双基地雷达具有良好的特性以应对传统单基地雷达所面临的“四大威胁”:电子干扰、超低空突防、反辐射导弹、隐身武器,因此在现代军事领域双基地雷达被美、俄、英等越来越多的国家应用在机载、车载、陆基等雷达系统中,用于完善现有雷达系统的侦测、监视和跟踪功能[1],在成像[2],海洋高度测量[3]方向也有大量的工作成果,而MIMO双基地雷达作为一种新型雷达,优化了传统双基地雷达的性能。相比传统双基地雷达,MIMO双基地雷达提高了雷达的目标参数估计精度并且由于MIMO体系的正交波形在空间形成较宽的波束,简化了双基地雷达空间同步问题,同时因为信号的相互独立性,MIMO双基地雷达信号有更低的截获概率。但是由于机载双基地雷达杂波具有距离依赖性,MIMO双基地雷达依然无法改善距离模糊杂波引起的多普勒频率展宽的问题,其与传统相控阵双基地雷达都会因距离模糊杂波而性能下降,因此距离模糊非均匀杂波[4,5]仍旧是MIMO双基地雷达面临的一个重要问题。
对于由于杂波依赖性而导致的性能下降,已存在的方法有多普勒频移补偿法(Doppler Warping, DW)[6,7]和角度多普勒补偿法(Angle Doppler Compensation, ADC)[8]。DW将非均匀杂波在主瓣方向上进行杂波的多普勒维平移,ADC则是在角度维和多普勒维2维进行平移,但因为平移后多重距离模糊杂波依旧重叠在一起,所以该方法改善效果有限,且当存在多重距离模糊时由于算法稳健性难以保证,所以导致杂波对齐后杂波抑制效果不明显。2006年,Antonik等人[9–11]提出了频率分集阵列(Frequency Diverse Array, FDA)的概念,FDA雷达通过添加阵元载频间的微小增量,空间频率相位增加了距离耦合的相位分量,使得角度距离维的波束指向随距离的变化而发生周期性的改变,从而在距离域增加了额外的自由度,在杂波抑制方面,FDA的特性使得多重距离模糊信号可以在距离的维度被加以区分。
本文将讨论一种新的MIMO双基地雷达体系FDA-MIMO双基地雷达,通过相邻阵元发射频率设置微小的频率增量,并且在发射时加入相互正交的波形,将距离耦合相位分量引入双基地雷达中,该方法使用距离耦合的相位实现不同距离的距离模糊杂波在角度维实现分离,从而起到距离模糊杂波抑制效果,用以解决MIMO双基地雷达中距离模糊杂波的多普勒展宽问题[12,13],仿真结果显示该方法能够改善双基地雷达因距离模糊杂波引起的性能下降现象,且性能优于DW技术。
2 FDA-MIMO双基地雷达信号模型在传统MIMO双基地雷达系统中,由于脉冲周期长度的限制,位于相应位置不同距离环的模糊杂波在回波信号中会重叠在一起,导致杂波展宽现象严重,雷达性能下降,这是原系统的不足之处。针对上述问题,本文将在传统MIMO的基础上进行改进。本节将给出FDA-MIMO双基地雷达的基本模型[14,15],分析其信号模型的变化。
图1为双基地雷达的几何结构示意图,在(x, y, z)坐标系中,发射阵列在(BL, 0, ht)处,接收阵列在(0, 0, hr)处,ht和hr分别为发射接收机载平台的高度,BL为基线长度,且阵列均为正侧视阵,目标ci与发射端距离设为Rt,目标距接收端距离设为Rr,目标和发射阵列夹角设为
|
|
图 1 FDA-MIMO双基地雷达几何结构示意图 Fig.1 Geometric schematic diagram of FDA-MIMO bistatic radar |
其中,m表示发射阵元的编号,f0是参考频率,
|
式中,Tp为发射脉冲宽度,H表示共轭转置运算符。
到达目标时窄带信号为
图2中xn表示第n个接收通道接收的回波信号,
|
|
图 2 接收信号处理框图 Fig.2 Block diagram of receiving signal processing |
其中,ρmn为照射目标对应的散射系数,Rr表示目标与接收端的距离,dr为接收阵列阵元间距,
|
所以式(4)可进一步表示为:
|
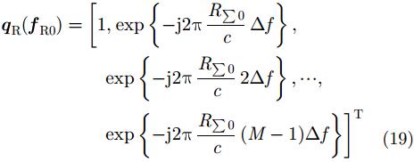
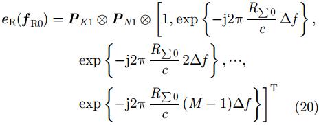
其中
|
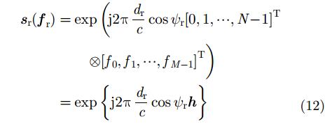
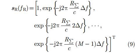
相干处理脉冲数为K,接收阵元发射阵元分别为M和N,接收信号的空时快拍表示为:
|
其中,T表示转置符号,
|
式(8)为多普勒频移对应的相位增量。
|
式(9)为发射导向矢量中距离导向矢量,其因频率步进量而产生的与距离耦合的相位分量。
|
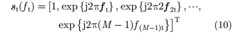
式(10)为发射导向矢量中发射角度空间角频率导向矢量。
|
式(11)为发射信号的导向矢量。式中
|
其中,
在普通MIMO双基地雷达中,距离模糊杂波因回波信号在时域重叠在一起,故在杂波谱中无法分离,造成杂波谱严重展宽,这是传统的双基地雷达面临的问题。本节将在上一节FDA-MIMO双基地雷达基本的信号模型的基础上,具体阐述其如何根据距离耦合的相位项来实现不同距离的距离模糊杂波在角度和多普勒域进行分离,从而减少距离模糊杂波重叠带来性能下降的影响,并且进一步分析了FDA-MIMO双基地雷达系统参数对分离效果的影响。
注意到,式(11)中发射信号的导向矢量有距离导向矢量成分和发射角度导向矢量成分,这里去掉PN1项,即:
|
其中,第1项为FDA的距离导向矢量,第2项为发射角度导向矢量。由式(13)可得:
|
观察式(14)可以看出信号快拍中距离相位和发射角度相位是相互非耦合的关系。我们将需要观测的距离范围称为无距离模糊区域,其次是距离模糊区域。模糊区域又可以分为二重模糊区域,三重模糊区域等等,将同一雷达观察角度中,无距离模糊区域和距离模糊区域相应的距离导向可以分别写为:
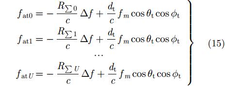
|
其中,fat0表示无距离模糊区域对应的导向矢量,fat1表示第1模糊区域即二重杂波模糊区域的导向矢量,R
|
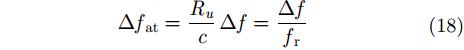
式中,Ru=c/fr,其中fr为脉冲重复频率,所以无模糊和第1模糊区域导向矢量的相位差可以表示为:
|
由式(17)可以看出尽管无距离模糊区域的杂波和模糊区域的杂波在时间域内混叠在一起,但在空域由于有距离耦合相位项的不同,存在有相位差,由此可以实现在角度域的分离,而这一点是FDA-MIMO双基地雷达区别于传统相控阵和MIMO相控阵双基地雷达的地方,利用该特性,可以实现距离模糊杂波的分离,提高改善因子,完善雷达性能。在发射阵列接收阵列同速,同一高度的情况下,假设接收角度已被扫描估计并在快拍中补偿消除,其杂波谱示意图表示如图3。其中红色,黄色,褐色分别表示无模糊距离,第1模糊距离和第2模糊距离的杂波谱。由图3可以看出FDA-MIMO双基地雷达中因距离导向矢量中不同距离模糊区域存在相位差,所以不同距离模糊区域杂波在杂波谱中相互分离,而MIMO双基地雷达并不能区分,因此距离模糊杂波相互混叠在一起。相位差表示为:
|
|
图 3 双基地雷达杂波谱 Fig.3 Bistatic radar clutter spectrum |
观察式(18)可以看出距离模糊杂波分离的程度和
|
|
式中,
|
2次距离杂波补偿后,我们所关心的给定距离的无模糊杂波区域q=0,因此被放置在杂波谱的中心,而其他多重距离模糊的杂波被偏置于杂波谱的两旁,从而不影响对所关心区域的观察。整个FDA-MIMO双基地雷达的系统处理流程框图如图4,其中距离模糊区域杂波分离、2次距离杂波补偿和杂波依赖性补偿是本方法的核心步骤。补偿的效果可以从下一节仿真结果中直接观察到。
|
图 4 雷达数据处理流程 Fig.4 Flow chart of radar data processing |
本节将对文中提到的方法进行仿真,首先分析距离模糊杂波和步进频率
|
图 5 双基地雷达杂波谱图 Fig.5 Bistatic radar clutter spectrum |
| 表 1 双基地雷达仿真参数 Tab.1 Simulation parameters of bistatic radar |
由图5可以看出FDA-MIMO双基地雷达中因距离导向矢量中不同距离模糊区域存在相位差,所以不同距离模糊区域杂波在杂波谱中相互分离,而MIMO双基地雷达并不能区分因此相互混叠在一起。相位差可表示为:
|
因此距离模糊杂波分离的程度和
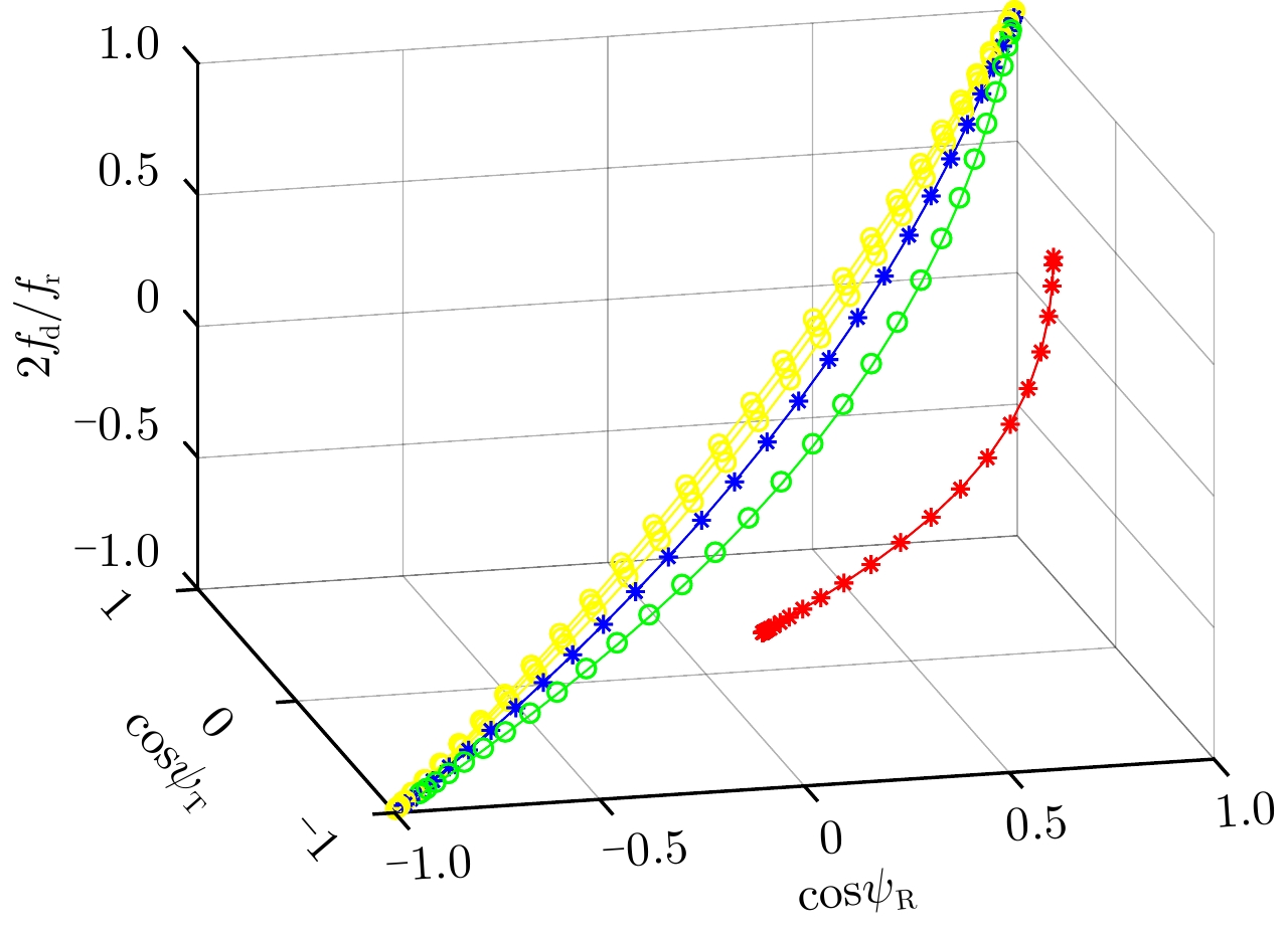
图5展示了传统MIMO双基地雷达的杂波谱和经过FDA杂波分离后杂波谱的对比情况。图6中绘制了目标区域距离64.964 km的距离杂波空时2维杂波谱和2次距离模糊区域188.174 km的杂波谱,图6(a)–图6(c)对应不同
|
图 6 |
下面将展示说明FDA-MIMO双基地雷达和传统MIMO双基地雷达的区别,并将其效果与DW杂波抑制方法作对比。DW杂波模糊抑制的基本思路是以雷达波束主瓣照射方向的待测单元样本为基准,将相邻的非均匀训练样本在主瓣照射方向上进行多普勒维的平移。其使在主瓣方向的多普勒杂波重叠在一点,从而抑制距离耦合效应。
图7(a)表示了FDA-MIMO双基地雷达由于距离相位的引入,实现了不同距离的距离模糊杂波的分离,图7(b)则是加入了构造的杂波距离相位补偿导向矢量
|
图 7 双基地雷达杂波谱 Fig.7 Bistatic radar clutter spectrum |
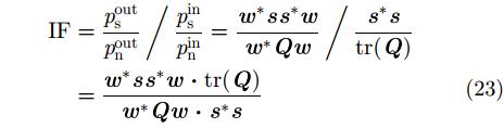
由图7(b)和图7(c)可以得到0°角频率处多普勒IF曲线图。IF谱线是用于评价雷达效能的一项指标,其定义为输出端和输入端信噪功率比的比值:
|
其中,s表示信号矢量,w表示接收端导向矢量,Q为噪声协方差矩阵。
图8将图7(b)和图7(c)的0°角频率处多普勒IF曲线图进行对比,图中红色为FDA-MIMO双基地雷达,蓝色为MIMO双基地雷达,由于MIMO双基地雷达杂波具有距离依赖性所以其在空间角度和多普勒频率域杂波谱展开严重,从图8看出传统MIMO双基地雷达有明显的两处凹陷,分别在归一化多普勒频率的0.17和–0.22处,–0.22处凹陷源于无模糊杂波区域的杂波凹陷,而0.17处源于第1模糊杂波区域的杂波凹陷,由于杂波的距离依赖性,两处杂波凹陷不在同一位置,相互叠加形成了蓝色IF谱线的性能衰减,而FDA-MIMO双基地雷达通过2次距离杂波补偿将不同模糊区域的杂波分离,在观察处仅有一处源于无模糊区域杂波的–0.22频率的凹陷,因此性能好于MIMO双基地雷达。
|
图 8 雷达杂波IF特性 Fig.8 IF characteristics of radar clutter |
对比完,FDA-MIMO和传统MIMO双基地雷达后,下面将FDA-MIMO双基地的杂波抑制效果和使用DW的MIMO双基地杂波抑制效果进行对比。仿真中频率增量取
|
图 9 双基地MIMO雷达杂波脊 Fig.9 Bistatic MIMO radar clutter ridge |
图10(a)和图10(b)展示了FDA-MIMO双基地雷达的杂波在DW补偿前后杂波谱的改变情况,DW补偿使得杂波谱收窄,尤其在wt=–0.8处到wt=0处能明显观察到杂波的变化。
|
图 10 FDA-MIMO双基地雷达DW补偿杂波谱 Fig.10 FDA-MIMO bistatic radar clutter spectrum of DW compensation method |
图11分别展示了杂波谱MIMO双基地雷达IF图线(紫色)、MIMO双基地雷达经过DW补偿后IF图线(绿色)、FDA-MIMO双基地雷达IF图线(蓝色)及FDA-MIMO双基地雷达经过DW补偿后IF图线(红色)。可以看出和FDA-MIMO双基地雷达比较,首先,由于距离模糊杂波的距离依赖性,传统MIMO双基地雷达杂波谱在多普勒和空间角度2维域中杂波展宽严重,其使得目标检测性能下降。通过图11的IF谱线可以看出,FDA-MIMO双基地雷达检测性能优于传统MIMO双基地雷达。此外,由于没有实现多重距离模糊区域杂波的分离,MIMO双基地IF谱线在–0.48和–0.31两处存在凹陷,而FDA-MIMO双基地雷达仅出现一处凹陷。对比雷达杂波DW补偿前后的IF谱线,和补偿前比较,无论是FDA-MIMO还是MIMO双基地雷达,其IF谱线均有明显的收窄,杂波谱IF性能得到改善。
|
图 11 FDA-MIMO双基地雷达IF谱线对比图 Fig.11 Comparison of FDA-MIMO bistatic radar IF lines |
本文针对MIMO双基地雷达存在的距离杂波模糊问题提出了新的解决方法,将距离耦合相位分量引入双基地雷达中,使用FDA技术实现了双基地MIMO雷达距离模糊杂波的抑制,明显地改善了MIMO双基地雷达因距离模糊而产生的非均匀杂波谱展宽严重的现象。并且文中将FDA-MIMO双基地雷达技术和已有的DW技术进行比较,使用IF指标,对比了两种技术在杂波抑制上性能的表现。FDA-MIMO技术改善效果优于DW的性能,最后将FDA-MIMO双基地雷达和DW结合,使用FDA-MIMO双基地雷达再进行DW处理,实现了一种对MIMO双基地雷达杂波更优的抑制方法。
| [1] |
Willis N J and Griffiths H D. Advances in Bistatic Radar[M]. Raleigh: Scitech Pubishing, 2007: 15–31.
( 0)
|
| [2] |
Behner F, Reuter S, Nies H, et al. Synchronization and processing in the HITCHHIKER bistatic SAR experiment[J].
IEEE Journal of Selected Topics in Applied Earth Observations and Remote Sensing, 2016, 9(3): 1028-1035. DOI:10.1109/JSTARS.2015.2471082 ( 0)
|
| [3] |
Hajj G A and Zuffada C. Theoretical description of a bistatic system for ocean altimetry using the GPS signal[J].
Radio Science, 2003, 38(5): 1089 DOI:10.1029/2002RS002787 ( 0)
|
| [4] |
Xie W C and Wang Y L. Range-dependence compensation method for bistatic STAP radar[C]. Proceedings of 2008 Congress on Image and Signal Processing, Sanya, Hainan, 2008: 503–506.
( 0)
|
| [5] |
Samuele Gelli, Alessio Bacci, Marco Martorella, et al.. Clutter suppression and high-resolution imaging of noncooperative ground targets for bistatic airborne radar[J]. IEEE Transactions on Aerospace and Electronic Systems, 2018, 54(2): 932–949.
( 0)
|
| [6] |
Melvin W L, Callahan M J, and Wicks M C. Adaptive clutter cancellation in bistatic radar[C]. Proceedings of the Conference Record of the 34th Asilomar Conference on Signals, Systems and Computers, Pacific Grove, CA, 2000: 1125–1130.
( 0)
|
| [7] |
Borsari G K. Mitigating effects on STAP processing caused by an inclined array[C]. Proceedings of 1998 IEEE Radar Conference, Dallas, TX, 1998: 135–140.
( 0)
|
| [8] |
Himed B, Zhang Y, and Hajjari A. STAP with angle-Doppler compensation for bistatic airborne radars[C]. Proceedings of 2002 IEEE Radar Conference, Long Beach, CA, 2002: 311–317.
( 0)
|
| [9] |
Antonik P, Wicks M C, Griffiths H D, et al.. Range-dependent beamforming using element level waveform diversity[C]. Proceedings of 2006 International Waveform Diversity & Design Conference, Lihue, HI, 2006: 1–6.
( 0)
|
| [10] |
Antonik P, Wicks M C, Griffiths H D, et al.. Multi-mission multi-mode waveform diversity[C]. Proceedings of 2006 IEEE Conference on Radar, Verona, NY, 2006: 580–582. DOI: 10.1109/RADAR.2006.1631858.
( 0)
|
| [11] |
Antonik P, Wicks M C, Griffiths H D, et al.. Frequency diverse array radars[C]. Proceedings of 2006 IEEE Conference on Radar, Verona, NY, 2006: 215–217. DOI: 10.1109/RADAR.2006.1631800.
( 0)
|
| [12] |
Wu J X, Wang T, Zhang L F, et al. Range-dependent clutter suppression for airborne sidelooking radar using MIMO technique[J].
IEEE Transactions on Aerospace and Electronic Systems, 2012, 48(4): 3647-3654. DOI:10.1109/TAES.2012.6324751 ( 0)
|
| [13] |
Xie W C, Wang Y L, Zhang B H, et al.. Clutter suppression for bistatic airborne radar with range ambiguity[C]. Proceedings of 2011 IEEE CIE International Conference on Radar, Chengdu, 2011, 2: 1893–1897. DOI: 10.1109/CIE-Radar.2011.6159944.
( 0)
|
| [14] |
Sammartino P F, Baker C J, and Griffiths H D. Frequency diverse MIMO techniques for radar[J].
IEEE Transactions on Aerospace and Electronic Systems, 2013, 49(1): 201-222. DOI:10.1109/TAES.2013.6404099 ( 0)
|
| [15] |
Li J, Liao G S, and Griffiths H. Bistatic MIMO radar space-time adaptive processing[C]. Proceedings of 2011 IEEE Radar Conference, Kansas City, MO, 2011: 498–502. DOI: 10.1109/RADAR.2011.5960587.
( 0)
|
| [16] |
Xu J W, Liao G S, Huang L, et al. Robust adaptive beamforming for fast-moving target detection with FDA-STAP radar[J].
IEEE Transactions on Signal Processing, 2017, 65(4): 973-984. DOI:10.1109/TSP.2016.2628340 ( 0)
|
| [17] |
Klemm R. Comparison between monostatic and bistatic antenna configurations for STAP[J].
IEEE Transactions on Aerospace and Electronic Systems, 2000, 36(2): 596-608. DOI:10.1109/7.845248 ( 0)
|
| [18] |
Xu J W, Zhu S Q, and Liao G S. Range ambiguous clutter suppression for airborne FDA-STAP radar[J].
IEEE Journal of Selected Topics in Signal Processing, 2015, 9(8): 1620-1631. DOI:10.1109/JSTSP.2015.2465353 ( 0)
|



0)