逆合成孔径雷达(Inverse Synthetic Aperture Radar, ISAR)成像是对海探测中很重要的精细化描述和识别手段[1]。由于ISAR可以获取舰船等海上目标的高分辨图像,因而被广泛应用于军事和民用领域[2–4]。传统ISAR多采用脉冲体制,发射占空比较小的脉冲调频信号进行回波录取和成像处理。这种发射信号的持续时间一般较短,信号持续期间目标走动常常可以忽略不计,因此对应地发展出了“走-停”假设和距离-多普勒(Range-Doppler, R-D)成像算法的一系列处理方法,并得到广泛应用。
然而,脉冲体制ISAR具有其天生的劣势。首先,雷达直接产生的波形是连续的,需要调制成脉冲形式再进行发射,这增加了雷达发射机的造价和复杂度。其次,由于脉冲信号占空比一般较小,脉冲宽度较短,因此必须发射大功率信号才能保证回波信噪比,这就需要发射机安装更多级的功率放大器,会进一步增加系统造价并造成能量的浪费。出于以上问题考虑,具有低功耗、低造价、低重量等优势的调频连续波(Frequency Modulated Continuous Wave, FMCW)ISAR更受应用者青睐[5–8]。
线性FMCW在波形上相当于占空比为1的脉冲信号,因此在实际情况下其回波信号的处理方式上也继承了脉冲雷达的R-D成像算法。这样就引起了2个问题:一是由于FMCW的调频周期首尾相接,回波与本振信号混频进行Dechirp处理时,会有一部分本周期的回波信号与下一周期的参考信号直接相乘,导致1个散射点对应的中频信号出现高低2个频率,引起1维距离像上出现虚假散射点并且造成图像重影现象。这种现象会随着目标与雷达距离的增加而愈加显著,因而被称为远距离模糊(Long Distance Ambiguous, LDA)现象[9]。二是由于调频周期一般较长,某些运动速度较高的目标在1个调频周期内的运动不可忽略,“走-停”假设将不再成立,直接用R-D算法成像会导致1维距离像拓宽,图像将出现散焦。
为了使FMCW-ISAR能够得到更广泛应用,国内外研究人员针对上述2个问题的解决方法开展了大量研究。对于远距离目标成像时出现的LDA现象,文献[10]提出一种通过对回波信号从快时间域进行平移从而消除虚假散射点以修复图像模糊的方法。由于文献[10]时域平移方法无法在接收即解调模式的系统中应用,文献[9]通过一种互相关处理方法对Dechirp处理后的差频信号进行补偿,可以有效抑制LDA现象。相比远距离成像的模糊问题,FMCW-ISAR成像中调频周期较长引起的距离像拓宽和图像散焦问题更受研究者关注,因为此现象无论目标距离远近都会出现,且难以在系统硬件设计层面上处理。目前解决这一问题的方法包括逐次回波频偏校正法[11]、基于迭代Radon-Wigner变换的速度估计和补偿方法[12]以及一种基于图像对比度最大准则的速度和加速度搜索与补偿方法[13]等。这些方法通过估计或搜索目标在每次回波中的运动状态,对引起距离像拓宽的快时间、慢时间耦合项进行了补偿,能够一定程度上提升图像质量。
然而,虽然相关文献研究过FMCW-ISAR成像中存在的脉内走动问题,但大部分是以散射点仿真模型进行补偿方法验证的,有关实测数据的验证结果相对较少。由于仿真实验往往是基于文献中所提的补偿方法,较少涉及到实际成像时目标的结构、成像环境的复杂性以及成像效率的要求,因此用在实测数据成像中仍然会面临一定的挑战。
本文从实测数据入手,针对FMCW-ISAR对舰船目标成像时,由于调频周期较长、舰船速度较高而引起的距离像拓宽和图像分辨率下降的问题进行研究。通过对目标运动进行建模,我们分析了引起距离像拓宽的快时间调频项来源,并提出一种基于1维距离像熵最小的调频率搜索和补偿方法。相比于前面提到的3种方法,本文提出的处理办法能够有效解决复杂目标情况下的图像散焦问题,并且有效控制了计算量。最后通过对船只散射点模型的仿真数据和舰船目标FMCW-ISAR外场实测数据的处理,可以看到此方法能有效提升图像质量,解决成像模糊问题。
2 FMCW-ISAR回波建模与分析 2.1 回波模型雷达发射线性FMCW,其在1个调频周期内的信号形式为:
|
其中,
|
其中,
为降低采样率,ISAR系统采用Dechirp处理进行回波的距离向压缩。在FMCW-ISAR体制下,Dechirp处理的原理示意如图1所示。由于连续波调频周期首尾相接,因此点目标回波解调频后的差拍信号将存在高低2个频率(首尾端的调频频率能量较小,可忽略)。为避免之前提到的LDA问题,系统在宽带成像外另置有窄带测距功能,能够测出每段时间内目标到雷达的大致距离
|
图 1 FMCW-ISAR的Dechirp处理原理示意图 Fig.1 The schematic diagram of Dechirp process for the FMCW-ISAR |
参考信号形式为:
|
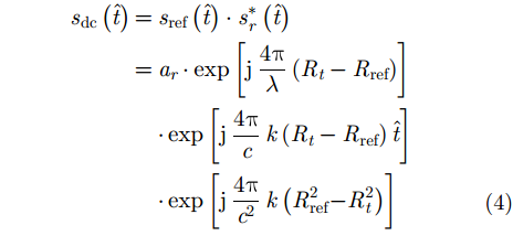
将式(2)中目标回波信号与式(3)中参考信号共轭相乘,即进行Dechirp处理,可得:
|
对式(4)中信号进行傅里叶变换即可得到1维距离像。
在脉冲ISAR的“走-停”假设中,脉冲持续时间内目标与雷达之间的距离
但正如前文所述,在FMCW-ISAR中,由于调频周期一般较长,每个“脉冲”持续时间内目标的运动往往不能忽略,“走-停”假设将不再成立。此时,
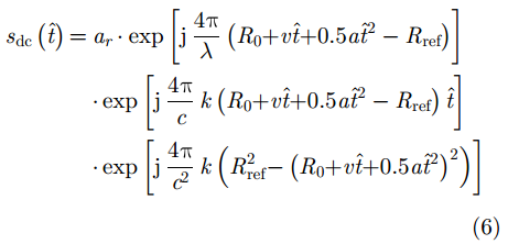
考虑到舰船目标体积相对较大,运动也相对平稳,因此在1个调频周期内我们将其运动作为匀加速运动模型分析,有
|
其中,
|
参考距离
|
可见,目标在脉内的匀加速运动模型将引起4次多项式相位。
为了衡量式(7)中每个相位项对1维距离像的影响,这里参照文献[14]方法进行判断。首先按对舰船目标成像的实际FMCW-ISAR系统对各参数给定大致范围:雷达工作在X波段;带宽B为400 MHz;雷达到目标的距离
设雷达发射FMCW的调频周期为
|
由于
3次项在1个调频周期内引起的最大频率变化为:
|
可见3次项对频谱影响依然可以忽略。
2次项(调频项)在1个调频周期内引起的最大频率变化为:
|
按给定的参数范围,2次相位中的前2项会对信号频谱产生影响。所以式(7)可近似为:
|
由此可见,受长周期和目标脉内运动的影响,解调频处理后点目标的回波将表现为线性调频信号的形式,调频率为:
|
对式(11)中的差拍信号进行傅里叶变换,其频谱,也就是1维距离像,将会有一定程度的展宽,引起距离分辨率的下降。同时,由于1维距离像变宽,目标上某一距离单元的散射点将同时出现在其他距离门内,不仅会影响包络对齐的准确度,还会造成方位向的模糊。所以,成像前需要对这个调频项进行补偿。
2.2 回波脉内走动的补偿补偿式(11)中快时间调频项的基本方法是估计调频率并构造补偿信号与原信号相乘。估计线性调频信号调频率的方法有很多,常见的包括2阶DPT法[15]、解线调频法、Radon-Wigner变换法[12]、FrFT法[16]等。在选择估计方法时,需要考虑待估计信号的特点和估计精度、计算量的要求。脉内走动引起的线性调频信号特点和补偿要求包括:
(1) 由于目标上有多个散射点,因此解线调频后的差拍信号相当于1个多分量的线性调频信号。可以假设船体上所有散射点在同一个调频周期内拥有相同的速度和加速度,则每个信号分量拥有相同的调频斜率。
(2) 鉴于2个调频周期间舰船目标的运动状态可能发生变化,因此需要对每次回波进行单独估计和补偿。
2阶DPT法采用自共轭相乘方法进行调频率提取,只适合估计单分量线性调频信号的参数,作用于多分量信号时会产生交叉项,影响估计精度;Radon-Wigner变换以及FrFT等时频分析方法计算量相对较大,若对每次回波都进行计算,会严重影响成像效率。而解线调频法只需要相乘和傅里叶变换等简单运算,计算量相对较小,且适用于多分量同调频率的信号。因此我们选择解线调频法作为估计方法。
解线调频法是一种搜索方法,通过合理确定调频率的搜索范围和搜索间隔,设定有效的评判标准,可以快速估计出LFM信号的调频率。此处我们采用1维距离像的熵值作为估计准确性的判断标准[17]。可以想象,当差拍信号的快时间调频项被完全补偿时,每个信号分量均成为单频信号,傅里叶变换后1维距离像上每个散射点对应的峰应该是最窄的,此时1维距离像的熵会达到最小值。
设调频率搜索向量
|
其中,FFT[·]表示快速傅里叶变换;En[·]表示求向量熵值,计算方法为:
|
其中,
|
按式(14)计算每次补偿后1维距离像的熵值,通过式(13)的准则寻找最匹配的调频率,完成调频率估计。
相比频谱峰值最大原则,将1维距离像熵值最小作为估计准确性的评判标准可以避免因为多个信号分量幅度叠加造成的峰值虚高而导致的错误估计,因此更适合于舰船这样的复杂目标成像情况。
利用解线调频法估计和补偿Dechirp处理后的差拍信号调频项的步骤总结为如下4步:
(1) 根据实际的舰船目标情况确定航速v以及加速度a的大致范围,并依据式(12)计算调频率的搜索范围;
(2) 计算1维距离像对应的频谱分辨单元大小
(3) 利用搜索范围内的每1个调频斜率值构造补偿信号,与1个差拍信号共轭相乘,通过FFT得到新的1维距离像。计算此1维距离像的熵值并记录。将熵值最小时对应的调频斜率作为此差拍信号调频率的估计值;
(4) 对所有Dechirp处理后的差拍信号进行步骤(3)的操作,并利用估计出的调频斜率构造补偿信号,与原始差拍信号相乘,完成补偿。
利用上述补偿流程,可以有效地将回波脉内的调频项消除。接下来,对差拍信号进行傅里叶变换即可得到补偿后的1维距离像。然后对每个1维距离像进行包络对齐和相位校正,再沿慢时间做傅里叶变换,就能得到高分辨、聚焦良好的ISAR图像。总结起来,FMCW-ISAR舰船成像的流程如图2所示。
|
图 2 R-D成像算法流程图 Fig.2 Flow chart of R-D imaging algorithm |
本节通过仿真FMCW-ISAR对船只点散射模型的成像过程,验证前面所提补偿方法的效果。仿真雷达参数如表1所示。船只的点散射模型如图3所示。
| 表 1 仿真雷达参数 Tab.1 Parameters of radar in simulation |
|
图 3 船只的散射点模型 Fig.3 The scatter model of ship target |
考虑到海浪起伏导致的船只摆动等影响,这里选择1个较大的目标速度50 m/s(并非船只航速)。通过R-D成像得到的结果为图4(a)。可以看到,船只的散射点连成一片,图像上出现许多虚假散射点,整体质量较低。通过2.2节提出的脉内补偿方法补偿差拍信号后,经过同样的成像处理操作得到的图像如图4(b)所示。值得一提的是,这两幅ISAR像的表现方式完全一致(幅度均是按分贝值归一化的)。显然经过补偿图4(b)的成像质量更高,虚假散射点较少,能够与船体的散射点模型对应起来。计算图4(a), 图4(b)的熵值,分别为7.1990和7.0523。补偿后图像熵值下降,图像聚焦性更高。说明本文提出的补偿方法能够有效地提升成像质量。
|
图 4 散射点模型仿真成像结果 Fig.4 ISAR images of scatter model |
本节利用舰船目标的外场实测回波数据验证第2节中提出的回波脉内补偿方法是否有效。雷达参数见2.1节(雷达工作在X波段;带宽B为400 MHz;雷达到目标的距离
|
图 5 货船目标光学照片 Fig.5 Optical photo of boat target |
|
图 6 补偿前后距离像对比 Fig.6 Comparison of range profiles before and after compensation |
实验中采用恒定相位差消除法[18]作为相位校正方法。完成运动补偿后,最终的成像结果如图7所示。可见,由于距离像拓宽、包络对齐精度有限,直接用R-D算法处理得到的ISAR像在距离-方位2维都有一定程度的展宽,造成了图像模糊,并且在图像边缘出现了虚假散射点。经过补偿后,图像模糊现象明显减轻,聚焦性提升。经过计算,图7(a)熵值为9.3151,图7(b)熵值为8.9368。熵值得以减小也可以说明补偿后图像质量得到了提高。
|
图 7 ISAR成像结果1 Fig.7 The results of the 1st ISAR imaging |
此外,我们另取了1段不同时刻的回波做同样的补偿和成像处理,得到的成像结果如图8所示。图8(a),图8(b)分别为补偿前、补偿后的ISAR像,它们的熵值分别为8.4226, 8.0613。再一次说明,前面提出的脉内补偿对提高成像质量是有效的。
|
图 8 ISAR成像结果2 Fig.8 The results of the 2nd ISAR imaging |
从图7、图8的成像结果看到,补偿快时间脉内走动后,方位向分辨率提升效果也比较明显。究其原因,虽然补偿脉内走动的直接作用是消除1维距离像的拓宽,改善距离分辨率,但1维距离像的拓宽影响的不仅是距离维。首先,由于同一个散射点可能出现在相邻多个距离门中,这会使方位压缩后图像上出现虚假目标点,引起距离和方位2维的模糊。其次,由于不同调频周期的脉内调频率是变化的,因此每个散射点对应的慢时间信号分量包含3种相位:平动相位、转动相位和脉内调频相位。其中转动相位是方位分辨的依据,其余2种相位会造成方位向的散焦。平动相位可以通过运动补偿去除。而脉内调频相位会同时随快时间和慢时间变化,因此无法通过运动补偿消除,这造成了未进行脉内补偿的图像方位向的模糊,见图7(a)和图8(a)。所以补偿脉内走动后,方位向的分辨率也得到了明显改善。
许多情况下相关文献考虑到舰船目标运动速度不是很高的情况,此时可忽略FMCW-ISAR对其成像时脉内走动的影响。而实际上,由于受海浪等自然因素影响,舰船目标起伏造成的速度、加速度会使脉内调频率增大,调频周期内目标走动往往是不可忽略的,这可以从图7、图8的成像结果中看出。所以文中分析和补偿脉内走动对舰船目标ISAR成像是具有一定意义的。
5 结论本文针对FMCW-ISAR对舰船目标成像时,由于调频周期过长而使得目标脉内走动不可忽略,最终引起1维距离像拓宽和图像分辨率下降的问题进行了研究。通过对目标运动建模,我们发现,由于调频周期较长,传统R-D成像时的“走-停”假设不再成立,脉内的目标距离走动将引起快时间的2次项,会导致1维距离像拓宽,影响最终的成像结果。为了补偿脉内调频项,我们介绍了1种最小熵原则下的解线调频估计和补偿方法,对每次回波分别进行补偿处理。对船只散射点模型的仿真数据和舰船目标外场实测回波数据进行补偿和成像的结果验证了所提出算法在FMCW-ISAR成像中能够有效地消除距离像拓宽现象,提高成像分辨率和成像质量。
| [1] |
陈小龙, 关键, 黄勇, 等. 雷达低可观测动目标精细化处理及应用[J].
科技导报, 2017, 35(20): 19-27. Chen Xiao-long, Guan Jian, Huang Yong, et al. Radar refined processing and its applications for low-observable moving target[J]. Science & Technology Review, 2017, 35(20): 19-27. ( 0)
|
| [2] |
保铮, 邢孟道, 王彤. 雷达成像技术[M]. 北京: 电子工业出版社, 2005.
Bao Zhen, Xing Meng-dao, and Wang Tong. Technology of Radar Imaging[M]. Beijing: Publishing House of Electronics Industry, 2005. ( 0)
|
| [3] |
Chen Z P, Zhang W C, and Lin Q Q. A novel phase compensation method for ISAR imaging in wideband radar[J].
Journal of Radars, 2013, 2(1): 23-29. DOI:10.3724/SP.J.1300.2013.13023 ( 0)
|
| [4] |
李宁, 汪玲, 张弓. 多基ISAR舰船侧视及俯视高分辨率成像方法[J].
雷达学报, 2012, 1(2): 163-170. Li Ning, Wang Ling, and Zhang Gong. High-resolution side-view and top-view imaging method of ship targets using multistatic ISAR[J]. Journal of Radars, 2012, 1(2): 163-170. DOI:10.3724/SP.J.1300.2012.20021 ( 0)
|
| [5] |
Zhang X K, Ren J W, Shao Z L, et al.. Vehicles detection experiments with Ka-band FMCW ISAR[C]. Proceedings of 2017 Progress in Electromagnetics Research Symposium, Singapore, 2017: 291–294.
( 0)
|
| [6] |
杨琪, 邓彬, 蒋彦雯, 等. 基于调频连续波的太赫兹频段转台成像方法研究[J].
空间电子技术, 2013(4): 25-28, 64. Yang Qi, Deng Bin, Jiang Yan-wen, et al. Study of terahertz rotating platform imaging algorithm based on FMCW[J]. Space Electronic Technology, 2013(4): 25-28, 64. DOI:10.3969/j.issn.1674-7135.2013.04.007 ( 0)
|
| [7] |
Su F L, Su Y, and Gao J J. Range Doppler imaging for LFMCW ISAR based on azimuth interpolation[C]. Proceedings of the 2012 IEEE 11th International Conference on Signal Processing, Beijing, China, 2012: 2048–2052.
( 0)
|
| [8] |
Su F L, Yang H X, and Gao J J. Imaging for inverse synthetic aperture radar with linear frequency modulation continuous wave signal[C]. Proceedings of the 2012 5th International Congress on Image and Signal Processing, Chongqing, China, 2012: 1817–1821.
( 0)
|
| [9] |
Chang W, Li Z H, Jin K, et al. Long-distance imaging with frequency modulation continuous wave and inverse synthetic aperture radar[J].
IET Radar, Sonar & Navigation, 2015, 9(6): 653-659. DOI:10.1049/iet-rsn.2014.0326 ( 0)
|
| [10] |
Chang W, Li Z, Jin K, et al.. Imaging of space targets in FMCW-ISAR[C]. Proceedings of IET International Radar Conference 2013, Xi’an, China, 2013: 1–4. DOI: 10.1049/CP.2013.0214.
( 0)
|
| [11] |
朱小鹏, 张群, 罗迎, 等. 基于调频连续波的双基逆合成孔径雷达研究[J].
电波科学学报, 2011, 26(4): 771-776. Zhu Xiao-peng, Zhang Qun, Luo Ying, et al. ISAR imaging analysis of bi-static FMCW radar[J]. Chinese Journal of Radio Science, 2011, 26(4): 771-776. ( 0)
|
| [12] |
常雯, 李增辉, 杨健. 基于迭代Radon-Wigner变换的FMCW-ISAR目标速度估计及速度补偿[J].
清华大学学报(自然科学版), 2014, 54(4): 464-468. Chang Wen, Li Zeng-hui, and Yang Jian. Velocity estimation and compensation in FMCW-ISAR based on the iterative Radon-Wigner transform[J]. Journal of Tsinghua University (Science and Technology), 2014, 54(4): 464-468. ( 0)
|
| [13] |
Giusti and Martorella M. Range Doppler and image autofocusing for FMCW inverse synthetic aperture radar[J].
IEEE Transactions on Aerospace and Electronic Systems, 2011, 47(4): 2807-2823. DOI:10.1109/TAES.2011.6034666 ( 0)
|
| [14] |
张昆帆, 马德宝, 王丰, 等. 一种新的一维距离像补偿方法[J].
信息工程大学学报, 2011, 12(4): 452-457. Zhang Kun-fan, Ma De-bao, Wang Feng, et al. New method of compensation for profile[J]. Journal of Information Engineering University, 2011, 12(4): 452-457. DOI:10.3969/j.issn.1671-0673.2011.04.015 ( 0)
|
| [15] |
刘磊. 逆合成孔径雷达二维及三维成像方法研究[D]. [博士论文], 西安电子科技大学, 2016.
Liu Lei. Study of two-dimensional and three-dimensional inverse synthetic aperture radar imaging methods[D]. [Ph.D. dissertation], Xidian University, 2016. ( 0)
|
| [16] |
唐鹏飞, 林钱强, 袁斌, 等. 基于积分二次相位函数和分数阶Fourier变换的多分量LFM信号参数估计[J].
信号处理, 2012, 28(7): 926-931. Tang Peng-fei, Lin Qian-qiang, Yuan Bin, et al. Parameter estimation of multi-component LFM signals using integrated quadratic phase function and fractional Fourier transform[J]. Signal Processing, 2012, 28(7): 926-931. DOI:10.3969/j.issn.1003-0530.2012.07.003 ( 0)
|
| [17] |
涂志宇. 高速运动目标逆合成孔径雷达运动补偿研究[D]. [硕士论文], 南京理工大学, 2004.
Tu Zhi-yu. Research on motion compensation of inverse synthetic aperture radar for high-speed-moving targets[D]. [Master dissertation], Nanjing University of Science & Technology, 2004. ( 0)
|
| [18] |
刘永坦. 雷达成像技术[M]. 哈尔滨: 哈尔滨工业大学出版社, 1999: 187–194.
Liu Yong-tan. Radar Imaging Technology[M]. Harbin: Harbin Institute of Technology Press, 1999: 187–194. ( 0)
|



0)