② (中国科学院大学 北京 100049)
② (University of Chinese Academy of Sciences, Beijing 100049, China)
2011年美国洛克希德-马丁公司报道了机载合成孔径激光雷达(Synthetic Aperture Ladar, SAL)演示样机的飞行试验情况,对距离1.6 km的地面目标(洛马公司徽标)实现了幅宽1 m,分辨率优于3.3 cm的成像结果[1],随后合成孔径激光雷达即成为国内外研究热点[2–4]。
2017年,中科院电子所和上光所分别报道了机载侧视SAL[5]和直视SAL[6]飞行成像试验情况,获得了地面高反射率合作目标的成像结果。电子所在飞行试验中采用了稳定平台,在成像处理中使用了子孔径自聚焦方法;上光所设计了同轴偏振正交的发射信号,并对回波作干涉处理对消振动。这些研究工作,推动了国内SAL的技术发展。与此同时,我国量子卫星天地相干激光通信的实现,继多普勒测风雷达之后,在信号调制解调、信噪比和相位锁定方面再次验证了相干探测体制的优势。
目前,基于相干探测体制的SAL研究工作已得到广泛关注,但研究工作主要集中在原理和部分关键技术验证方面,针对实际应用需求的远距离高分辨率大功率口径积SAL系统分析工作不多。本文对合成孔径激光雷达光学系统和作用距离进行了分析,给出了一个机载SAL系统参数和工作模式,以期为其实际应用奠定基础。
2 光学系统 2.1 特点与传统光学系统图像概念不同,SAL获取的图像在斜距-多普勒频率两维。需要宽的接收视场,但不要求具有高的空间角分辨率,具备采用一个或少量光电探测器实现激光雷达宽视场接收的使用条件,在原理上可用“非成像光学系统”[7],也可工作在“曲面波”状态[3]。据此特点,SAL应可通过“离焦”形成重叠视场干涉抗振,也应可通过“散焦”扩大瞬时观测幅宽。
与此同时,SAL“单色”且波长较长的特点,使其特别适合采用衍射光学系统,通过衍射器件(如二元光学器件)实现信号波前控制,减小焦距并有利于系统的轻量化。
SAL可使用收发分置光学系统,当使用光纤激光器时,一个小口径的发射光学系统经过扩束处理,即可形成较大的瞬时观测幅宽。为实现远距离成像探测,SAL必须使用较大的接收口径,若此时激光回波信号能收入光纤,则SAL相干探测所需的混频及后续信号处理在实现结构上就较为简单。由于光纤的数值孔径较小(尤其是SAL所需的单模光纤),从几何光学的角度考虑,通常认为大口径条件下宽视场激光信号收入光纤比较困难[8],但针对SAL特点开展相关光学设计工作具有重要意义。
SAL通过“离焦”形成重叠视场干涉抗振方法,文献[9]已进行了较为详细的介绍。为形成大的接收口径,SAL可采用压缩光路。在此基础上,本文首先介绍了基于馈源波束展宽将回波收入光纤并实现大口径宽视场接收设想,然后介绍了馈源和主镜两处使用二元光学器件形成SAL衍射光学系统的概念。
2.2 SAL观测几何和耦合效率SAL通常工作在侧视,其观测几何如图1所示。SAL发射的激光信号,以平面波形式到达观测场景,由于距离和方位分辨率较高,目标散射单元2维尺寸较小,如距离向尺寸
|
图 1 SAL侧视观测几何 Fig.1 Side-looking observation geometry of SAL |
|
图 2 SAL视场中目标信号方向,距离和时间关系 Fig.2 The relationship among object signal direction, range and time in the view field of SAL |
光纤准直器是一个典型的自由空间到光纤(波导)转换器件,其基本结构和参数如图3所示,其中MFD为光纤的芯径(模场直径),
|
|
图 3 光纤准直器几何结构 Fig.3 Geometry structure of fiber collimator |
式(1)表示的是光纤准直器透镜端面至光纤端面的耦合效率,实际上不直接涉及单模光纤的数值孔径问题。若考虑透镜端面至光纤内的耦合效率,还需要考虑光纤的数值孔径。假定光纤的数值孔径为
SAL波束无需准直,在非准直条件下,当发散角等于2°(
和光学系统中的压缩光路类似,微波系统中馈源阵列/相控阵馈源和大口径主反射体结合的接收系统结构,常用于实现射电望远镜高接收增益和宽视场,典型的如我国500 m大口径射电望远镜FAST的接收天线[10]。
2.3 基于馈源相控阵概念实现宽视场接收近年来激光相控阵技术发展很快,美国麻省理工学院(Massachusetts Institute of Technology, MIT)的研究工作[11,12]是典型代表,西安电子科技大学做了跟踪研究[13]。从目前的研究结果看,激光相控阵和微波相控阵不仅工作原理相同,其波束扫描实现方法也基本一致。在阵列空间上插入高阶相位(主要为2阶及3阶相位),即可将常用的波束扫描转化为波束展宽(微波雷达常用技术[14,15],且收发互易),可用于发射也可用于接收。从原理上讲,波束展宽的范围可以达到波束扫描的范围,故光纤相控阵可用于宽视场激光信号收入光纤。
MIT的激光相控阵天线,光栅可看做辐射单元,耦合臂的长短决定耦合强度。工作波长1.55 μm,光波导宽400 nm,辐射单元间距2 μm, 1/4波长辐射单元尺寸和波长量级的辐射单元间距是形成衍射的条件。MIT激光相控阵的工作极大地缩短了光学系统和微波天线的距离,实现了两者理论和方法的统一。在此基础上,光学中常用的光谱分光,可与电子学中的频扫微波天线概念对应;光学中常用的多角度分光(衍射分光[16]),可与电子学中的微波天线栅瓣概念对应,且微波相控阵天线成熟的理论和方法[17]可用于光学系统分析。
下面以一个机载SAL光学系统为例进行分析和说明,主镜口径300 mm,焦距600 mm,采用20:1压缩光路。
2.3.1 基于相控阵的宽视场信号收入光纤机载SAL光学系统光路如图4所示,在馈源处设置尺寸为15 mm光纤激光接收相控阵,利用其移相器在阵列空间上插入高阶相位(如2阶相位),即可将常用的波束扫描(移相器在阵列空间上插入1阶线性相位)转化为波束展宽,实现宽视场接收,工作原理同微波相控阵天线。假定使其波束展宽到40°,经压缩光路后可形成2°(约35 mrad)接收视场,此时机载SAL在距离5 km处可达到约350 m地距向瞬时幅宽,基本满足使用要求。
|
图 4 基于相控阵的宽视场信号收入光纤示意图 Fig.4 Diagram of introducing wide view field signal into fiber based on phased array |
机载SAL光学系统通常仅需要在地距向一个方向实施波束展宽,此时在馈源处使用尺寸为15 mm 1维相扫阵通过波束展宽获得地距向宽视场即可,其形式可选择为1维纳米光波导相扫阵,其辐射单元为1维光栅。
1维相扫阵在SAL使用时,由于仅是用于波束展宽且波束形状无需时变,移相量固定,波导阵中移相器可省去,通过在空间光输入方向插入高阶相位,即可实现1维波束展宽将宽视场信号收入光纤,技术实现较为简单,如图5所示。这里高阶相位形成器件可为高阶相位透镜、相位型空间光调制器(Spatial Light Modulator, SLM)[18]或二元光学器件[19]。
|
图 5 1维纳米光波导阵+空间高阶相位形成器件的宽视场信号收入光纤示意图 Fig.5 Diagram of introducing wide view field signal into fiber based on nanophotonic waveguide array and space higher-order phaser |
散焦光纤准直器常用于光纤激光发射扩束,在本文2.2节使用条件下,宽视场回波也应能收入光纤。传统光学通常用基于折射原理的梯度折射率对此进行分析,实际上也可借助辐射单元间距很小相控阵原理对此建模定量分析,因为相控阵天线可看做是连续口径天线在波长量级的离散化,而连续口径天线性能也可用基于衍射原理的相控阵进行解释,辐射单元间距小于半个波长后,间距的影响已不明显。在此基础上,在馈源处尺寸15 mm光纤准直器前插入高阶相位,即可形成宽视场接收系统,如图6所示。
|
图 6 光纤准直器+空间高阶相位形成器件的宽视场信号收入光纤示意图 Fig.6 Diagram of introducing wide view field signal into fiber based on fiber collimator and space higher-order phaser |
显然,当高阶相位形成器件选为透过率较高的二元光学器件,基于光纤准直器+二元光学器件的宽视场信号收入光纤方案最为简单。
2.3.4 馈源高阶相位形成和参数分析根据上述分析,假定主镜口径300 mm要实现2°接收视场,采用20:1压缩光路时,馈源处光纤相控阵/准直器的尺寸为15 mm,其视场应大于40°。假定高阶相位仅为2阶相位,借助相控阵模型可对所需的移相量和波束方向图进行仿真分析,仿真参数如下:
中心波长1.55 μm,辐射单元间距1.55 μm(1个波长),辐射单元数9600(阵元数),最大移相量约5000 rad(对应800个波长)。
图7–图9为仿真形成的基于理想2阶相位、以2
|
图 7 理想2阶相位和对应的波束方向图展宽情况 Fig.7 Desired second-order phase and the related broading beam pattern |
|
图 8 8值化2阶相位和对应的波束方向图展宽情况 Fig.8 Second-order phase with 8 quantization bits and the related broading beam pattern |
|
图 9 16值化2阶相位和对应的波束方向图展宽情况 Fig.9 Second-order phase with 16 quantization bits and the related broading beam pattern |
上节明确了在压缩光路中馈源使用二元光学器件,实现宽视场信号收入光纤的概念,值得注意的是,近年来膜基衍射成像光学系统得到了快速发展[20],SAL的工作视场较小、使用“非成像光学系统”、“单色”且波长较长的特点,使其特别适合使用衍射光学系统来形成大的接收口径,通过衍射器件(如菲涅尔透镜阵列和二元光学器件)引入较大的移相量实现波前控制,减小焦距并有利于系统的轻量化。在此基础上,机载SAL光学系统主镜也应能使用透过率较高的二元光学器件减少焦距,该器件相当于微波天线的移相器,等效在阵列空间上插入波程差对应的移相量的共轭值,将接收的平面波转为同相球面波在焦点处实现聚焦,由此形成的衍射光学系统能够使用相控阵模型在理论上给予充分解释。这意味着SAL光学系统除具有“非成像”特点外,和传统光学系统相比将有更大的变化,即可使用非成像衍射光学系统。
微波相控阵天线成熟的理论和方法可用于光学系统分析,尤其是衍射光学系统分析。根据相控阵原理,相控阵引入的移相量可以2
关于二元光学器件参数,举例说明如下:在去掉波长整数倍光程差部分的条件下,再以几分之一波长将二元光学器件厚度量化(台阶化),假定台阶数8时,能以2
当本文SAL主镜使用二元光学器件时,通过衍射器件引入较大的移相量实现回波信号的波前控制和聚焦,形成的衍射光学系统性能也能够使用相控阵模型给予分析。图10给出了SAL主镜和宽视场馈源都采用二元光学器件的衍射光学系统示意图。
|
图 10 SAL主镜和宽视场馈源都采用二元光学器件的衍射光学系统示意图 Fig.10 Diagram of diffractive optical system in which the binary optical element is used both on the feeder and primary mirror |
当中心波长1.55 μm,衍射主镜口径300 mm,焦距600 mm,辐射单元间距1.55 μm(1个波长),辐射单元数约193500, 300 mm衍射主镜需形成的最大移相量约75000 rad (12000个波长,对应的波程差18.6 mm),图11为衍射主镜需产生的移相量(主要为2阶相位)和对应的波束方向图。
|
图 11 衍射主镜需形成的移相量、折叠相位曲线和波束方向图 Fig.11 The phase, folded phase and beam pattern of the diffractive primary mirror |
图12为仿真形成的主镜相位以2
|
图 12 8值化主镜相位和波束方向图 Fig.12 The primary mirror phase with 8 quantization bits and the related beam pattern |
从上述仿真结果中可以看出,主镜相位以2
需要说明的是,本文上述仿真中辐射单元间距均选为一个波长,主要是为了初步分析栅瓣的分布范围和相位量化位数对波束方向图以及衍射效率的影响。在实际应用中,应根据所能实现的加工精度,深入分析二元光学器件参数对衍射效率和波束方向图的影响。
以上本文以透射式光学系统为例,介绍了SAL光学系统的特点,实际应用中,为控制体积重量,机载SAL应考虑使用反射式光学系统。
3 作用距离和信噪比 3.1 作用距离和单脉冲信噪比激光雷达作用距离分析文献[21]较多,本文SAL作用距离方程采用与微波雷达[17]类似形式,雷达方程确定了作用距离和单脉冲信噪比的关系,其单脉冲信噪比表达式可写为:
|
其中,
需要注意的是,与微波SAR不同,计算激光雷达作用距离时目标散射的空间立体角
(1) 热噪声与散弹噪声
对接收系统的噪声,微波雷达中主要考虑了热噪声的影响,在激光雷达中则需注意考虑散弹噪声的影响,两者相差约1~2个数量级。以温度300 K为例,热噪声大小为4.1400e–021 J;以波长1.55 μm的激光为例,散弹噪声大小为1.2825e–019 J,激光雷达噪声要比微波雷达噪声高2个数量级。
(2) 电子学噪声系数和损耗
SAL系统涉及光学和电子学两部分,在其雷达方程中加入电子学噪声系数和损耗,有助于准确分析其作用距离。
3.2 相干探测和信号积累SAL是相干探测体制激光雷达,其成像处理过程也是一个相干积累信噪比提升过程,但要说明的是,长时间相干积累在原理上有可能形成更高的方位向分辨率并导致目标散射截面积下降,由此并不能提高图像信噪比,此时需考虑相干积累和非相干积累结合的处理方案。
当脉冲重复频率PRF为50 kHz,假定5 cm方位分辨率对应合成孔径时间为1.5 ms,对应的相干积累脉冲数为75,成像处理提升信噪比约18.8 dB。加长观测时间(波束驻留时间)到6 ms,采用4视非相干积累可获得信噪比改善为3 dB,可使图像信噪比提升约21.8 dB;加长观测时间到30 ms,采用20视非相干积累可获得信噪比改善为6.5 dB,可使图像信噪比提升约25.3 dB。对SAL,加长观测时间,有助于提高图像信噪比。
假定保持图像信噪比15 dB不变,当观测时间为30 ms时,SAL可探测单脉冲信噪比约为–10 dB的目标信号。SAL使用相干探测体制,本振信号的存在使目标微弱小回波可实施光电转换为后续相干和非相干积累提供条件,其探测性能应远优于目前单光子探测器。
目前,通过长时相干积累探测单脉冲信噪比为–30 dB目标信号的微波SAR已很常见,SAL也应具备类似的性能。2014年,美国Montana州立大学进行了微弱回波SAL成像实验,证明SAL可在分辨单元回波能量接近单光子的情况下进行相干成像[23],其图像信噪比在0 dB水平,假定其相干成像用了10个脉冲,目标的单脉冲信噪比在–10 dB量级。该实验从一个方面表明了SAL具有良好的微弱信号探测能力。
相干积累决定SAL图像分辨率,多视非相干积累决定其图像信噪比,两者均需建立在良好的运动补偿基础上[9]。从实际应用的角度看,SAL必须具有足够的功率孔径积以保证图像信噪比SNR优于10 dB,而其良好的运动补偿和抗振措施对保证图像质量也具有重要作用。
4 机载SAL作用距离示例分析 4.1 技术体制SAL观测方式为侧视,在距离和方位向形成2维图像。采用电子学为主的实现方案,主要特征为其信号产生、接收和处理的流程与微波SAR接近。
根据SAL使用非成像光学系统特点,通过离焦形成重叠视场干涉抗振,通过散焦扩大瞬时观测幅宽。
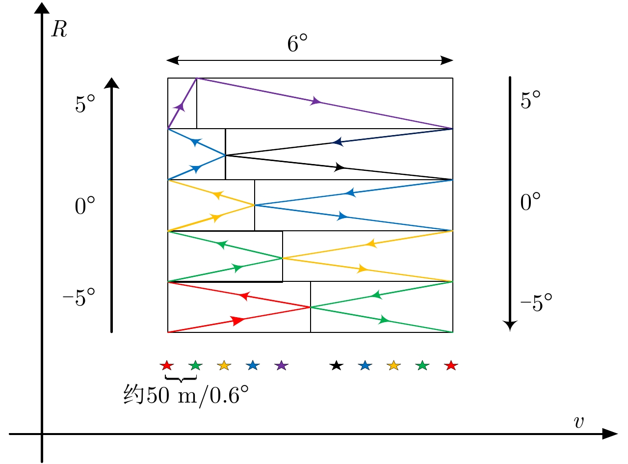
根据SAL短时子孔径高分辨率成像特点,通过正弦整机摆扫实现大范围观测。通过摆扫将距离向观测幅宽扩大2倍的扫描方式如图13所示。
|
图 13 机载SAL扫描方式(通过扫描将距离向观测幅宽扩大2倍示意图) Fig.13 Scanning model of airborne SAL (Double the swath through scanning) |
(1)斜距5 km(飞行高度2.5 km,速度50 m/s,入射角60 °)
● 条带成像模式
➢ 分辨率:5 cm
➢ 地距向扫描幅宽:1.5 km (地距向瞬时幅宽350 m)
➢ 图像信噪比:10.3 dB
● 视频和DBS成像模式
➢ 0.3 s获得分辨率5 cm尺寸300 m×350 m信噪比8.8 dB图像
➢ 0.15 s获得分辨率10 cm尺寸300 m×350 m信噪比8.8 dB图像
➢ 地距向瞬时幅宽350 m
(2) 斜距10 km(飞行高度3.3 km,速度50 m/s,入射角70°)
● 滑动聚束成像模式
➢ 分辨率:5 cm
➢ 图像尺寸:200 m×1 km(9 s,地距向瞬时幅宽1 km)
➢ 图像信噪比:10 dB
● 条带成像模式
➢ 5 cm分辨率图像信噪比:7.6 dB
➢ 10 cm分辨率图像信噪比:12 dB
➢ 地距向瞬时幅宽:1 km
4.3 系统参数和分析 4.3.1 扫描参数和覆盖范围本文机载SAL通过交轨向波束扫描
图14给出了作用距离5 km条带成像模式下,通过扫描将瞬时幅宽扩大5倍时的波束扫描顺序和对应的波束覆盖范围示意图,顺轨采用非匀速正弦扫描,扫描周期1~2 s,最大角速度为9.8°/s,交轨扫描周期10 s,扫描参数如表1所示。
|
图 14 机载SAL条带成像模式扫描顺序和对应的波束覆盖范围示意图 Fig.14 Scanning order of airborne SAL strip-map imaging model and related beam scope |
| 表 1 机载SAL条带成像模式扫描参数 Tab.1 Scanning parameters of airborne SAL with strip-map imaging model |
在视频和DBS成像模式下,为扩大顺轨观测范围和提高成像速率,可提高顺轨向扫描角速度和扫描范围,交轨向不再扫描。在滑动聚束成像模式下,可根据需要调整顺轨向的扫描角速度。
4.3.2 作用距离5 km系统参数表2给出了作用距离5 km机载SAL系统参数。
| 表 2 作用距离5 km机载SAL系统参数 Tab.2 System parameters of airborne SAL with 5 km detection range |
最大斜视角
在条带成像模式下,顺轨向波束宽度
在视频和DBS成像模式下,对斜距5 km的目标,要获得5 cm的方位分辨率,需要1.5 ms的波驻时间,全孔径时间30 ms,原理上有扩大方位观测范围20倍的机会,顺轨扫描角速度可为
表3给出了作用距离10 km机载SAL系统参数。
| 表 3 作用距离10 km机载SAL系统参数 Tab.3 System parameters of airborne SAL with 10 km detection range |
在条带模式下,雷达单脉冲信噪比约–20.6 dB,通过60 ms的相干积累可以获得2.5 mm方位分辨率,图像信噪比1.14 dB,再通过20视非相干积累将方位分辨率降低为5 cm,同时提升信噪比约6.5 dB,所以条带模式下,5 cm方位分辨率的图像信噪比约7.6 dB。若图像分辨率设置为0.1 m,图像信噪比优于12 dB。
在滑动聚束模式下,通过聚束模式将照射时间提高到180 ms以提高图像信噪比。在此情况下,可将多视数提升3倍,提高信噪比2.38 dB,所能获得的5 cm方位分辨率的图像信噪比约10 dB。聚束模式下图像方位向幅宽较窄仅3 m,拟用滑动聚束模式扩大图像方位幅宽到100 m量级,同时提高图像信噪比。在9 s时间内波束顺轨向扫描范围为
本文对合成孔径激光雷达光学系统和作用距离进行了分析,给出了一个机载SAL系统参数和工作模式。本文机载SAL项目接收口径选为300 mm,方位向波束宽度0.3 mrad,距离向波束宽度约2°,理论上可实现的合成孔径分辨率为2.5 mm,为将发射机平均功率控制在100 W量级,通过方位向多视提高信噪比将方位向分辨率确定在5 cm。300 mm口径对应的衍射极限角分辨率约5.17 μrad,传统光学系统在实际大气条件下一般能达到4倍衍射极限角分辨率,在5 km和10 km处能实现的空间分辨率为10.33 cm和20.66 cm。显然,和传统激光雷达相比,本文机载SAL的分辨率具有明显优势,持续开展相关研究工作具有重要意义。
致谢 感谢西安电子科技大学孙艳玲副教授,清华大学曹良才教授,航天科技集团508所林招荣研究员,中科院西安光机所屈恩世研究员和李东坚研究员对本文光学系统设计方面给予的支持和帮助!
| [1] |
Krause B W, Buck J, Ryan C, et al.. Synthetic aperture ladar flight demonstration[C]. Proceedings of 2011 Conference on Lasers and Electro-Optics, Baltimore, MD, USA, 2011.
( 0)
|
| [2] |
李道京, 张清娟, 刘波, 等. 机载合成孔径激光雷达关键技术和实现方案分析[J].
雷达学报, 2013, 2(2): 143-151. Li Dao-jing, Zhang Qing-juan, Liu Bo, et al. Key technology and implementation scheme analysis of air-borne synthetic aperture ladar[J]. Journal of Radars, 2013, 2(2): 143-151. DOI:10.3724/SP.J.1300.2013.13021 ( 0)
|
| [3] |
Liu L R. Coherent and incoherent synthetic-aperture imaging ladars and laboratory-space experimental demonstrations[J].
Applied Optics, 2013, 52(4): 579-599. DOI:10.1364/AO.52.000579 ( 0)
|
| [4] |
Zhao Z L, Huang J Y, Wu S D, et al. Experimental demonstration of tri-aperture differential synthetic aperture ladar[J].
Optics Communications, 2017, 389: 181-188. DOI:10.1016/j.optcom.2016.12.024 ( 0)
|
| [5] |
Li G Z, Wang N, Wang R, et al. Imaging method for airborne SAL data[J].
Electronics Letters, 2017, 53(5): 351-353. DOI:10.1049/el.2016.4205 ( 0)
|
| [6] |
卢智勇, 周煜, 孙建峰, 等. 机载直视合成孔径激光成像雷达外场及飞行实验[J].
中国激光, 2017, 44(1): 0110001 Lu Zhi-yong, Zhou Yu, Sun Jian-feng, et al. Airborne down-looking synthetic aperture imaging ladar field experiment and its flight testing[J]. Chinese Journal of Lasers, 2017, 44(1): 0110001 DOI:10.3788/CJL201744.0110001 ( 0)
|
| [7] |
李道京, 杜剑波, 马萌. 合成孔径激光雷达的研究现状与天基应用展望[C]. 钱学森实验室首届空间技术未来发展及应用学术会, 北京, 2014: 18–20.
( 0)
|
| [8] |
田芊, 廖延彪, 孙利群. 工程光学[M]. 北京: 清华大学出版社, 2006: 35–38.
Tian Qian, Liao Yan-biao, and Sun Li-qun. Engineering Optics[M]. Beijing: Tsinghua University Press, 2006: 35–38. ( 0)
|
| [9] |
杜剑波, 李道京, 马萌, 等. 基于干涉处理的机载合成孔径激光雷达振动估计和成像[J].
中国激光, 2016, 43(9): 0910003 Du Jian-bo, Li Dao-jing, Ma Meng, et al. Vibration estimation and imaging of airborne synthetic aperture ladar based on interferometry processing[J]. Chinese Journal of Lasers, 2016, 43(9): 0910003 DOI:10.3788/CJL201643.0910003 ( 0)
|
| [10] |
伍洋. 射电望远镜天线相控阵馈源技术研究[D]. [博士论文], 西安电子科技大学, 2013: 9–21.
Wu Yang. Research on the phased array feed technology for the radio telescope[D]. [Ph.D. dissertation], Xidian University, 2013: 9–21. ( 0)
|
| [11] |
Yaacobi A, Sun J, Moresco M, et al. Integrated phased array for wide-angle beam steering[J].
Optics Letters, 2014, 39(15): 4575-4578. DOI:10.1364/OL.39.004575 ( 0)
|
| [12] |
Sun J, Timurdogan E, Yaacobi A, et al. Large-scale nanophotonic phased array[J].
Nature, 2013, 493(7431): 195-199. DOI:10.1038/nature11727 ( 0)
|
| [13] |
聂光. 光波导相控阵扫描光束优化方法研究[D]. [硕士论文], 西安电子科技大学, 2015: 25–33.
Nie Guang. Study on beam optimization method for optical waveguide phased array[D]. [Master dissertation], Xidian University, 2015: 25–33. ( 0)
|
| [14] |
周高杯, 宋红军, 邓云凯. 基于波束空间的SAR阵列天线波束展宽方法[J].
浙江大学学报(工学版), 2011, 45(12): 2252-2258. Zhou Gao-bei, Song Hong-jun, and Deng Yun-kai. Investigation of SAR array antenna beam broadening based on beam pattern space[J]. Journal of Zhejiang University (Engineering Science), 2011, 45(12): 2252-2258. DOI:10.3785/j.issn.1008-973X.2011.12.028 ( 0)
|
| [15] |
任波, 赵良波, 朱富国. 高分三号卫星C频段多极化有源相控阵天线系统设计[J].
航天器工程, 2017, 26(6): 68-74. Ren Bo, Zhao Liang-bo, and Zhu Fu-guo. Design of C-band multi-polarized active phased array antenna system for GF-3 satellite[J]. Spacecraft Engineering, 2017, 26(6): 68-74. DOI:10.3969/j.issn.1673-8748.2017.06.011 ( 0)
|
| [16] |
王帅, 孙华燕, 郭惠超, 等. APD阵列单脉冲三维成像激光雷达的发展与现状[J].
激光与红外, 2017, 47(4): 389-398. Wang Shuai, Sun Hua-yan, Guo Hui-chao, et al. Development and status of single pulse 3D imaging lidar based on APD array[J]. Laser & Infrared, 2017, 47(4): 389-398. DOI:10.3969/j.issn.1001-5078.2017.04.001 ( 0)
|
| [17] |
Skolnik M I and Wang Jun. Radar Handbook[M]. Beijing: Electronic Industry Press, 2003: 9–10.
( 0)
|
| [18] |
Pioneers in Photonic Technology. GAEA-2 10 megapixel phase only spatial light modulator (Reflective)[EB/OL]. https://holoeye.com/spatial-light-modulators/gaea-4k-phase-only-spatial-light-modulator/?from=singlemessage&isappinstalled=0
( 0)
|
| [19] |
金国藩. 二元光学[M]. 北京: 国防工业出版社, 1998: 88–140.
Jin Guo-fan. Binary Optics[M]. Beijing: National Defense Industry Press, 1998: 88–140. ( 0)
|
| [20] |
焦建超, 苏云, 王保华, 等. 地球静止轨道膜基衍射光学成像系统的发展与应用[J].
国际太空, 2016(6): 49-55. Jiao Jian-chao, Su Yun, Wang Bao-hua, et al. Development and application of GEO membrane based diffraction optical imaging system[J]. Space International, 2016(6): 49-55. ( 0)
|
| [21] |
舒嵘, 徐之海. 激光雷达成像原理与运动误差补偿方法[M]. 北京: 科学出版社, 2014: 8–10.
Shu Rong and Xu Zhihai. Imaging Thesis and Moving Comprehension of Ladar[M]. Beijing: Science Press, 2014: 8–10. ( 0)
|
| [22] |
保铮, 邢孟道, 王彤. 雷达成像技术[M]. 北京: 电子工业出版社, 2005: 105–115.
Bao Zheng, Xing Meng-dao, and Wang Tong. Radar Imaging Technology[M]. Beijing: Electronic Industry Press, 2015: 105–115. ( 0)
|
| [23] |
Barber Z W and Dahl J R. Synthetic aperture ladar imaging demonstrations and information at very low return levels[J].
Applied Optics, 2014, 53(24): 5531-5537. DOI:10.1364/AO.53.005531 ( 0)
|



0)