Volume 12 Issue 5
Oct.  2023
Turn off MathJax
Article Contents
XU Xiaowo, ZHANG Xiaoling, ZHANG Tianwen, et al. SAR ship detection in complex scenes based on adaptive anchor assignment and IOU supervise[J]. Journal of Radars, 2023, 12(5): 1097–1111. doi: 10.12000/JR23059
Citation: XU Xiaowo, ZHANG Xiaoling, ZHANG Tianwen, et al. SAR ship detection in complex scenes based on adaptive anchor assignment and IOU supervise[J]. Journal of Radars, 2023, 12(5): 1097–1111. doi: 10.12000/JR23059

SAR Ship Detection in Complex Scenes Based on Adaptive Anchor Assignment and IOU Supervise(in English)

DOI: 10.12000/JR23059
Funds:  The National Natural Science Foundation of China (61571099)
More Information
  • Corresponding author: ZENG Tianjiao, tzeng@uestc.edu.cn
  • Received Date: 2023-04-27
  • Rev Recd Date: 2023-05-26
  • Publish Date: 2023-06-21
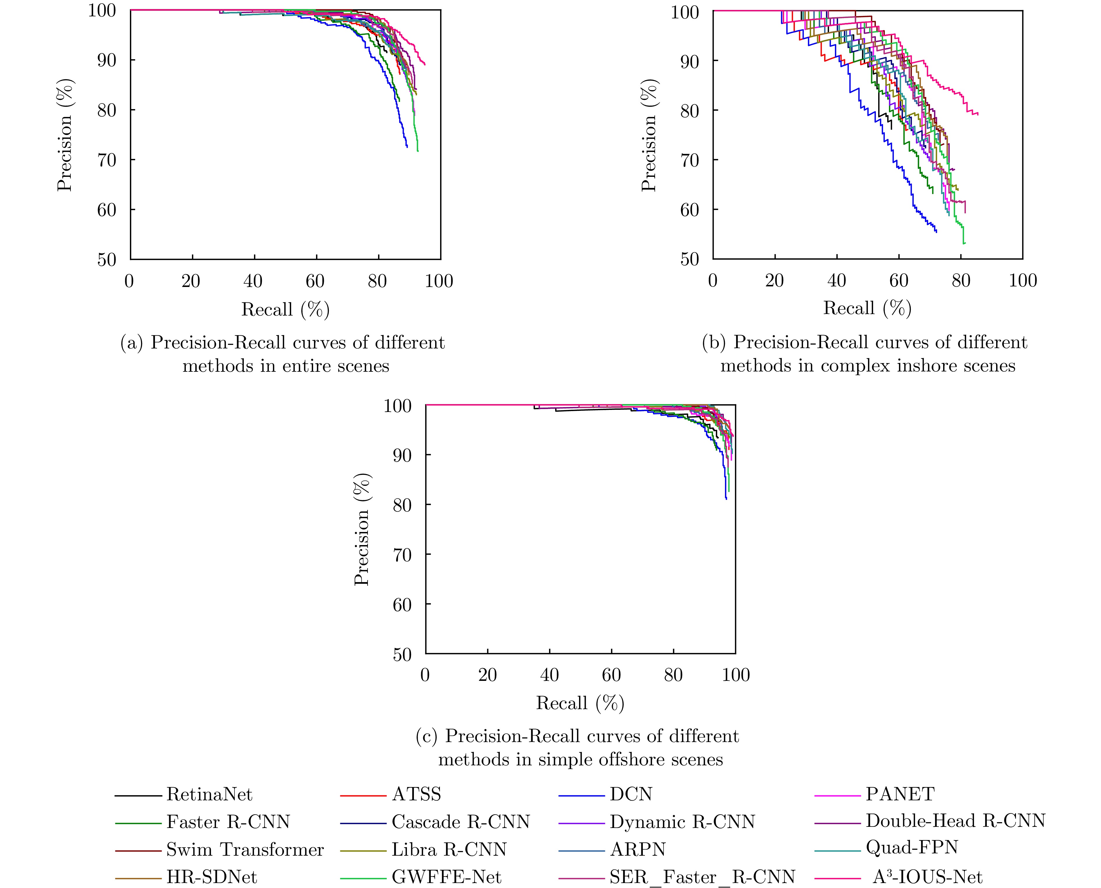
  • This study aims to address the unreasonable assignment of positive and negative samples and poor localization quality in ship detection in complex scenes. Therefore, in this study, a Synthetic Aperture Radar (SAR) ship detection network (A3-IOUS-Net) based on adaptive anchor assignment and Intersection over Union (IOU) supervise in complex scenes is proposed. First, an adaptive anchor assignment mechanism is proposed, where a probability distribution model is established to adaptively assign anchors as positive and negative samples to enhance the ship samples’ learning ability in complex scenes. Then, an IOU supervise mechanism is proposed, which adds an IOU prediction branch in the prediction head to supervise the localization quality of detection boxes, allowing the network to accurately locate the SAR ship targets in complex scenes. Furthermore, a coordinate attention module is introduced into the prediction branch to suppress the background clutter interference and improve the SAR ship detection accuracy. The experimental results on the open SAR Ship Detection Dataset (SSDD) show that the Average Precision (AP) of A3-IOUS-Net in complex scenes is 82.04%, superior to the other 15 comparison models.

     

  • loading
  • [1]
    刘方坚, 李媛. 基于视觉显著性的SAR遥感图像NanoDet舰船检测方法[J]. 雷达学报, 2021, 10(6): 885–894. doi: 10.12000/JR21105.

    LIU Fangjian and LI Yuan. SAR remote sensing image ship detection method NanoDet based on visual saliency[J]. Journal of Radars, 2021, 10(6): 885–894. doi: 10.12000/JR21105.
    [2]
    ZHANG Tianwen, ZHANG Xiaoling, KE Xiao, et al. HOG-ShipCLSNet: A novel deep learning network with hog feature fusion for SAR ship classification[J]. IEEE Transactions on Geoscience and Remote Sensing, 2022, 60: 5210322. doi: 10.1109/TGRS.2021.3082759.
    [3]
    ZHANG Tianwen and ZHANG Xiaoling. Injection of traditional hand-crafted features into modern CNN-based models for SAR ship classification: What, why, where, and how[J]. Remote Sensing, 2021, 13(11): 2091. doi: 10.3390/rs13112091.
    [4]
    XU Xiaowo, ZHANG Xiaoling, ZHANG Tianwen, et al. Shadow-background-noise 3D spatial decomposition using sparse low-rank Gaussian properties for video-SAR moving target shadow enhancement[J]. IEEE Geoscience and Remote Sensing Letters, 2022, 19: 4516105. doi: 10.1109/LGRS.2022.3223514.
    [5]
    ZHANG Tianwen and ZHANG Xiaoling. High-speed ship detection in SAR images based on a grid convolutional neural network[J]. Remote Sensing, 2019, 11(10): 1206. doi: 10.3390/rs11101206.
    [6]
    ZHANG Tianwen, ZHANG Xiaoling, SHI Jun, et al. Balance scene learning mechanism for offshore and inshore ship detection in SAR images[J]. IEEE Geoscience and Remote Sensing Letters, 2022, 19: 4004905. doi: 10.1109/LGRS.2020.3033988.
    [7]
    徐从安, 苏航, 李健伟, 等. RSDD-SAR: SAR舰船斜框检测数据集[J]. 雷达学报, 2022, 11(4): 581–599. doi: 10.12000/JR22007.

    XU Cong’an, SU Hang, LI Jianwei, et al. RSDD-SAR: Rotated ship detection dataset in SAR images[J]. Journal of Radars, 2022, 11(4): 581–599. doi: 10.12000/JR22007.
    [8]
    ZHANG Tianwen, ZHANG Xiaoling, SHI Jun, et al. Depthwise separable convolution neural network for high-speed SAR ship detection[J]. Remote Sensing, 2019, 11(21): 2483. doi: 10.3390/rs11212483.
    [9]
    TANG Gang, ZHUGE Yichao, CLARAMUNT C, et al. N-YOLO: A SAR ship detection using noise-classifying and complete-target extraction[J]. Remote Sensing, 2021, 13(5): 871. doi: 10.3390/rs13050871.
    [10]
    ZHANG Tianwen and ZHANG Xiaoling. HTC+ for SAR ship instance segmentation[J]. Remote Sensing, 2022, 14(10): 2395. doi: 10.3390/rs14102395.
    [11]
    HE Bokun, ZHANG Qingyi, TONG Ming, et al. Oriented ship detector for remote sensing imagery based on pairwise branch detection head and SAR feature enhancement[J]. Remote Sensing, 2022, 14(9): 2177. doi: 10.3390/rs14092177.
    [12]
    XU Xiaowo, ZHANG Xiaoling, and ZHANG Tianwen. Lite-YOLOv5: A lightweight deep learning detector for on-board ship detection in large-scene sentinel-1 SAR images[J]. Remote Sensing, 2022, 14(4): 1018. doi: 10.3390/rs14041018.
    [13]
    ZHANG Tianwen, ZHANG Xiaoling, SHI Jun, et al. HyperLi-Net: A hyper-light deep learning network for high-accurate and high-speed ship detection from synthetic aperture radar imagery[J]. ISPRS Journal of Photogrammetry and Remote Sensing, 2020, 167: 123–153. doi: 10.1016/j.isprsjprs.2020.05.016.
    [14]
    ZHANG Tianwen and ZHANG Xiaoling. A mask attention interaction and scale enhancement network for SAR ship instance segmentation[J]. IEEE Geoscience and Remote Sensing Letters, 2022, 19: 4511005. doi: 10.1109/LGRS.2022.3189961.
    [15]
    XU Xiaowo, ZHANG Xiaoling, SHAO Zikang, et al. A group-wise feature enhancement-and-fusion network with dual-polarization feature enrichment for SAR ship detection[J]. Remote Sensing, 2022, 14(20): 5276. doi: 10.3390/rs14205276.
    [16]
    LI Jianwei, XU Cong’an, SU Hang, et al. Deep learning for SAR ship detection: Past, present and future[J]. Remote Sensing, 2022, 14(11): 2712. doi: 10.3390/rs14112712.
    [17]
    LIN T Y, GOYAL P, GIRSHICK R, et al. Focal loss for dense object detection[J]. IEEE Transactions on Pattern Analysis and Machine Intelligence, 2020, 42(2): 318–327. doi: 10.1109/TPAMI.2018.2858826.
    [18]
    ZHANG Tianwen, ZHANG Xiaoling, KE Xiao, et al. LS-SSDD-v1.0: A deep learning dataset dedicated to small ship detection from large-scale Sentinel-1 SAR images[J]. Remote Sensing, 2020, 12(18): 2997. doi: 10.3390/rs12182997.
    [19]
    KIM K and LEE H S. Probabilistic anchor assignment with IoU prediction for object detection[C]. 16th European Conference on Computer Vision, Glasgow, UK, 2020: 355–371.
    [20]
    REYNOLDS D. Gaussian Mixture Models[M]. LI S Z and JAIN A. Encyclopedia of Biometrics. Boston, USA: Springer, 2009: 659–663.
    [21]
    DEMPSTER A P, LAIRD N M, and RUBIN D B. Maximum likelihood from incomplete data via the EM algorithm[J]. Journal of the Royal Statistical Society:Series B (Methodological), 1977, 39(1): 1–22. doi: 10.1111/j.2517-6161.1977.tb01600.x.
    [22]
    ZHANG Caiguang, XIONG Boli, LI Xiao, et al. TCD: Task-collaborated detector for oriented objects in remote sensing images[J]. IEEE Transactions on Geoscience and Remote Sensing, 2023, 61: 4700714. doi: 10.1109/TGRS.2023.3244953.
    [23]
    ZHANG Tianwen and ZHANG Xiaoling. Squeeze-and-excitation Laplacian pyramid network with dual-polarization feature fusion for ship classification in SAR images[J]. IEEE Geoscience and Remote Sensing Letters, 2022, 19: 4019905. doi: 10.1109/LGRS.2021.3119875.
    [24]
    HOU Qibin, ZHOU Daquan, and FENG Jiashi. Coordinate attention for efficient mobile network design[C]. 2021 IEEE/CVF Conference on Computer Vision and Pattern Recognition, Nashville, USA, 2021: 13708–13717.
    [25]
    ZHANG Tianwen, ZHANG Xiaoling, LI Jianwei, et al. SAR ship detection dataset (SSDD): Official release and comprehensive data analysis[J]. Remote Sensing, 2021, 13(18): 3690. doi: 10.3390/rs13183690.
    [26]
    KETKAR N. Introduction to PyTorch[M]. KETKAR N. Deep Learning with Python: A Hands-on Introduction. Berkeley, USA: Apress, 2017: 195–208.
    [27]
    CHEN Kai, WANG Jiaqi, PANG Jiangmiao, et al. MMDetection: Open MMLab detection toolbox and benchmark[J]. arXiv: 1906.07155, 2019.
    [28]
    ZHANG Shifeng, CHI Cheng, YAO Yongqiang, et al. Bridging the gap between anchor-based and anchor-free detection via adaptive training sample selection[C]. 2020 IEEE/CVF Conference on Computer Vision and Pattern Recognition, Seattle, USA, 2020: 9756–9765.
    [29]
    ZHU Xizhou, HU Han, LIN S, et al. Deformable ConvNets V2: More deformable, better results[C]. 2019 IEEE/CVF Conference on Computer Vision and Pattern Recognition, Long Beach, USA, 2019: 9300–9308.
    [30]
    LIU Shu, QI Lu, QIN Haifeng, et al. Path aggregation network for instance segmentation[J]. arXiv: 1803.01534, 2018.
    [31]
    REN Shaoqing, HE Kaiming, GIRSHICK R, et al. Faster R-CNN: Towards real-time object detection with region proposal networks[J]. IEEE Transactions on Pattern Analysis and Machine Intelligence, 2017, 39(6): 1137–1149. doi: 10.1109/TPAMI.2016.2577031.
    [32]
    CAI Zhaowei and VASCONCELOS N. Cascade R-CNN: Delving into high quality object detection[C]. 2018 IEEE/CVF Conference on Computer Vision and Pattern Recognition, Salt Lake City, USA, 2018: 6154–6162.
    [33]
    ZHANG Hongkai, CHANG Hong, MA Bingpeng, et al. Dynamic R-CNN: Towards high quality object detection via dynamic training[C]. 16th European Conference on Computer Vision, Glasgow, UK, 2020: 260–275.
    [34]
    WU Yue, CHEN Yinpeng, YUAN Lu, et al. Rethinking classification and localization for object detection[C]. 2020 IEEE/CVF Conference on Computer Vision and Pattern Recognition, Seattle, USA, 2020: 10183–10192.
    [35]
    LIU Ze, LIN Yutong, CAO Yue, et al. Swin transformer: Hierarchical vision transformer using shifted windows[C]. 2021 IEEE/CVF International Conference on Computer Vision, Montreal, Canada, 2021: 9992–10002.
    [36]
    PANG Jiangmiao, CHEN Kai, SHI Jianping, et al. Libra R-CNN: Towards balanced learning for object detection[C]. 2019 IEEE/CVF Conference on Computer Vision and Pattern Recognition, Long Beach, USA, 2019: 821–830.
    [37]
    ZHAO Yan, ZHAO Lingjun, XIONG Boli, et al. Attention receptive pyramid network for ship detection in SAR images[J]. IEEE Journal of Selected Topics in Applied Earth Observations and Remote Sensing, 2020, 13: 2738–2756. doi: 10.1109/JSTARS.2020.2997081.
    [38]
    ZHANG Tianwen, ZHANG Xiaoling, and KE Xiao. Quad-FPN: A novel quad feature pyramid network for SAR ship detection[J]. Remote Sensing, 2021, 13(14): 2771. doi: 10.3390/rs13142771.
    [39]
    WEI Shunjun, SU Hao, MING Jing, et al. Precise and robust ship detection for high-resolution SAR imagery based on HR-SDNet[J]. Remote Sensing, 2020, 12(1): 167. doi: 10.3390/rs12010167.
    [40]
    LIN Zhao, JI Kefeng, LENG Kiangguang, et al. Squeeze and excitation rank faster R-CNN for ship detection in SAR images[J]. IEEE Geoscience and Remote Sensing Letters, 2019, 16(5): 751–755. doi: 10.1109/LGRS.2018.2882551.
    [41]
    VO X T and JO K H. A review on anchor assignment and sampling heuristics in deep learning-based object detection[J]. Neurocomputing, 2022, 506: 96–116. doi: 10.1016/j.neucom.2022.07.003.
    [42]
    孙显, 王智睿, 孙元睿, 等. AIR-SARShip-1.0: 高分辨率SAR舰船检测数据集[J]. 雷达学报, 2019, 8(6): 852–862. doi: 10.12000/JR19097.

    SUN Xian, WANG Zhirui, and SUN Yuanrui, et al. AIR-SARShip-1.0: High-resolution SAR ship detection dataset[J]. Journal of Radars, 2019, 8(6): 852–862. doi: 10.12000/JR19097.
  • 加载中

Catalog

    通讯作者: 陈斌, bchen63@163.com
    • 1. 

      沈阳化工大学材料科学与工程学院 沈阳 110142

    1. 本站搜索
    2. 百度学术搜索
    3. 万方数据库搜索
    4. CNKI搜索
    Article views(1823) PDF downloads(286) Cited by()
    Proportional views
    Related

    /

    DownLoad:  Full-Size Img  PowerPoint