前视合成孔径雷达能够对平台正前方区域进行大范围、高分辨成像[1,2],在军用以及民用中具有良好的应用前景。在军事侦查中,前视SAR系统往往要面对复杂电磁环境。此时,SAR系统将受到一定程度的干扰,当干扰严重时系统将无法有效成像。在众多的干扰方法中,有源欺骗干扰是较难鉴别与抑制的干扰之一[3]。有源欺骗干扰能够在SAR图像上模拟出偏离干扰机位置的大面积虚假目标来掩盖真实目标,使得对真实目标的识别变得更为困难。由于前视SAR多用于弹载制导领域,虚假目标的出现将对弹载信号与信息处理机能否正确识别真实目标产生致命影响,因而鉴别并抑制有源欺骗干扰是前视SAR成像必不可少的处理步骤。
在战场侦察、精确制导等领域,亟需对欺骗干扰进行鉴别和抑制的有效方法。文献[4]提出利用距离向DBF-SAR系统进行欺骗干扰抑制,但实际工作中干扰回波与真实目标回波必然是面目标且有多个不同方向,文中所述的方法将无法确定干扰与真实目标各自的方向,因而无法进行干扰抑制。文献[5]提出基于4通道相干积累的抗欺骗干扰方法,但是实际中通道数有限且通道误差不可避免,使得相干积累后信干比提升有限。文献[6]提出SAR通过发射随机线性调频斜率信号,使得干扰机侦测并发射的信号落后于真实回波信号,从而在匹配滤波时得不到相应的处理增益来提高信干比。但是可以看到,当调频斜率变化系数增大时成像质量严重下降,干扰抑制能力有限。此外,在前视成像模式下抗干扰与解模糊所产生的空域资源竞争也是一个关键问题,只有合理的分配空域资源才能利用有限通道做到抗干扰、解模糊同时进行。
距离向DBF-SAR[7]系统的提出,为波束形成技术在SAR领域的应用起到了举足轻重的作用。本文针对前视SAR模式下的欺骗干扰抑制问题,提出一种欺骗干扰自适应鉴别抑制算法。其主要思想是利用欺骗干扰回波与真实地物回波空时关系的差异进行干扰与真实目标的分离,利用门限检测法在SAR图像上进行干扰样本及干扰像素位置的鉴别,然后以空间谱估计法得到干扰方位角度,最后利用自适应空域滤波法进行干扰抑制,实现抗欺骗干扰的目的。该方法有效地解决了文献[4]不能对面目标欺骗干扰进行鉴别与抑制的问题,相对于文献[5]而言大大提高了处理后图像信干比,同时不会出现文献[6]中图像质量下降的问题。本文在信号处理时,利用在阵列通道上以步长为1的滑窗法依次取出多通道信号进行干扰抑制与解模糊成像,使得空域资源充分利用,在通道数较少的情况下实现最大阵列孔径干扰抑制与解模糊。针对前视SAR具有高分辨的特性以及欺骗干扰偏离真实位置的特性,提出局部干扰抑制法,在干扰抑制的同时完整的保留图像信息。
2 前视SAR欺骗干扰数学模型与问题分析FLMC-SAR (Forward-Looking Multi-Channel SAR)几何模型如图1所示。以雷达航迹在地面的投影为
|
图 1 FLMC-SAR几何模型 Fig.1 FLMC-SAR geometric model |
如图1所示,场景中有一干扰机位于
|
|
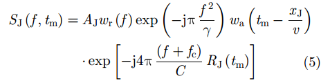
其中,
|
|
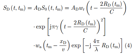
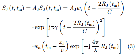
其中,
由式(3)与式(4)可以看出,欺骗干扰回波与干扰机处真实目标回波的差异在于斜距历史的不同,也即斜距历史引起的回波距离向滞后时间与方位向多普勒相位不同。由此可知,为了使干扰机能够发射欺骗干扰,只需对干扰机接收的目标SAR信号进行距离向与方位向调制即可,调制的大小由二者实时距离差决定。对此,干扰生成的方法具体如下:
对于转发式干扰机形成欺骗干扰的方法为,在回波
|
|
其中,
|
则
|
由式(8)可知,干扰机只要对接收到的SAR信号在距离频域调制一个与欺骗点到干扰机之间斜距差有关的线性相位项,再进行逆傅里叶变换得到时域信号发射出去,即可形成欺骗干扰。下面,我们写出前视SAR系统接收到的多通道干扰回波信号模型。
在满足窄带信号与平台飞行距离很小的假设下,干扰机方位角度为
|
上节中,通过对比干扰机处真实SAR回波与欺骗干扰回波的差异,发现欺骗干扰是可以由干扰机对真实SAR信号进行调制得到的。由式(8)中与
|
图 2 欺骗干扰与真实回波空时关系差异 Fig.2 Difference between deception jamming and real echo space time relationship |
图2中,欺骗干扰空时谱由于附加了一个与实时斜距差有关的多普勒相位,导致欺骗干扰回波空时关系偏离真实空时谱并在多普勒轴上切出一个截距,这一截距正是附加的多普勒值。此时欺骗干扰的空时关系如下:
|
其中,
同时,可以看到图中的欺骗干扰空时谱的斜率为真实回波空时谱的一半。这是由于,当干扰机已知SAR信号参数时,仅对目标SAR发射干扰而非调制转发SAR回波。因此干扰回波为单程,多普勒与速度为1倍关系:
|
从这一差异图可以明显看出,利用其中任何一种空时谱就可以轻而易举地提取该信号并抑制另一信号,或者抑制该信号提取另一信号。由于欺骗干扰空时关系未知,因此,可以选择利用真实地物回波空时谱进行真实地物回波提取,并抑制欺骗干扰。也可以先提取欺骗干扰,在获得干扰信息后进行干扰抑制。
为了能够获得干扰更多的信息,本文选择先提取干扰,在获得干扰信息后进行干扰抑制。从图2中可以看到,欺骗干扰空时谱与真实地物回波空时谱无重叠,也就是在进行地物相消时不损失干扰信号,且干扰信号中不含有地物回波信号。
前视情况下,由于方位采样的原因从回波信号中不能直接得到真实的空时关系。一种免于求解空时谱关系的方法是对回波进行BP (Back Projection)成像,对方位角度进行网格划分,此时每个方位角已知,因而不必计算。首先,构造可以抑制当前角度真实地物回波的正交投影权矢量[9,10]。由于前视回波的左右模糊特性,需要得到能够同时在对称角度上形成凹口的正交投影权。角度
|
则,角度
|
|
|
这一投影矩阵的每一行均与导向矢量
|
利用上述步骤便可以得到抑制真实地物回波的空域正交权矢量。然后对BP成像后的每一方位角上所有距离单元进行空域滤波便可以抑制真实地物回波。假设第
|
式中,
对式(17)进行空域滤波,即右乘以权矢量
|
从式(18)可以看出,利用权矢量抑制真实地物回波的同时由于欺骗干扰导向矢量与权矢量不正交,所以干扰不受影响,被保留下来。
在利用上述地物相消法后,回波数据中的真实地物回波将被完全抑制,使得干信比大大提升。这时可利用门限检测法获得具有高干信比的干扰样本,利用高干信比的干扰样本将得到精确的干扰估计角度。最后,利用空域自适应波束形成对含干扰数据进行空域滤波便能够有效地抑制所有干扰,得到无干扰图像。
在上述空域滤波时,一般做法是将得到的空域滤波器对全空域数据进行滤波。但是,此方法在抑制欺骗干扰的同时,不可避免地将与干扰机同一方向上的真实地物回波一同滤除,图像上将出现因信号损失而形成的黑色区域。由前面几节所述,欺骗干扰在图像上所覆盖的位置并非其真实位置。如式(17)所示,图像上含干扰的方位位置所对应的角度
|
可以看到,在对干扰所在像素区域进行空域滤波时,由于真实地物回波的到达角不同于欺骗干扰,所以,真实地物回波信号不受损失而干扰被抑制。如果干扰抑制仅在干扰所在的像素位置上进行,则与欺骗干扰同一方向的地物回波不受损失,且被欺骗干扰掩盖的地物回波也不受损失,所以图像将完整保留。本文将此方法称之为自适应欺骗干扰局部抑制法。这一方法行之有效的基础是前视SAR系统可以得到高分辨的图像,使得在地物抑制后可以利用门限检测法来对欺骗干扰进行像素位置的定位。
前视多通道合成孔径雷达成像的基本步骤为:回波距离脉压、BP成像[11]、解模糊成像[12,13]。由于干扰不能被解模糊,且解模糊之后将影响干扰样本的提取,所以干扰抑制需在解模糊之前进行。则前视多通道合成孔径雷达抗欺骗干扰成像的算法具体流程见图3。
|
图 3 欺骗干扰抑制算法流程 Fig.3 Deception interference suppression algorithm flow |
在真实环境中当弹载雷达锁定真实舰船时,干扰机发射欺骗信号形成欺骗目标。若弹载计算机无法判断欺骗干扰与真实目标,则将误导弹载信号与信息处理机做出错误判断。因此本文仿真设置见表1。
| 表 1 系统参数 Tab.1 System parameters |
采用前视9通道线性阵列接收回波,信号处理时通道资源配置如下:干扰抑制用5通道进行,波束形成解模糊也用5通道进行,多通道数据获取方法为如前所述的步长为1的滑窗法。目标设置如下:利用真实SAR图像作为背景仿真得到真实目标回波,仿真得到真实方位角为5.17°虚假方位角为(–2°, –3°)之间的3艘舰船欺骗干扰目标。
实验模拟直线航迹下的FLMC-SAR系统进行回波仿真,采用上述算法对回波进行欺骗干扰鉴别抑制成像如下:
加入欺骗干扰后进行前视单通道BP模糊成像的结果如图4(b)所示,可以看到在泽碧岛下部小船的附近出现了3艘反射很强的舰船目标,即为欺骗舰船。
|
图 4 加入欺骗干扰前后对比 Fig.4 Comparison before and after adding spoofing jamming |
如图5(a)所示,地物抑制后图像域仅保留欺骗干扰。此时,干信比大大提升使得干扰样本的提取更加容易。由图5(b)可以看出,在利用门限检测法后几乎所有欺骗干扰都被正确定位,图5(a)中船只之间干扰旁瓣所在区域也被正确选出。
|
图 5 地物相消与干扰位置定位 Fig.5 Location cancellation and interference position locating |
图6即为利用获得的高干信比的干扰样本估计的欺骗干扰方向,与设置值5.17°对比来看误差为0.006°,这一误差值在实际数据处理中远小于误差容忍值。
|
图 6 干扰角度估计结果 Fig.6 Interference angle estimation results |
图7(a)、图7(b)为干扰抑制后解模糊成像结果,图7(a)为全空域干扰抑制结果,图7(b)为局部干扰抑制结果。两图对比来看,局部干扰抑制解模糊完整地保存了原始图像,被欺骗干扰覆盖的区域以及与欺骗干扰同方向的区域,地物真实回波信号都未损失图像被完整保留。而对于全空域欺骗干扰抑制,被欺骗干扰覆盖的区域地物真实回波未损失。干扰机位置附近的地物回波损失严重,使得右下角的岛屿及道路完全被抑制,图像信息未能完整保存。
|
图 7 欺骗干扰抑制解模糊对比 Fig.7 Comparison of deception interference suppression ambiguity resolution |
处理前后的性能指标测得如表2所示。其中信干比增益为干扰机方向上干扰抑制后信干比与抑制前信干比之比的分贝值,干扰抑制比为处理前后欺骗干扰功率比,信号抑制比为处理前后干扰机方向上期望信号功率比。
| 表 2 处理性能对比 Tab.2 The comparison of processing performance |
从结果图可以看出,传统的全空域干扰抑制法在去除干扰的同时,使得场景右边干扰机附近的图像被抑制,形成一条黑带区域,图像信息损失。这一点从表2也可以看出,其中信号与干扰都被抑制了30.75 dB。而本文所提的局部干扰抑制法几乎对图像无损失,图像信息被完整保留。且从表2可以看出,此时的干扰抑制性能良好。
5 结论本文针对前视SAR系统面临欺骗干扰难以有效鉴别并抑制的问题,提出了一种欺骗干扰自适应鉴别抑制算法。该算法根据欺骗干扰与真实地物回波空时关系的差异进行干扰的分离与鉴别,利用AADBF法进行局部空域干扰抑制,从而实现了前视SAR系统抗欺骗干扰的目的。该方法不仅能够准确地鉴别抑制面目标欺骗干扰,而且相对于传统的全空域干扰抑制法,不会造成与干扰同一方向上的真实地物回波信号的损失,使得图像信息完整保存。本文方法是基于欺骗干扰回波与真实地物回波空时关系差异较大的情况下提出的,需要进一步研究如何在这一差异较小时进行欺骗干扰的鉴别与抑制。
| [1] |
张英杰, 王彦平, 谭维贤, 等. 机载前视阵列SAR运动补偿研究[J].
雷达学报, 2013, 2(2): 168-179. Zhang Ying-jie, Wang Yan-ping, Tan Wei-xian, et al. Motion compensation for airborne forward looking synthetic aperture radar with linear array antennas[J]. Journal of Radars, 2013, 2(2): 168-179. DOI:10.3724/SP.J.1300.2013.20067 ( 0)
|
| [2] |
Dai S L, Liu M, Sun Y J, et al.. The latest development of high resolution imaging for forward looking SAR with multiple receiving antennas[C]. Proceedings of Scanning the Present and Resolving the Future. Proceedings. IEEE 2001 International Geoscience and Remote Sensing Symposium, Sydney, NSW, Australia, 2001: 1433–1435.
( 0)
|
| [3] |
冯德军, 王俊杰, 王俊卿. 移频导前假目标的特性分析及其鉴别方法[J].
雷达学报, 2017, 6(4): 325-331. Feng Dejun, Wang Junjie, and Wang Junqing. Signature analysis and discrimination method of preceded frequency-shift false target[J]. Journal of Radars, 2017, 6(4): 325-331. DOI:10.12000/JR17026 ( 0)
|
| [4] |
齐维孔, 禹卫东. 距离向DBF-SAR系统抗欺骗干扰研究[J].
电子与信息学报, 2010, 32(12): 2830-2835. Qi Wei-kong and Yu Wei-dong. Research on countering deceptive jamming with range DBF-SAR system[J]. Journal of Electronics & Information Technology, 2010, 32(12): 2830-2835. DOI:10.3724/SP.J.1146.2010.00074 ( 0)
|
| [5] |
张双喜, 孙光才, 刘艳阳, 等. 基于四通道SAR欺骗式干扰抑制算法[J].
现代雷达, 2011, 33(2): 22-26, 30. Zhang Shuang-xi, Sun Guang-cai, Liu Yan-yang, et al. Deception interference supression algorithm based on four-channel for SAR[J]. Modern Radar, 2011, 33(2): 22-26, 30. DOI:10.3969/j.issn.1004-7859.2011.02.006 ( 0)
|
| [6] |
冯祥芝, 许小剑. 随机线性调频斜率SAR抗欺骗干扰方法研究[J].
系统工程与电子技术, 2009, 31(1): 69-73. Feng Xiang-zhi and Xu Xiao-jian. Study of countermeasures to deceptive jamming using random linear modulation frequency ratio SAR[J]. Systems Engineering and Electronics, 2009, 31(1): 69-73. DOI:10.3321/j.issn:1001-506X.2009.01.018 ( 0)
|
| [7] |
Krieger G, Gebert N, and Moreira N. Multidimensional waveform encoding: A new digital beamforming technique for synthetic aperture radar remote sensing[J].
IEEE Transactions on Geoscience and Remote Sensing, 2008, 46(1): 31-46. DOI:10.1109/TGRS.2007.905974 ( 0)
|
| [8] |
谢文冲, 段克清, 王永良. 机载雷达空时自适应处理技术研究综述[J].
雷达学报, 2017, 6(6): 575-586. Xie Wenchong, Duan Keqing, and Wang Yongliang. Space time adaptive processing technique for airborne radar: An overview of its development and prospects[J]. Journal of Radars, 2017, 6(6): 575-586. DOI:10.12000/JR17073 ( 0)
|
| [9] |
王永良, 丁前军, 李荣锋. 自适应阵列处理[M]. 北京: 清华大学出版社, 2009: 66–72.
Wang Yong-liang, Ding Qian-jun, and Li Rong-feng. Adaptive Array Processing[M]. Beijing: Tsinghua University Press, 2009: 66–72. ( 0)
|
| [10] |
龚耀寰. 自适应滤波-时域自适应滤波和智能天线[M]. 第2版, 北京: 电子工业出版社, 2003: 288–297.
Gong Yao-huan. Adaptive Filtering-Time Domain Adaptive Filtering and Smart Antenna[M]. 2nd ed., Beijing: Public House of Electronic Industry, 2003: 288–297. ( 0)
|
| [11] |
Yegulalp A F. Fast backprojection algorithm for synthetic aperture radar[C]. Proceedings of 1999 IEEE Radar Conference, Radar into the Next Millennium, Waltham, Massachusetts, USA, 1999: 60–65. DOI: 10.1109/NRC.1999.767270.
( 0)
|
| [12] |
包敏, 周鹏, 史林. 双天线前视弹载SAR解模糊算法研究[J].
电子与信息学报, 2013, 35(12): 2857-2862. Bao Min, Zhou Peng, and Shi Lin. Study on deambiguity algorithm for double antenna forward looking missile borne SAR[J]. Journal of Electronics & Information Technology, 2013, 35(12): 2857-2862. DOI:10.3724/SP.J.1146.2013.00083 ( 0)
|
| [13] |
卢景月, 张磊, 王冠勇. 前视多通道合成孔径雷达解模糊成像方法[J].
电子与信息学报, 2018, 40(12): 2820-2825. Lu Jing-yue, Zhang Lei, and Wang Guan-yong. Ambiguity resolving and imaging algorithm for multi-channel forward-looking synthetic aperture radar[J]. Journal of Electronics & Information Technology, 2018, 40(12): 2820-2825. DOI:10.11999/JEIT180177 ( 0)
|



0)