组网雷达多帧检测前跟踪算法研究

王经鹤 易伟 孔令讲

王经鹤, 易伟, 孔令讲. 组网雷达多帧检测前跟踪算法研究[J]. 雷达学报, 2019, 8(4): 490–500. doi: 10.12000/JR18092
引用本文: 王经鹤, 易伟, 孔令讲. 组网雷达多帧检测前跟踪算法研究[J]. 雷达学报, 2019, 8(4): 490–500. doi: 10.12000/JR18092
WANG Jinghe, YI Wei, and KONG Lingjiang. Multi-frame track before detect method for the netted radar system[J]. Journal of Radars, 2019, 8(4): 490–500. doi: 10.12000/JR18092
Citation: WANG Jinghe, YI Wei, and KONG Lingjiang. Multi-frame track before detect method for the netted radar system[J]. Journal of Radars, 2019, 8(4): 490–500. doi: 10.12000/JR18092

组网雷达多帧检测前跟踪算法研究

DOI: 10.12000/JR18092 CSTR: 32380.14.JR18092
基金项目: 国家自然科学基金(61771110),长江学者奖励计划(B17008),中央高校基本科研基金(ZYGX2016J031)
详细信息
    作者简介:

    王经鹤(1991–),女,吉林大安人。现为电子科技大学信息与通信工程学院博士研究生。主要研究方向为雷达信号处理、检测前跟踪。E-mail: wwjher@gmail.com

    易 伟(1983–),男,四川雅安人。现为电子科技大学副教授。研究方向为雷达信号处理、微弱目标探测技术、雷达及视频图像目标跟踪、多传感器数据融合、多传感器资源智能管控等。E-mail: kussoyi@gmail.com

    孔令讲(1974–),男,河南南阳人。现为电子科技大学教授,博士生导师,长江学者特聘教授。研究方向为宽带雷达系统技术、雷达系统探测技术、相控阵激光雷达技术。E-mail: lingjiang.kong@gmail.com

    通讯作者:

    易伟   kussoyi@gmail.com

  • 中图分类号: TN956

Multi-frame Track Before Detect Method for the Netted Radar System

Funds: The National Natural Science Foundation of China (61771110), The Chang Jiang Scholars Program (B17008), The Fundamental Research Funds of Central Universities (ZYGX2016J031)
More Information
  • 摘要: 组网雷达系统(NRS)由于其稳健的性能优势,在近年来受到了广泛关注。目前,组网雷达系统在进行目标探测时常采用先检测后跟踪(DBT)算法,即在每个时刻先对接收到的回波数据进行单帧门限检测,得到疑似目标的点迹集合,然后上传这些点迹或由这些点迹跟踪得到的航迹估计到融合中心做进一步处理,最终得到全局估计结果。然而,当信噪比(SNR)比较低时,目标往往很难通过单帧门限检测,最终导致目标漏检、航迹起批难,无法有效发挥组网雷达系统优势。针对这一问题,该文提出了一种组网雷达多帧检测前跟踪(MF-TBD)算法。该方法首先在本地节点进行多帧检测前跟踪,然后传递检测得到的点迹序列到融合中心进行融合。该方法一方面利用了组网雷达系统平台优势;另一方面不同于常规先检测后跟踪技术,多帧检测前跟踪能够利用目标空时相关性积累目标能量,改善弱小目标检测性能;因此其可以有效提高系统对目标的检测性能。但是,多帧检测前跟踪输出结果和先检测后跟踪算法不同,导致现有融合方法不适用。针对这一问题,该文首先理论推导了点迹序列的融合方法,然后结合实际雷达模型给出了算法实现流程,最后提出了算法的粒子滤波实现方式并通过仿真实验验证了算法的性能。仿真结果证明该文提出的方法相比于先检测后跟踪算法,有4~6 dB的检测性能增益;相比于常规单传感器多帧检测前跟踪算法,航迹跟踪精度有50%左右的提升。

     

  • 图  1  PSF-MF-TBD算法结构框图

    Figure  1.  Block diagram of PSF-MF-TBD

    图  2  PSF-MF-TBD算法流程示意图

    Figure  2.  Steps of PSF-MF-TBD

    图  3  仿真场景示意图

    Figure  3.  Sketch map of the simulation scenario

    图  5  不同信噪比下MF-TBD与SFD检测性能对比

    Figure  5.  Detection probability of MF-TBD and SFD for different SNR

    图  6  PSF-MF-TBD与MSF-DBT的RMSE对比

    Figure  6.  RMSE of PSF-MF-TBD and MSF-DBT

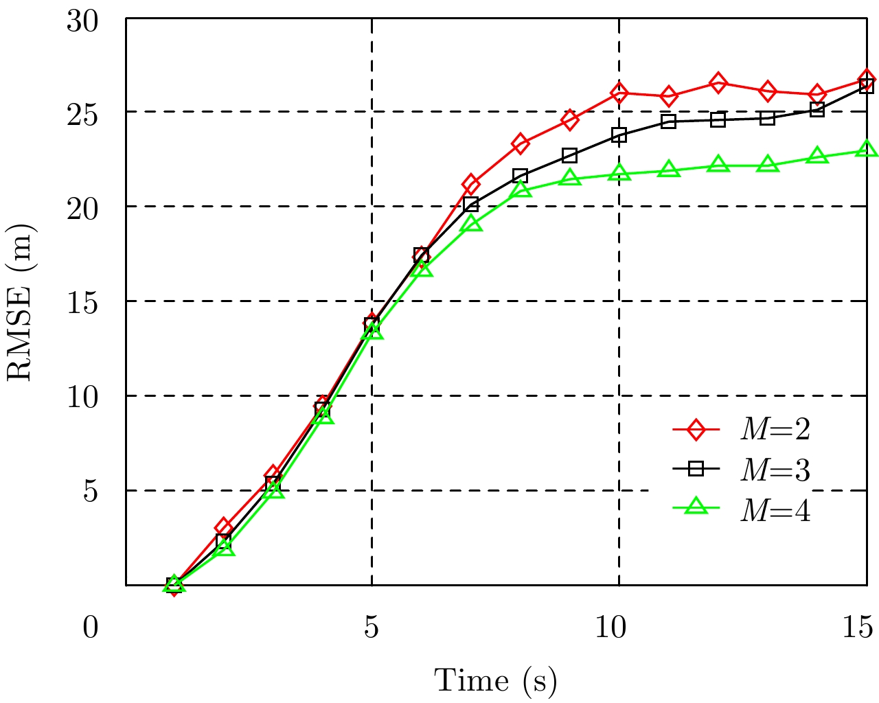
    图  7  PSF-MF-TBD在不同雷达节点数目下RMSE

    Figure  7.  RMSE of PSF-MF-TBD under different number of radar nodes

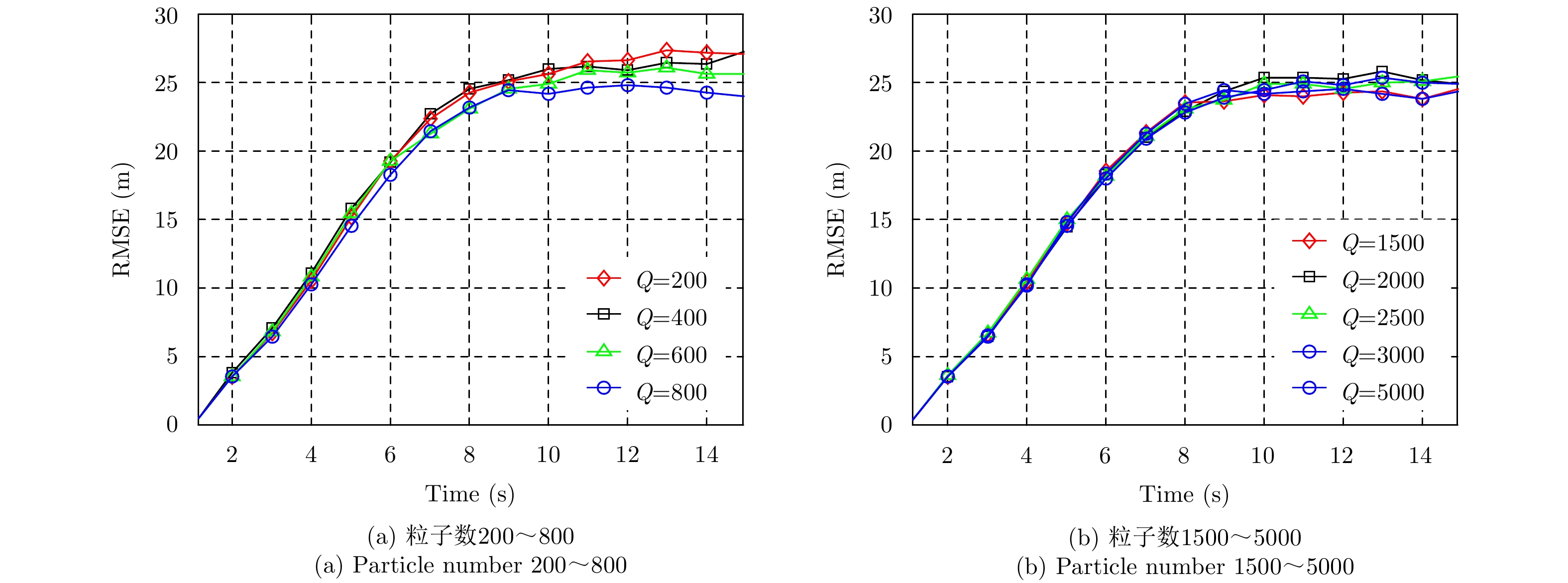
    图  8  PSF-MF-TBD在不同粒子数下的RMSE

    Figure  8.  RMSE of PSF-MF-TBD under different number of particle

    图  9  不同点迹序列融合方法的RMSE对比

    Figure  9.  RMSE of different plot sequence fusion methods

    表  1  基于粒子滤波的点迹序列融合算法

    Table  1.   Plot sequence fusion based on particle filter

     (1) 初始化粒子群:$\{ {{X}}_{{t_0}}^q,q = 1,2, ·\!·\!· ,Q\} $;
     (2) for $k = 1,2, ·\!·\!· ,K$;
     (3)  for $q = 1, 2, ·\!·\!· ,Q$;
     (4)    采样:${{x}}_{{t_k}}^q \sim p\left( {{{x}}_{{t_k}}^{}|{{x}}_{{t_{k - 1}}}^q} \right)$;
     (5)    计算:$\iota _{{t_k}}^q \propto \left(\prod\nolimits_{m = 1}^M p {({{y}}_{{t_k}}^m|{{x}}_{{t_k}}^q)^{{w_m}}}\right)\iota _{{t_{k - 1}}}^q$;
     (6)  end;
     (7)  计算总权重:$t = \sum\nolimits_{q = 1}^Q {\iota _{{t_k}}^q} $;
     (8)  for $q = 1,2, ·\!·\!· ,Q$;
     (9)    归一化:$\iota _{{t_k}}^q = \iota _{{t_k}}^q/t$;
     (10)  end;
     (11)  粒子重采样;
     (12) end;
     (13) 利用式(17)计算全局估计${{\hat{{X}}}_{{t_1}:{t_K}}}$。
    下载: 导出CSV
  • [1] LUO R C, YIH C C, and SU K L. Multisensor fusion and integration: Approaches, applications, and future research directions[J]. IEEE Sensors Journal, 2002, 2(2): 107–119. doi: 10.1109/JSEN.2002.1000251
    [2] BAR-SHALOM Y, WILLETT P K, and TIAN Xin. Tracking and Data Fusion[M]. Storrs: YBS Publishing, 2011.
    [3] UHLMANN J K. General data fusion for estimates with unknown cross covariances[C]. Proceedings of SPIE 2755, Signal Processing, Sensor Fusion, and Target Recognition V, Orlando, FL, USA, 1996: 536–548.
    [4] WANG Yimin and LI X R. Distributed estimation fusion with unavailable cross-correlation[J]. IEEE Transactions on Aerospace and Electronic Systems, 2012, 48(1): 259–278. doi: 10.1109/TAES.2012.6129634
    [5] HLINKA O, SLUCIAK O, HLAWATSCH F, et al. Likelihood consensus and its application to distributed particle filtering[J]. IEEE Transactions on Signal Processing, 2012, 60(8): 4334–4349. doi: 10.1109/TSP.2012.2196697
    [6] MAHLER R P S. Optimal/robust distributed data fusion: A unified approach[C]. Proceedings of SPIE 4052, Signal Processing, Sensor Fusion, and Target Recognition IX, Orlando, FL, USA, 2000: 128–138.
    [7] 孟藏珍, 袁定波, 许稼, 等. 基于神经网络分类的异类传感器目标关联算法[J]. 雷达学报, 2012, 1(4): 399–405. doi: 10.3724/SP.J.1300.2012.20087

    MENG Cangzhen, YUAN Dingbo, XU Jia, et al. A new target-correlation algorithm for heterogeneous sensors based on neural network classification[J]. Journal of Radars, 2012, 1(4): 399–405. doi: 10.3724/SP.J.1300.2012.20087
    [8] BATTISTELLI G, CHISCI L, FANTACCI C, et al. Consensus CPHD filter for distributed multitarget tracking[J]. IEEE Journal of Selected Topics in Signal Processing, 2013, 7(3): 508–520. doi: 10.1109/JSTSP.2013.2250911
    [9] GUO Yunfei, ZENG Zebing, and ZHAO Shangyu. An amplitude association dynamic programming TBD algorithm with multistatic radar[C]. Proceedings of the 2016 35th Chinese Control Conference, Chengdu, China, 2016: 5076–5079.
    [10] GU Wenkun, WANG Dangwei, MA Xiaoyan, et al. Distributed OFDM-MIMO radar track-before-detect based on second order target state model[C]. Proceedings of 2016 IEEE Information Technology, Networking, Electronic and Automation Control Conference, Chongqing, China, 2016: 667–671.
    [11] 冯存前, 李靖卿, 贺思三, 等. 组网雷达中弹道目标微动特征提取与识别综述[J]. 雷达学报, 2015, 4(6): 609–620. doi: 10.12000/JR15084

    FENG Cunqian, LI Jingqing, HE Sisan, et al. Micro-Doppler feature extraction and recognition based on netted radar for ballistic targets[J]. Journal of Radars, 2015, 4(6): 609–620. doi: 10.12000/JR15084
    [12] BUZZI S, LOPS M, VENTURINO L, et al. Track-before-detect procedures in a multi-target environment[J]. IEEE Transactions on Aerospace and Electronic Systems, 2008, 44(3): 1135–1150. doi: 10.1109/TAES.2008.4655369
    [13] GROSSI E, LOPS M, and VENTURINO L. Track-before-detect for multiframe detection with censored observations[J]. IEEE Transactions on Aerospace and Electronic Systems, 2014, 50(3): 2032–2046. doi: 10.1109/TAES.2013.130148
    [14] WANG Jinghe, YI Wei, KIRUBARAJAN T, et al. An efficient recursive multiframe track-before-detect algorithm[J]. IEEE Transactions on Aerospace and Electronic Systems, 2018, 54(1): 190–204. doi: 10.1109/TAES.2017.2741898
    [15] WANG Jinghe, YI Wei, and KONG Lingjiang. Moving target detection in MIMO radar with asynchronous data[C]. Proceedings of the 2016 19th International Conference on Information Fusion, Heidelberg, Germany, 2016: 1647–1652.
    [16] WANG Jinghe, YI Wei, KONG Lingjiang, et al. Multi-sensor multi-frame detection based on posterior probability density fusion[C]. Proceedings of the 2018 21st International Conference on Information Fusion, Cambridge, UK, 2018: 1–6.
    [17] WANG Jinghe, YI Wei, and KONG Lingjiang. Multi-sensor DP-TBD based on approximation of likelihood functions[C]. Proceedings of the 2017 20th International Conference on Information Fusion, Xi’an, China, 2017: 1–6.
    [18] LIU Rui, YI Wei, CUI Guolong, et al. Particle filtering for target tracking using plot-sequences of multi-frame track before detect[C]. Proceedings of 2015 IEEE Radar Conference, Arlington, USA, 2015: 495–500.
    [19] WANG Jinghe, YI Wei, KONG Lingjiang, et al. Multi-frame detection method for distributed radar network[C]. Proceedings of 2018 IEEE Radar Conference, Oklahoma City, USA, 2018: 880–884.
    [20] ARULAMPALAM M S, MASKELL S, GORDON N, et al. A tutorial on particle filters for online nonlinear/non-gaussian bayesian tracking[J]. IEEE Transactions on Signal Processing, 2002, 50(2): 174–188. doi: 10.1109/78.978374
    [21] 吴孙勇, 薛秋条, 朱圣棋, 等. 杂波环境下基于粒子滤波的微弱扩展目标检测前跟踪算法[J]. 雷达学报, 2017, 6(3): 252–258. doi: 10.12000/JR16128

    WU Sunyong, XUE Qiutiao, ZHU Shengqi, et al. Track-before-detect algorithm for weak extended target based on particle filter under clutter environment[J]. Journal of Radars, 2017, 6(3): 252–258. doi: 10.12000/JR16128
  • 加载中
图(9) / 表(1)
计量
  • 文章访问数: 
  • HTML全文浏览量: 
  • PDF下载量: 
  • 被引次数: 0
出版历程
  • 收稿日期:  2018-11-07
  • 修回日期:  2019-01-29
  • 网络出版日期:  2019-08-28

目录

    /

    返回文章
    返回