospheric lee waves[J]. Journal of Geophysical Research:Oceans, 1994, 99(C11): 22483–22490. doi: 10.1029/94JC01392.
    [134] HU Jing, GAO Jianbo, POSNER F L, et al. Target detection within sea clutter: A comparative study by fractal scaling analyses[J]. Fractals, 2006, 14(3): 187–204. doi: 10.1142/S0218348X06003210.
    [135] HAYKIN S. The McMaster IPIX radar sea clutter database in 1993[OL]. http://soma.crl.mcmaster.ca/ipix/.
    [136] DE WIND H J, CILLIERS J E, and HERSELMAN P L. Dataware: Sea clutter and small boat radar reflectivity databases [best of the web][J]. IEEE Signal Processing Magazine, 2010, 27(2): 145–148. doi: 10.1109/MSP.2009.935415.
    [137] 李清亮, 尹志盈, 朱秀芹等. 雷达地海杂波测量与建模[M]. 国防工业出版社, 2017.
    [138] WARD K, TOUGH R, and WATTS S. Sea Clutter: Scattering, the K Distribution and Radar Performance[M]. Stevenage: Institution of Engineering and Technology, 2013.
    [139] HUNTER I M and SENIOR T B A. Experimental studies of sea-surface effects on low-angle radars[J]. Proceedings of the Institution of Electrical Engineers, 1966, 113(11): 1731–1740. doi: 10.1049/piee.1966.0298.
    [140] 吴振森, 衣方磊. 一维动态海面的电磁散射杂波模拟和参数估计[J]. 电波科学学报, 2003, 18(2): 132–137. doi: 10.3969/j.issn.1005-0388.2003.02.003.

    WU Zhensen and YI Fanglei. Numerical simulation and parameters estimation of scattering clutter from 1-D time-varying sea surface[J]. Chinese Journal of Radio Science, 2003, 18(2): 132–137. doi: 10.3969/j.issn.1005-0388.2003.02.003.
    [141] WRIGHT J and CREAMER D B. Improved linear representation of surface waves. Part 2. Slowly varying bottoms and currents[J]. Journal of Fluid Mechanics, 1994, 261: 65–74. doi: 10.1017/S0022112094000261.
    [142] WANG Pei, YAO Yitao, and TULIN M P. Wave group Evolution, wave deformation, and breaking: Simulations using Longtank, a numerical wave tank[J]. International Journal of Offshore and Polar Engineering, 1994, 4(3): 200–205.
    [143] YANG Wei, ZHAO Zhiqin, QI Conghui, et al. Electromagnetic modeling of breaking waves at low grazing angles with adaptive higher order hierarchical legendre basis functions[J]. IEEE Transactions on Geoscience and Remote Sensing, 2010, 49(1): 346–352. doi: 10.1109/TGRS.2010.2052817.
    [144] LUO Wei, ZHANG Min, WANG Chao, et al. Investigation of low-grazing-angle microwave backscattering from threedimensional breaking sea waves[J]. Progress in Electromagnetics Research, 2011, 119: 279–298. doi: 10.2528/PIER11062607.
    [145] ARIKAN F. Statistics of simulated ocean clutter[J]. Journal of Electromagnetic Waves and Applications, 1998, 12(4): 499–526. doi: 10.1163/156939398X00926.
    [146] SORIANO G, JOELSON M, and SAILLARD M. Doppler spectra from a two-dimensional ocean surface at L-band[J]. IEEE Transactions on Geoscience and Remote Sensing, 2006, 44(9): 2430–2437. doi: 10.1109/TGRS.2006.873580.
    [147] TOPORKOV J V and BROWN G S. Numerical simulations of scattering from time-varying, randomly rough surfaces[J]. IEEE Transactions on Geoscience and Remote Sensing, 2000, 38(4): 1616–1625. doi: 10.1109/36.851961.
    [148] TOPORKOV J V. Numerical scattering simulations from time-evolving ocean-like surfaces at L-and X-band: Doppler analysis and comparisons with a composite surface analytical model[C]. Proceedings of XXVII General Assembly of URSI, Holland, 2002.
    [149] JOHNSON J T, TOPORKOV J V, and BROWN G S. A numerical study of backscattering from time-evolving sea surfaces: Comparison of hydrodynamic models[J]. IEEE Transactions on Geoscience and Remote Sensing, 2001, 39(11): 2411–2420. doi: 10.1109/36.964977.
    [150] 丁慧芬. 动态海面及其与上方目标电磁散射杂波的特性分析[D]. [硕士论文], 西安电子科技大学, 2012: 1–75.

    DING Huifen. Analysis of characteristics of electromagnetic scattering sea clutter from target above time-varying sea surface[D]. [Master dissertation], Xidian University, 2012: 1–75.
    [151] BURKHOLDER R J, PINO M R, and OBELLEIRO F. Low angle scattering from 2-D targets on a time-evolving sea surface[J]. IEEE Transactions on Geoscience and Remote Sensing, 2022, 40(5): 1185–1190. doi: 10.1109/TGRS.2002.1221954.
    [152] ZHAO Zhiqin. Overview: Electromagnetic scattering from ocean surface[J]. Journal of Electronic Science and Technology of China, 2006, 4(3): 209–218.
    [153] QI Conghui, ZHAO Zhiqin, and NIE Zaiping. Numerical approach on Doppler spectrum analysis for moving targets above a time-evolving sea surface[J]. Progress in Electromagnetics Research, 2013, 138: 351–365. doi: 10.2528/PIER13020112.
    [154] 陈珲. 动态海面及其上目标复合电磁散射与多普勒谱研究[D]. [博士论文], 西安电子科技大学, 2012: 1–168.

    CHEN Hui. A study of electromagnetic composite scattering and Doppler spectra of a target at time-evolving sea surface[D]. [Ph. D. dissertation], Xidian University, 2012: 1–168.
    [155] NIE Ding, ZHANG Min, GENG Xupu, et al. Investigation on Doppler spectral characteristics of electromagnetic backscattered echoes from dynamic nonlinear surfaces of finite-depth sea[J]. Progress in Electromagnetics Research, 2012, 130: 169–186. doi: 10.2528/PIER12062509.
    [156] LI Xiaofei and XU Xiaojian. Scattering and Doppler spectral analysis for two-dimensional linear and nonlinear sea surfaces[J]. IEEE Transactions on Geoscience and Remote Sensing, 2011, 49(2): 603–611. doi: 10.1109/TGRS.2010.2060204.
    [157] PENG Peng and GUO Lixin. A facet-based simulation of the multipath effect on the EM scattering and Doppler spectrum of a low-flying target at maritime scene[J]. IEEE Geoscience and Remote Sensing Letters, 2018, 15(10): 1495–1499. doi: 10.1109/LGRS.2018.2853662.
    [158] KALMYKOV A I and PUSTOVOYTENKO V V. On polarization features of radio signals scattered from the sea surface at small grazing angles[J]. Journal of Geophysical Research, 1976, 81(12): 1960–1964. doi: 10.1029/JC081i012p01960.
    [159] FUCHS J, WELCH S, WASEDA T, et al. Inside the sea-spike: Low grazing angle radar imaging of laboratory waves repeatedly breaking in wave groups[C]. 1997 IEEE International Geoscience and Remote Sensing Symposium Proceedings. Remote Sensing - A Scientific Vision for Sustainable Development, Singapore, 1997: 714–718.
    [160] HANSEN J P and CAVALERI V F. High-resolution radar sea scatter, experimental observations and discriminants[R], Naval Research laboratory Report 8557, Washington, D. C., 1982.
    [161] HWANG P A, SLETTEN M A, and TOPORKOV J V. An empirical study of breaking wave contribution to radar backscatter from the ocean surface at low grazing angle[C]. 2008 IEEE International Geoscience and Remote Sensing Symposium, Boston, USA, 2008: 113–116.
    [162] RINO C L and NGO H D. Numerical simulation of low-grazing-angle ocean microwave backscatter and its relation to sea spikes[J]. IEEE Transactions on Antennas and Propagation, 1998, 46(1): 133–141. doi: 10.1109/8.655460.
    [163] SLETTEN M A, LIU X, DUNCAN J H, et al. Radar investigations of breaking water waves at low grazing angles with simultaneous high-speed optical imagery[C]. IEEE International Geoscience and Remote Sensing Symposium, Toronto, Canada, 2002: 922–924.
    [164] LIU Y, FRASIER S J, and MCINTOSH R E. Measurement and classification of low-grazing-angle radar sea spikes[J]. IEEE Transactions on Antennas and Propagation, 1998, 46(1): 27–40. doi: 10.1109/8.655448.
    [165] KWOH D and LAKE B. A deterministic, coherent, and dual-polarized laboratory study of microwave backscattering from water Waves, Part I: Short gravity waves without wind[J]. IEEE Journal of Oceanic Engineering, 1984, 9(5): 291–308. doi: 10.1109/JOE.1984.1145638.
    [166] HOLLIDAY D and DERAAD L L. Sea-spike backscatter from a steepening wave[J]. IEEE Transactions on Antennas and Propagation, 1998, 46(1): 108–113. doi: 10.1109/8.655457.
    [167] HOLLIDAY D, DERAAD L L, and ST-CYR G J. Forward-backward method for scattering from imperfect conductors[J]. IEEE Transactions on Antennas and Propagation, 1998, 46(1): 101–107. doi: 10.1109/8.655456.
    [168] WU Biyi, WANG Jiajing, GUO Kunyi, et al. Back-scattering characteristics of realistic breaking waves[C]. 2019 IEEE International Conference on Computational Electromagnetics (ICCEM), Shanghai, China, 2019: 1–3.
    [169] 李文龙. 改进的时变卷浪建模及其电磁散射研究[D]. [硕士论文], 西安电子科技大学, 2014: 1–79.

    LI Wenlong. Electromagnetic scattering from improved time-varying overturning wave[D]. [Master dissertation], Xidian University, 2014: 1–79.
    [170] 孟肖. 电大尺寸粗糙(海)面电磁散射特性及并行加速技术研究[D]. [博士论文], 西安电子科技大学, 2016: 1–131.

    MENG Xiao. Investigation on the electromagnetic scattering from electrical large size rough (Sea) surface and parallel acceleration technique[D]. [Ph. D. dissertation], Xidian University, 2016: 1–131.
    [171] WEI Yiwen, GUO Lixin, and LI Juan. Numerical simulation and analysis of the spiky sea clutter from the sea surface with breaking waves[J]. IEEE Transactions on Antennas and Propagation, 2015, 63(11): 4983–4994. doi: 10.1109/TAP.2015.2476375.
    [172] ALPERS W. Monte Carlo simulations for studying the relationship between ocean wave and synthetic aperture radar image spectra[J]. Journal of Geophysical Research:Oceans, 1983, 88(C3): 1745–1759. doi: 10.1029/JC088iC03p01745.
    [173] PLANT W J. Reconciliation of theories of synthetic aperture radar imagery of ocean waves[J]. Journal of Geophysical Research:Oceans, 1992, 97(C5): 7493–7501. doi: 10.1029/92JC00102.
    [174] LYZENGA D R and SHUCHMAN R A. Analysis of scatterer motion effects in Marsen X band SAR imagery[J]. Journal of Geophysical Research:Oceans, 1983, 88(C14): 9769–9775. doi: 10.1029/JC088iC14p09769.
    [175] VACHON P W, RANEY R K and EMERGY W J. A simulation for spaceborne SAR imagery of a Distributed, moving scene[J]. IEEE Transactions on Geoscience and Remote Sensing, 1989, 27(1): 67–78. doi: 10.1109/36.20276.
    [176] HASSELMANN K, HASSELMANN R K, PLANT W J, et al. Theory of synthetic aperture radar ocean imaging: A MARSEN view[J]. Journal of Geophysical Research: Oceans, 1985, 90(C3): 4659–4686. doi: 10.1029/JC090iC03p04659.
    [177] 杨劲松, 周长宝, 黄伟艮. 星载合成孔径雷达海浪遥感测量[J]. 地球物理学报, 2001, 44(S1): 22–27. doi: 10.3321/j.issn:0001-5733.2001.z1.004.

    YANG Jinsong, ZHOU Changbao, and HUANG Weigen. Ocean wave measurements by spaceborne SAR[J]. Chinese Journal of Geophysics, 2001, 44(S1): 22–27. doi: 10.3321/j.issn:0001-5733.2001.z1.004.
    [178] HUANG Weigen, FU Bin, ZHOU Changbao, et al. Simulation study on optimal currents and winds for the spaceborne SAR mapping of sea bottom topography[J]. Progress in Natural Science, 2000, 10(11): 859–866.
    [179] 黄晓霞, 朱振海. 海洋表面膜特征的SAR图像探测[J]. 遥感学报, 1999, 3(1): 48–53. doi: 10.11834/jrs.19990107.

    HUANG Xiaoxia and ZHU Zhenhai. Detection of sea surface slick features using SAR image[J]. Journal of Remote Sensing, 1999, 3(1): 48–53. doi: 10.11834/jrs.19990107.
    [180] 刁桂杰, 许小剑, 倪虹, 等. 海面舰船目标SAR回波信号仿真[J]. 系统仿真学报, 2015, 27(9): 1989–1996. doi: 10.16182/j.cnki.joss.2015.09.009.

    DIAO Guijie, XU Xiaojian, NI Hong, et al. Synthetic aperture radar signal simulation of ships on sea surface[J]. Journal of System Simulation, 2015, 27(9): 1989–1996. doi: 10.16182/j.cnki.joss.2015.09.009.
    [181] KONG Lingyu and XU Xiaojian. A compact dual-band dual-polarized microstrip antenna array for MIMO-SAR applications[J]. IEEE Transactions on Antennas and Propagation, 2018, 66(5): 2374–2381. doi: 10.1109/TAP.2018.2814222.
    [182] XU Xiaojian, WANG Yong, and QIN Yao. SAR image modeling of ships over sea surface[C]. SAR Image Analysis, Modeling, and Techniques VIII, Stockholm, Sweden, 2006: 63630J.
    [183] LI Zhongxin and JIN Yaqiu. Numerical simulation of bistatic scattering from a fractal rough surface using the forward-backward method[J]. Electromagnetics, 2002, 22(3): 191–207. doi: 10.1080/02726340252886465.
    [184] ZHANG Min, ZHAO Yanwei, ZHAO Ye, et al. A bistatic synthetic aperture radar imagery simulation of maritime scene using the extended nonlinear chirp scaling algorithm[J]. IEEE Transactions on Aerospace and Electronic Systems, 2013, 49(3): 2046–2054. doi: 10.1109/TAES.2013.6558038.
    [185] ZHAO Ye, ZHANG Min, ZHAO Yanwei, et al. A bistatic SAR image intensity model for the composite ship-ocean scene[J]. IEEE Transactions on Geoscience and Remote Sensing, 2015, 53(8): 4250–4258. doi: 10.1109/TGRS.2015.2393915.
    [186] 赵志钦, 骆小谚, 聂在平. 利用双尺度模型的海浪极化SAR成像模拟[J]. 电子科技大学学报, 2009, 38(5): 651–655. doi: 10.3969/j.issn.1001-0548.2009.05.024.

    ZHAO Zhiqin, LUO Xiaoyan, and NIE Zaiping. Simulation of polarization SAR imaging of sea wave using two-scale model[J]. Journal of University of Electronic Science and Technology of China, 2009, 38(5): 651–655. doi: 10.3969/j.issn.1001-0548.2009.05.024.
    [187] 徐丰, 王海鹏, 金亚秋. 深度学习在SAR目标识别与地物分类中的应用[J]. 雷达学报, 2017, 6(2): 136–148. doi: 10.12000/JR16130.

    XU Feng, WANG Haipeng, and JIN Yaqiu. Deep learning as applied in SAR target recognition and terrain classification[J]. Journal of Radars, 2017, 6(2): 136–148. doi: 10.12000/JR16130.
    [188] 丁大志, 杨婕, 杨宝金, 等. 基于弹跳射线法的海上目标快速成像与识别算法[J]. 信号处理, 2020, 36(12): 1998–2006. doi: 10.16798/j.issn.1003-0530.2020.12.005.

    DING Dazhi, YANG Jie, YANG Baojin, et al. Research on recognition of maritime targets based on the SBR imaging algorithm[J]. Journal of Signal Processing, 2020, 36(12): 1998–2006. doi: 10.16798/j.issn.1003-0530.2020.12.005.
    [189] 董春雷. 基于SBR算法的海上目标复合电磁散射及SAR成像与识别研究[D]. [博士论文], 西安电子科技大学, 2020: 1–150.

    DONG Chunlei. Investigation of composite electromagnetic scattering from targets on sea surface and SAR imaging with recognition based on SBR[D]. [Ph. D. dissertation], Xidian University, 2020: 1–150.
    [190] LI Chong, LI Juan, GUO Lixin, et al. Investigation on SAR image of target on rough surface[C]. 2021 13th International Symposium on Antennas, Propagation and EM Theory (ISAPE), Zhuhai, China, 2021: 1–3.
    [191] PENG Peng, GUO Lixin, and TONG Chuangming. A hybrid EM scheme for the composite scattering and the SAR imaging of a low-altitude target above the electrically large and multi-scale sea surface[J]. Electromagnetics, 2017, 37(8): 500–512. doi: 10.1080/02726343.2017.1392718.
    [192] PENG Peng, GUO Lixin, and TONG Chuangming. A SAR imaging simulator of a low-flying target above ocean surface with multipath effect[C]. 2017 IEEE International Conference on Signal Processing, Communications and Computing (ICSPCC), Xiamen, China, 2017: 1–4.
  • 加载中
图(94) / 表(16)
计量
  • 文章访问数: 
  • HTML全文浏览量: 
  • PDF下载量: 
  • 被引次数: 0
出版历程
  • 收稿日期:  2022-10-10
  • 修回日期:  2023-01-13
  • 网络出版日期:  2023-02-22
  • 刊出日期:  2023-02-28

目录

    /

    返回文章
    返回