② (空军工程大学信息与导航学院 西安 710077)
③ (信息感知技术协同创新中心 西安 710077)
④ (复旦大学电磁波信息科学教育部重点实验室 上海 200433)
⑤ (微波成像技术国家重点实验室 北京 100190)
⑥ (中国科学院电子学研究所 北京 100190)
② (College of Information and Navigation, Air Force Engineering University, Xi’an 710077, China)
③ (Collaborative Innovation Center of Information Sensing and Understanding, Xi’an 710077, China)
④ (The Key Laboratory for Information Science of Electromagnetic Waves (Ministry of Education), Fudan University, Shanghai 200433, China)
⑤ (National Key Laboratory of Microwave Imaging Technology, Beijing 100190, China)
⑥ (Institute of Electronics, Chinese Academy of Sciences, Beijing 100190, China)
3维合成孔径雷达(3-Dimensional Synthetic Aperture Radar, 3D SAR)成像能够克服传统2维SAR成像中存在的阴影和重叠效应[1],获得场景的3维成像结果[2–4]。与其他的3D SAR成像技术相比,例如:层析SAR成像[5]、干涉SAR成像[6]等,阵列3D SAR成像技术通过单次航过就能得到场景的3维图像[7–10],而且成像模式更加灵活,尤其是稀疏阵列下视3D SAR(Downward-Looking Sparse Linear Array 3D SAR, DLSLA 3D SAR)成像能够克服斜视中存在的阴影效应,得到了更加广泛的关注。
DLSLA 3D SAR系统的线阵长度受限于平台的尺寸,导致跨航向分辨率比较低,很多文章对提升DLSLA 3D SAR系统的跨航向分辨率进行了研究[11,12]。但是这些文章并未考虑载机飞行不理想的情况,实际情况下,载机的运动是会存在误差的。为补偿运动误差,文献[13]提出一种基于波数域的运动补偿方法,但是该方法需已知载机的运动参数。文献[14]提出一种基于多通道联合自聚焦的方法,该方法利用传统图像偏置(map drift)法实现图像的自聚焦,但是没有考虑多普勒调频空变的特点。事实上,DLSLA 3D SAR成像与传统的SAR成像中的运动误差补偿是存在不同的。传统SAR一般都是远距离成像,方位向合成孔径较长,合成孔径时间也比较长[15,16]。但是,DLSLA 3D SAR成像中,由于跨航向分辨率与平台高度成反比,要使其跨航向分辨率在可接受的范围内,载机平台的高度就不能太高,合成孔径长度也就不会太长,合成孔径时间也会较短。因此,在一个合成孔径时间内载机一般都可看成是平稳飞行的。
基于以上分析,本文研究载机飞行过程中存在偏航角速度时的DLSLA 3D SAR成像。首先建立载机存在偏航角速度下的DLSLA 3D SAR成像模型;其次,通过理论计算得到多普勒调频率的显示表达式,并且多普勒调频率与散射点被调制后的跨航向坐标有关,而与被调制后的方位向坐标无关;因此,可以先处理跨航向信号,再处理方位向信号;接着,在完成跨航向信号重构后,在平台运动参数存在误差的情况下,基于参数化稀疏表征方法实现了平台的速度和偏航角速度的估计,进一步利用所得到的参数构造方位补偿函数完成了方位向信号的处理,实现了运动误差的补偿;随后提出一种形变校正方法。仿真实验验证了所提算法的有效性。
2 DLSLA 3D SAR成像运动误差建模DLSLA 3D SAR成像几何模型如图1所示。假设飞机以速度v平行于X轴(方位向)飞行,飞行高度为H。稀疏线性阵列布设在机翼下方,沿着Y轴(跨航向)排列,并且关于高度向Z轴(距离向)对称。阵列结构为两端的为发射阵元,数量为
|
图 1 DLSLA 3D SAR成像几何模型 Fig.1 DLSLA 3D SAR imaging geometry model |
|
其中,
载机在运动过程中,偏航角变化呈正弦形式,而且,最大偏航角一般不会太大,会被控制在一定范围内。在该条件下,载机的偏航角变化可以近似成线性变化。基于此近似,假设偏航角速度为
|
其中,
|
一般情况下,为了保持载机平稳飞行,偏航角速度
|
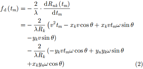
信号的多普勒调频率
同理,定义跨航向的频率
|
|
因此,可得多普勒频率中心
|
|
令
|
|
由式(7)—式(10)可知,第l个散射点在方位维-跨航向维平面聚焦后的位置为
|
其中,
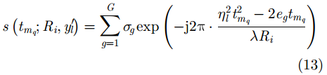
完成距离压缩和跨航向信号重构后,位于第i个距离单元、第l个跨航向单元的方位向信号可表示为
|
其中,G表示位于该单元中的散射点数。令
|
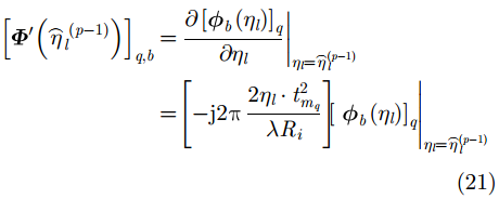
根据式(13),方位向稀疏字典可构造为
|
其中,B表示方位向场景离散网格数,且列向量
|
其中,
|
其中,
|
|
其中,
在第p次迭代中,参数的初始值
|
其中,
得到稀疏解
|
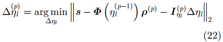
为实现参数
|
其中,
|
其中,
|
式(22)可利用最小二乘法求解,进而,参数可以利用式(23)进行更新。
|
其中,
通过以上方法,循环更新
由于聚焦后的3维图像在方位向-跨航向平面存在形变,因此,需对各个高度维的方位向和跨航向平面进行形变校正。
首先,根据方位向处理之前的信号,可得第k个散射点的回波起始时间
其次,根据第k个散射点的坐标
|
|
其中,
|
根据式(9)、式(10)和式(26),可计算出散射点的准确坐标
本文所提算法的完整流程图如图2所示。
|
图 2 所提方法流程图 Fig.2 The flow chart of the proposed method |
本节利用仿真数据和DEM数据来验证本文所提方法的有效性。
5.1 DLSLA 3D SAR成像孤立点目标实验首先进行孤立点目标仿真实验。点目标模型如图3所示,所有点目标的反射系数均设为1。当载机的飞行速度为60 m/s,所得到的阵列尺寸为4.3 m×1.0 m(阵列方向×方位向),为保证方位向信号不出现模糊,脉冲重复频率至少为120 Hz;由于DLSLA 3D SAR成像系统采用MIMO时分工作方式,因此,跨航向信号需要16个脉冲周期才能得到一个全孔径的EPC,则系统的脉冲重复频率至少为1920 Hz。为了在较短的合成孔径时间内采样足够的信号,系统的脉冲重复频率设为5000 Hz。实验仿真参数如表1所示,EPC之间的间隔设为半个波长,载机平台存在偏航角运动误差。
|
图 3 3维孤立点目标模型 Fig.3 3D isolated targets model |
| 表 1 平台和天线的参数 Tab.1 Parameters of platform and antenna |
仿真实验中,假设平台自身的速度和偏航角速度估计值的误差分别为2 m/s和2°/s,并且在距离压缩后的信号中加入噪声,使得到的信号的信噪比为5 dB,跨航向利用波束形成原理对信号进行压缩。方位向的降采样率为0.8,图4(a)为直接构造稀疏字典矩阵对信号进行重构后得到的3维成像结果,此处称为直接成像方法,可见,方位向仍然存在展宽现象,方位向信号采用迭代阈值法进行重构。这是因为平台的运动参数值不准确,导致所构造的方位向稀疏字典矩阵与理想的稀疏字典矩阵不完全匹配。进一步,利用所提出的参数化稀疏表征方法估计平台的运动参数,得到平台的速度和偏航角速度的估计结果分别为60.08 m/s和2.09°/s,再根据得到的运动参数构造方位向稀疏字典矩阵对信号进行处理,成像结果如图4(b)所示,可见,方位向聚焦效果良好。这说明所提的参数化稀疏表征方法能够准确估计平台的运动参数,并完成方位向信号处理,实现平台运动误差的补偿。
|
图 4 成像结果 Fig.4 Imaging result |
图5为图4(a)和图4(b)红色矩形区域内两个目标的方位向截面图,图5中红色线条代表图4(b)对应的方位向截面图,蓝色线条代表图4(a)对应的方位向截面图,可见,基于参数化稀疏表征的方法能够实现方位向的压缩,而直接法由于采用的平台运动参数不准,导致构造的稀疏字典与信号不匹配,因此存在一定的展宽现象。表2为图5中两种方法对应的3 dB宽度。其中提升倍数的定义为:直接法的3 dB宽度/参数化稀疏表征法的3 dB宽度。可见,所提方法的聚焦效果有明显的改善。
|
图 5 方位向截面图 Fig.5 The azimuth sectional image |
因此,接下来分析图像的形变校正问题。图6(a)为图4(b)在方位向-跨航向平面上的投影结果,可见,聚焦所得散射点坐标的方位向坐标和跨航向坐标与其真实值确实存在偏差,而且矩形区域内目标坐标的偏差比椭圆形区域内的目标坐标的偏差更加严重。这可从方位向坐标和跨航向坐标被调制的公式看出,当目标的真实坐标越大时,坐标受到调制的影响也越严重。图6(b)为经过形变校正之后的结果,通过将图6(b)与图6(a)进行对比可以发现,校正后目标所在的位置与其真实值非常接近,而且不同区域的图像所发生的形变都能够得到准确的校正。即所提形变校正方法是有效的,利用所提方法能够校正图像所产生的形变。并且,根据形变校正方法得到的初始偏航角为2.92°。
|
图 6 方位向-跨航向平面投影图 Fig.6 2D projection onto azimuth and cross-track plane |
进一步,得到图6(b)中所示的5个目标形变校正前后的坐标,如表3所示,表明所提形变校正方法是有效的,利用本形变校正方法对图像进行处理能够明显改善图像性能。
| 表 3 形变校正前后的方位向、跨航向坐标 Tab.3 The azimuth and cross-track coordinates before and after deformation correction |
在本节仿真实验中,分布式场景及其在方位向-跨航向平面上的投影图分别如图7(a)和图7(b)所示。仿真参数如表1所示,在笛卡尔坐标系中,仿真场景的大小为200 m×200 m×35 m。散射点的方位向坐标均匀分布在[–100 m, 100 m],间隔为1 m。散射点的跨航向坐标均匀分布在[–100 m, 100 m],间隔也为1 m。根据系统参数,可算出跨航向的瑞利分辨率为5.42 m。为了评价所提算法的抗噪性能,在距离压缩后的信号中加入噪声,使信号的信噪比为5 dB,跨航向利用波束形成原理对信号进行压缩。在进行仿真时,方位向重构时的降采样率设为0.8。假设平台自身的速度和偏航角速度估计值的误差分别为2 m/s和2°/s,方位向信号采用迭代阈值法进行重构,由本节所提方法得到的场景3维成像结果如图8(a)所示,图8(b)为未进行运动误差补偿得到3维成像结果。从图8(b)可以看出,未进行运动误差补偿的成像结果中存在一些细节丢失的现象,而所提的方法能够得到完全聚焦的3维图像,平台的速度和偏航角速度的估计值分别为59.91 m/s和2.06°/s。进一步,得到图8(a)和8(b)在方位向-跨航向2维平面上的投影结果,分别如图9(a)和9(b)所示。从图8可见,两种方法得到图像在方位维-跨航向维平面都发生了形变,而且图9(b)还存在展宽现象。最后,根据所提形变校正方法,图9(a)经过形变校正后得到的结果如图10所示,可见,图像的形变得到了校正,并且偏航角的初始值的估计值为3.06°。即本文所提方法对分布式场景也是有效的。
|
图 7 成像场景示意图 Fig.7 The ideal scene |
|
图 8 分布式场景DLSLA 3D SAR成像结果 Fig.8 3D imaging result of scene |
|
图 9 方位向-跨航向平面投影图 Fig.9 2D projection onto azimuth and cross-track plane |
|
图 10 形变校正后的方位向-跨航向平面投影图 Fig.10 2D projection onto azimuth and cross-track plane after deformation correction. |
进一步,为评价形变校正方法对分布式场景的校正性能,得到了理想场景图7(b)中标示出的4个目标形变校正前后的方位向、跨航向坐标,如表4所示。提升倍数的定义为:|实际坐标值–校正前的坐标值|/|实际坐标值–校正后的坐标值|。可见,形变校正后的坐标相比校正前的坐标得到了很大的改善。即本形变校正方法对分布式场景也有效。
| 表 4 形变校正前后的方位向、跨航向坐标 Tab.4 The azimuth and cross-track coordinates before and after deformation correction |
DLSLA 3D SAR成像在载机存在偏航角速度的情况下会对成像产生影响。当载机存在偏航角速度时,信号多普勒调频不仅与平台的速度和偏航角速度有关,还与被调制后的跨航向坐标有关,而与被调制后的方位向坐标无关。因此可以先处理跨航向信号得到目标被调制后的跨航向坐标,再处理方位向信号。本文所提基于参数化稀疏表征的方法能够实现平台速度和偏航角速度的估计,并完成方位向信号重构,所提的形变校正方法能够校正图像的形变。仿真结果验证了本文所提方法的有效性。
| [1] |
Budillon A, Evangelista A, and Schirinzi G. Three-dimensional SAR focusing from multipass signals using compressive sampling[J].
IEEE Transactions on Geoscience and Remote Sensing, 2011, 49(1): 488-499. DOI:10.1109/TGRS.2010.2054099 ( 0)
|
| [2] |
Zhu X X and Bamler R. Very high resolution spaceborne SAR tomography in urban environment[J].
IEEE Transactions on Geoscience and Remote Sensing, 2010, 48(12): 4296-4308. DOI:10.1109/TGRS.2010.2050487 ( 0)
|
| [3] |
Peng X M, Tan W X, Hong W, et al. Airborne DLSLA 3-D SAR image reconstruction by combination of polar formatting and L1 regularization[J].
IEEE Transactions on Geoscience and Remote Sensing, 2016, 54(1): 213-226. DOI:10.1109/TGRS.2015.2453202 ( 0)
|
| [4] |
徐宗本, 吴一戎, 张冰尘, 等. 基于L1/2正则化理论的稀疏雷达成像
[J].
科学通报, 2018, 63(14): 1306-1319. Xu Zong-ben, Wu Yi-rong, Zhang Bing-chen, et al. Sparse radar imaging based on L1/2 regularization theory [J]. Chinese Science Bulletin, 2018, 63(14): 1306-1319. DOI:10.1360/N972018-00372 ( 0)
|
| [5] |
毕辉, 张冰尘, 洪文. 基于RIPless理论的层析SAR成像航迹分布优化方法[J].
航空学报, 2016, 37(2): 680-687. Bi Hui, Zhang Bingchen, and Hong Wen. Track distribution optimization method based on TomoSAR via RIPless theory[J]. Acta Aeronautica et Astronautica Sinica, 2016, 37(2): 680-687. DOI:10.7527/S1000-6893.2015.0131 ( 0)
|
| [6] |
侯丽英, 林赟, 洪文. 干涉圆迹SAR的目标三维重建方法研究[J].
雷达学报, 2016, 5(5): 538-547. Hou Li-ying, Lin Yun, and Hong Wen. Three-dimensional reconstruction method study based on interferometric circular SAR[J]. Journal of Radars, 2016, 5(5): 538-547. DOI:10.12000/JR16009 ( 0)
|
| [7] |
李烈辰, 李道京, 张清娟. 基于压缩感知的三孔径毫米波合成孔径雷达侧视三维成像[J].
电子与信息学报, 2013, 35(3): 552-558. Li Lie-chen, Li Dao-jing, and Zhang Qing-juan. Three-aperture millimeter-wave SAR side-looking three-dimensional imaging based on compressed sensing[J]. Journal of Electronics & Information Technology, 2013, 35(3): 552-558. DOI:10.3724/SP.J.1146.2012.01016 ( 0)
|
| [8] |
张清娟, 李道京, 李烈辰. 连续场景的稀疏阵列SAR侧视三维成像研究[J].
电子与信息学报, 2013, 35(5): 1097-1102. Zhang Qing-juan, Li Dao-jing, and Li Lie-chen. Research on continuous scene side-looking 3D imaging based on sparse array[J]. Journal of Electronics & Information Technology, 2013, 35(5): 1097-1102. DOI:10.3724/SP.J.1146.2012.01136 ( 0)
|
| [9] |
田鹤, 李道京, 潘洁, 等. 基于修正均匀冗余阵列正反编码的稀疏阵列SAR下视三维成像处理[J].
电子与信息学报, 2017, 39(9): 2203-2211. Tian He, Li Dao-jing, Pan Jie, et al. Downward-looking 3D imaging processing of sparse array SAR based on modified uniformly redundant arrays positive and negative coding[J]. Journal of Electronics & Information Technology, 2017, 39(9): 2203-2211. DOI:10.11999/JEIT161209 ( 0)
|
| [10] |
李道京, 侯颖妮, 滕秀敏, 等. 稀疏阵列天线雷达技术及其应用[M]. 北京: 科学出版社, 2014.
Li Dao-jing, Hou Ying-ni, Teng Xiu-min, et al.. Sparse Array Antenna Radar Imaging Technology and Application[M]. Beijing: Science Press, 2014. ( 0)
|
| [11] |
Bao Q, Han K Y, Peng X M, et al. DLSLA 3-D SAR imaging algorithm for off-grid targets based on pseudo-polar formatting and atomic norm minimization[J].
Science China Information Sciences, 2016, 59(6): 062310 DOI:10.1007/s11432-015-5477-5 ( 0)
|
| [12] |
Liu Q Y, Zhang Q, Luo Y, et al. Fast algorithm for sparse signal reconstruction based on off-grid model[J].
IET Radar, Sonar & Navigation, 2018, 12(4): 390-397. DOI:10.1049/iet-rsn.2017.0319 ( 0)
|
| [13] |
丁振宇, 谭维贤, 王彦平, 等. 基于波数域子孔径的机载三维SAR偏航角运动误差补偿[J].
雷达学报, 2015, 4(4): 467-473. Ding Zhen-yu, Tan Wei-xian, Wang Yan-ping, et al. Yaw angle error compensation for airborne 3-D SAR based on wavenumber-domain subblock[J]. Journal of Radars, 2015, 4(4): 467-473. DOI:10.12000/JR15016 ( 0)
|
| [14] |
杨泽民, 孙光才, 邢孟道, 等. 基于多通道联合自聚焦技术的机载三维SAR运动补偿[J].
电子与信息学报, 2012, 34(7): 1581-1588. Yang Ze-min, Sun Guang-cai, Xing Meng-dao, et al. Motion compensation for airborne 3-D SAR based on joint multi-channel auto-focusing technology[J]. Journal of Electronics & Information Technology, 2012, 34(7): 1581-1588. DOI:10.3724/SP.J.1146.2011.01365 ( 0)
|
| [15] |
Chen Y C, Li G, Zhang Q, et al. Motion compensation for airborne SAR via parametric sparse representation[J].
IEEE Transactions on Geoscience and Remote Sensing, 2017, 55(1): 551-562. DOI:10.1109/TGRS.2016.2611522 ( 0)
|
| [16] |
刘云龙, 李焱磊, 周良将, 等. 一种机载SAR快速几何精校正算法[J].
雷达学报, 2016, 5(4): 419-424. Liu Yun-long, Li Yan-lei, Zhou Liang-jiang, et al. A fast precise geometric calibration method for airborne SAR[J]. Journal of Radars, 2016, 5(4): 419-424. DOI:10.12000/JR16064 ( 0)
|
| [17] |
王力宝, 许稼, 皇甫堪, 等. MIMO-SAR等效相位中心误差分析与补偿[J].
电子学报, 2009, 37(12): 2688-2693. Wang Li-bao, Xu Jia, Huangfu Kan, et al. Analysis and compensation of equivalent phase center error in MIMO-SAR[J]. Acta Electronica Sinica, 2009, 37(12): 2688-2693. DOI:10.3321/j.issn:0372-2112.2009.12.015 ( 0)
|



0)