«上一篇
文章快速检索     高级检索
下一篇»
  雷达学报  2018, Vol. 7 Issue (1): 56-66  DOI: 10.12000/JR17110
0

引用本文  

刘小明, 俞俊生, 陈晓东, 等. 针对太赫兹波段介电参数测量的宽带准光系统[J]. 雷达学报, 2018, 7(1): 56-66. DOI: 10.12000/JR17110.
Liu Xiaoming, Yu Junsheng, Chen Xiaodong, et al. A broadband quasi-optical system for measuring the dielectric properties in the terahertz band[J]. Journal of Radars, 2018, 7(1): 56-66. DOI: 10.12000/JR17110.

基金项目

国家自然科学基金(61401031, 61505022)

通信作者

刘小明   xiaoming.liu@ahnu.edu.cn

作者简介

刘小明(1983–),男,副教授,博士生导师。2012年毕业于伦敦大学玛丽女王学院,同年进入北京邮电大学国际开放实验室任职,2017年以人才引进到安徽师范大学物理与电子信息学院,发表论文30多篇,出版专著2部。主要研究方向为准光学技术、毫米波与太赫兹测量技术、生物电磁学。E-mail: xiaoming.liu@ahnu.edu.cn;
俞俊生(1961–),男,教授,博士生导师,北京邮电大学国际开放实验室主任,国家863专家组成员。主要研究方向为准光学技术、毫米波与太赫兹技术、紧缩场天线测量技术。E-mail: jsyu@bupt.edu.cn;
陈晓东(1962–),男,教授,博士生导师,国家第五批“千人计划”特聘专家入选者,发表论文200多篇。主要研究方向为天线技术、毫米波与太赫兹技术、紧缩场天线测量技术。E-mail: xiaodong.chen@qmul.ac.uk

文章历史

收稿日期:2017-11-24
改回日期:2017-12-21
网络出版:2018-01-24
针对太赫兹波段介电参数测量的宽带准光系统
刘小明, 俞俊生, 陈晓东, 周俊, 甘露, 张持建    
(安徽师范大学物理与电子信息学院毫米波与太赫兹技术实验室    芜湖    241002)
(北京邮电大学电子工程学院    北京    100876)
(英国伦敦大学玛丽女王学院电子工程与计算机学院    伦敦    E1 4NS)
(电子科技大学物理电子学院    成都    610054)
摘要:该文针对太赫兹波段材料的介电参数提取的需求,利用准光学技术设计了一套宽带介电参数测量系统并讨论了自由空间的介电参数提取方法。通过平面扫描的方法验证了系统电磁传输特性。结果表明,准光系统的近场参数与设计结果相吻合。利用石英硼化玻璃和水样品进行了测试,并利用数值方法对介电参数进行提取。测试结果表明,利用准光方法测试所得到的介电参数与典型值相吻合,进一步验证了该方法的有效性。
关键词太赫兹    介电参数    宽带    准光系统    
A Broadband Quasi-optical System for Measuring the Dielectric Properties in the Terahertz Band
Liu Xiaoming, Yu Junsheng, Chen Xiaodong, Zhou Jun, Gan Lu, Zhang Chijian    
(Laboratory of Millimetre Wave and Terahertz Technologies, College of Physics and Electronic Information, Anhui Normal University, Wuhu 241002, China)
(School of Electronic Engineering, Beijing University of Posts and Telecommunications, Beijing 100876, China)
(School of Electronic Engineering and Computer Science, Queen Mary University of London, London E1 4NS, UK)
(School of Physical Electronics, University of Electronic Science and Technology of China, Chengdu 610054, China)
Foundation Item: The National Natural Science Foundation of China (61401031, 61505022)
Abstract: To fulfill the requirements of the dielectric property measurement in the terahertz band, herein, a broadband quasi-optical system was designed and verified utilizing a planar scanning system. Additionally, the method of retrieving the dielectric parameters was discussed. Our experimental findings indicated that the measurement results were in good agreement with the theoretical results. Boron silicon, and deionized water were used for verifying the measurement, and the permittivity was obtained using a numerical method. We found that the dielectric properties were in good agreement with the typical values. This indicated that the proposed quasi-optical method effectively characterized the permittivity.
Key words: Terahertz    Dielectric property    Broadband    Quasi-optical system    
1 引言

介电参数是媒质的重要基本物理参量,也是研究电磁波与物质相互作用的主要物理参量。它是从宏观上描述媒质对电磁场与电磁波的响应或影响[1]。通过介电参数的提取,可以反演出大量有用的信息。例如,由美国国家航空航天局发射的土星探测器“卡西尼”飞船所搭载的雷达设备描绘了“泰坦”北极附近的一些非常暗的特征。这些特性的描述通常与介电参数联系起来[2]。其次,可以针对一些特殊材料的介电参数进行设计,使得该材料对电磁吸收的能力加强,从而达到电磁屏蔽或电磁吸收的效果[3]。在遥感监测中,通常利用土壤介电参数与土壤水分的关系,以获取大范围地表土壤水分时空分布信息[4]。另外,介电参数是微波遥感探测的基础,是土壤厚度、成分等信息提取不可或缺的参数[5]。我国在月壤探测中就有大量的工作是介电参数的提取。此外,材料的介电特性对目标的散射特性有非常可观的影响[6,7]。因此准确的测量介电参数,不仅能提取材料的基本物理量,同时能够在各种应用中更准确地提取目标信息、提高探测精度。

目前,介电参数的测量方法主要有平行板电容器法、传输线法、开端波导法、谐振腔法以及自由空间测量方法[1]。平行板电容器法主要适用于100 MHz以下的介电参数的测量[8]。由于分布式参数的影响,在更高频范围,这种方法所引入的误差会逐渐增大。传输线法是利用同轴或波导传输线作为载体,将样品加工成环状或与波导尺寸相同的矩形状,并将样品放置于传输线内部进行测量的一种方法[9]。这种方法在微波段有很好的效果,但在毫米波以及更高频段,其测量精度已经对器件、样品的加工精度都提出了苛刻要求。开端波导法适合于液体以及半固体样品的测量[10]。谐振腔法是比较准确的一种方法,但该方法严重的不足在于工作带宽十分有限,基本是分立的点频[11]

自由空间测量方法是基于准光学的低损耗测量方法,可实现对介电参数的宽带、多极化、大动态范围的测量。由于太赫兹波段处于0.1~10 THz[12,13],对应波长在3~0.03 mm范围内,传输线法及谐振腔法要求器件尺寸和样品尺寸与半波长相比拟,从而使得测试难度增加,也降低了测试精度。而自由空间采用反射面等聚焦器件引导电磁波在自由空间中传播并有效控制其衍射发散特性,从而实现了宽带、低损耗传输[14]。另外,由于准光系统中的特征尺寸在1~10个波长之间,样品的制作难度也大大降低[15]。毫米波与太赫兹频段是介电参数的变化或者过渡波段,主要影响因素有去极化效应及晶格振动[1]。宽带测量可以满足毫米波与太赫兹频段的介电参数测量,即可以在大宽带范围内获得更多的信息,从而可以进一步探索物质的介电规律。

本文基于准光学技术,设计了一套宽带准光系统。利用该系统可以对毫米波太赫兹波频段材料的介电参数进行测量。准光系统中采用超高斯波纹喇叭作为馈源,利用高精度机床加工反射镜面,同时采用了透射及反射两种模式一体化设计。近场测试表面,测试结果与设计结果吻合较好。同时,讨论了ABCD矩阵在自由空间法测量介电参数的应用,并利用数值反演法得到了石英硼化玻璃(silica-boron)和去离子水样品的介电参数,测试结果与典型值相吻合。

2 高斯波束基本理论 2.1 高斯波束

宽带准光系统的设计是以高斯波束为理论基础的[16]。高斯波束传播是基于近轴近似理论来求解亥姆霍兹波动方程的。在近轴近似的条件下,高斯基模在柱坐标下的表达式可以表示为:

其中,高斯波束波前曲率半径为:

高斯波束半径为

另外, ${w_0}$ 为高斯波束束腰大小,表示的是波束半径的最小值。而相位偏移量可以表示为:

高斯波束在传播过程中,其最大场值在减小,但其横截面的幅度分布仍然是高斯分布,因而称为高斯波束。因此,只要已知工作频率和束腰大小,就能完整地描述高斯波束。

此外,高斯波束还可以由复波束参数 $q$ 表示,亦即

式中

从复波式参数表达式(6)可以看出,高斯波束在类球面波的性质,这与几何光学中的射线表达式中描述光线的曲率半径十分相似。利用该性质可以实现高斯波束的转换。

2.2 高斯波束转换

由前面的论述可以看出,高斯波束在传播过程中仍有一定的扩散。如果扩散过于严重,就容易造成能量的分散,不利于后端的信号处理。因此,在传输过程中应当对高斯波束进行适当的操作,使之重新聚焦为高斯束。

图 1 利用准光器件可以将高斯波束转换成另外一个束腰半径的高斯波束 Fig.1 Transformation of Gaussian beam to another of different beam waist

假设入射波束的束腰为 ${w_{0{\rm{in}}}}$ ,束腰到聚焦镜面的距离为 ${d_{{\rm{in}}}}$ ,聚焦器件的等效焦距为 $f$ ,出射波束的束腰以及束腰距离分别为 ${w_{0{\rm{out}}}}$ ${d_{{\rm{out}}}}$ ,如图1所示。根据高斯波束转换理论,该系统的ABCD传输矩阵为:

并且有以下关系:

式中, $z = {{π}} w_0^2/\lambda $ 。由此可见,当 ${d_{{\rm{in}}}} = f$ 时, ${d_{{\rm{out}}}} = f$ ,意味着输出波束的束腰位置不变。特别地,当系统符合图2关系时,称为高斯望远镜,并且有 ${d_{{\rm{out}}}} = {f_2}$ ,以及 ${w_0}_{{\rm{out}}}{\rm{ = }}{w_{{\rm{0in}}}}$ 。因此,可以利用该性质设计宽带系统。

图 2 高斯望远镜示意图。两个聚焦镜面的距离为两个聚焦镜面焦距之和 Fig.2 The diagram of a Gaussian telescope. The distance between the two focusing mirrors equals the sum of their focal lengths
3 宽带准光系统设计

系统设计包括光路馈源设计、反射面及光路设计。馈源是产生高斯波束的关键器件,因此要求其高斯度要好。反射面是高斯波束传播的主要控制器件,因此要求其波束转换效果要好。光路设计是保证宽带特性的主要流程,要兼顾器件的特性以及整体的性能要求。

3.1 馈源设计

馈源采用的是多模喇叭的形式,理想情况下采用波纹喇叭可以保证系统的高斯度达到99.8%以上[17]。波纹喇叭具有线性极化纯度好、交叉极化好、带宽大(可达50%)的优点,特别适合用于介电参数测量。另外,通过严格控制相位,可以将馈源的束腰位置调整到馈源的出口位置。该特性十分有利于整个系统以及各个器件的定位。

图 3 波纹喇叭结构示意图及高斯波束束腰位置 Fig.3 Structure of a corrugated horn and the location of the beam waist

波纹喇叭的结构如图3所示。一般情况下,主要有3个参数来控制电磁波的传播,槽宽t,槽周期p,以及槽深d。在大部分情况下,槽宽和槽周期是不变的,而槽深可能会随着各个部分的变化而变化。输入口一般是TE11主模,波纹喇叭的输出口面在理想情况下是HE11混合模[18]。通过喇叭的波纹,可以激发出TM11模,合理控制TM11模与TE11模的比例,可以实现HE11=TE11+ $\beta $ TM11,其中 $\beta $ 为比例因子。波纹喇叭的模式转换及模式场分布图如图4所示。HE11模式极化纯度好的重要原因是其电场方向基本是一个方向,交叉极化分量主要在边缘较少的区域。其次,由于在边缘处场强基本为零,因此旁瓣电平可以达到–30 dB以下。为了进一步保证工作带宽内相位中心的稳定性,通常把波纹喇叭做成两段,一段是渐变段,主要作用是激发TM11模,另外一段是平行段,主要作用是稳定相位。这种结构的缺点是尺寸变长,加工也更复杂。但对于高精度的测量,其优点是提供高斯度较高以及极化纯度较好的波束。

波纹喇叭的结构可以参考文献[19],参数的优化可以参考文献[20]。本文中的馈源喇叭采用TICAR公司的CHAMP软件进行设计仿真。CHAMP软件基于模式分析方法,可以快速仿真分析复杂的波纹结构,仿真结果如图5所示。从图5中可以看出,90 GHz时,第一旁瓣电平低于–25 dB,交叉极化低于–35 dB,高斯度大于99.0%;而在325 GHz时,第一旁瓣电平低于–37 dB,交叉极化低于–50 dB,高斯度大于99.8%。喇叭馈源的实物如图6所示,其加工工艺采用电铸技术。首先利用精密机床加工铝内芯,然后利用电化学将铜镀在铝内芯上,最后利用NaOH强碱将铝内芯洗去,并通过内窥技术去毛刺。

图 4 波纹喇叭的模式转换及模式场分布图 Fig.4 Mode transformation and filed distribution of a corrugated horn
图 5 90 GHz以及325 GHz喇叭天线仿真方向图 Fig.5 Radiation patterns of the 90 GHz and 325 GHz
图 6 喇叭实物图 Fig.6 Photograph of the fabricated corrugated horns
3.2 反射面及光路设计

反射面采用最常用的椭球反射面形式,如图7(a)所示。焦点 ${F_1}$ 到镜面中心P点的距离为 ${R_1}$ ,焦点 ${F_2}$ 到镜面中心P点的距离为 ${R_2}$ 。利用一半径为 $2w$ 、以 ${F_1}P$ 为轴的圆柱体去截取该椭球体所得的部分即为镜面。其中, $w$ 为高斯波束在P点处的波束半径。镜面大小的选取的原则是保证99.8%以上的能量被反射镜面截获。

在本设计中,由于馈源置于焦点处,因此 $z = f$ ,并且镜面处波束半径为:

椭球镜的等效焦距可以表示为:

此处, ${R_1}$ ${R_2}$ 分别表示焦点 ${F_1}$ ${F_2}$ 到镜面中心P的距离。为了保证波束的对称性,一般情况下取 ${R_1}{\rm{ = }}{R_2}$ 为佳。

反射镜采用镗削技术加工,其加工精度在1 μm以内。根据表面精度等于百分之一波长的原则,该系统的最高频率可以达到3 THz。低频主要受镜面尺寸限制(本例为120 mm高,140 mm宽),利用式(9)进行估计,低频可以到40 GHz左右。

对于准光系统而言,一定要考虑结构本身的补偿性。最终的光路图如图7(b)所示。图中,Tx表示发射喇叭天线,Rx为接收喇叭,M1, M2, M3为3个完全相同的椭球反射镜。一般情况下,M2和M1可以是相同的,也可以是不同的,但是为了保证结构的补偿性达到最佳状态,把M1和M2设计成完全一样。另外,Tx和Rx最好放在系统的相对的两侧,形成Z字型系统。Z字型系统是补偿性比较好的结构,主要原因是波束的相位在各个部位都相差不大。也可以把Tx和Rx放在系统的同一边,但这种结构容易造成波束的变形。Tx到M1的距离为d,通常情况下,取f=d。此时,该系统是一套高度对称的系统。这种高度对称系统的优点在于出射波束的大小与入射波束的大小完全相同。

系统有两个通道,传输通道和反射通道。传输通道可以利用不同入射角度测试介电特性,但主要是采用正入射时进行测量。反射通道只能采用斜入射进行测量。另外,由于样品放置在M1与M2之间,亦即束腰的位置,因此,测量的相位误差最小。这是因为,在束腰处,相位分布相当于平面波相位分布。此外,只要保证入射的束腰满足 ${d_{{\rm{in}}}} = f$ ,就能保证M1与M2之间的束腰位置不变,从而保证整个系统的宽带特性。

图 7 准光系统的设计示意图 Fig.7 Illustration of the design of a quasi-optical system
图 8 准光系统工程模型图及实物图 Fig.8 The engineering model and fabricated photography of the quasi-optical system
4 理论计算与测试

该系统采用了f=250 mm的反射面,并利用了W波段(75~110 GHz)和220~325 GHz两个频段进行测试。其中,W波段的馈源参数为束腰大小为 ${w_0} = 6.3 \ {\rm{mm}}$ ,而220~325 GHz频段的束腰半径为 ${w_0} = 1.74 \ {\rm{mm}}$ 。利用 ${\theta _0} = \lambda /\left( {{{π}} {w_0}} \right)$ 可以得到,远场扩散角分别为9.6°和6.4°。

测试采用近场扫描技术(NSI近场扫描系统),扫描平面在出射波束的束腰位置,工程模型图及实物图如图8所示。远场由近远场转换方法得到。近场测试结果(90 GHz和325 GHz)如图9所示。图9(a)图9(b)为90 GHz的幅度和相位分布。从幅度分布图可以看出,–3 dB, –8.686 dB(对应于束腰半径),–20 dB所对应的波束的圆对称性都比较好。特别是–8.686 dB波束大小(波束半径)为6~7 mm之间,与设计参数基本一致。另外,90 GHz的相位分布的圆对称性十分明显。此外,325 GHz的–8.686 dB波束大小(波束半径)为1.6~1.9 mm之间,也与设计参数基本一致。因此,从近场数据看。高、低频的测量结果都与设计结果保持一致。

此外,图9中的幅度以及相位的中心点位置出现2 mm左右的偏离。主要原因是,在近场测试过程中需要对准,该对准过程是以幅度为依据的。由于影响相位的因素过多,例如对面对准、线缆附件误差等,因此不宜作为校准参考量。其次,相位还会由于偏置式反射面引入高次模误差。参考文献[16]对此有详细的论述。在准光系统中,主要考察幅度和相位的对称性,其次,幅度与相位中心的位置偏差远小于样品尺寸,因此可以忽略该影响。

图 9 90 GHz和325 GHz近场测试结果 Fig.9 The near-field measurement of 90 GHz and 325 GHz channels
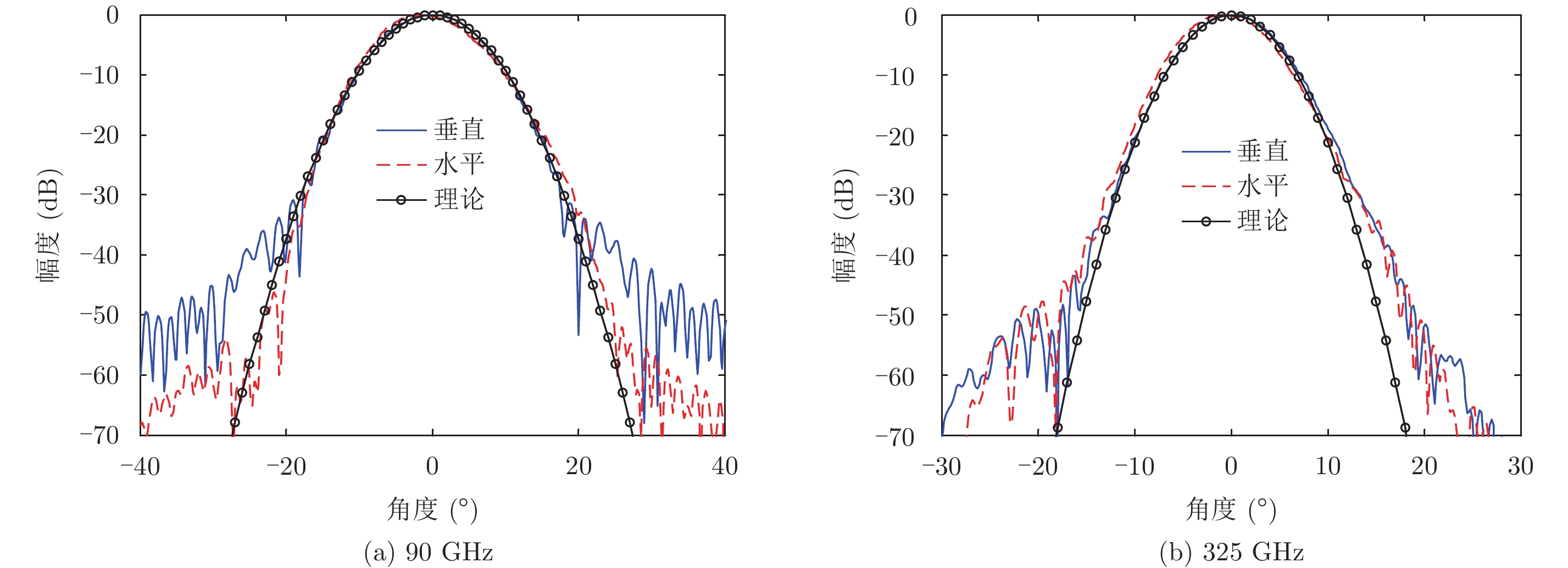
图 10 90 GHz和325 GHz远场测试结果 Fig.10 The far-field measurement of 90 GHz and 325 GHz channels

观察远场结果,如图10所示,垂直与水平截面的方向图基本保持一致,在–30 dB以上部分的偏差基本在–2 dB之内。同时测试结果与理论计算基本保持一致,而在–30 dB以下因噪声影响偏差变大。考虑到–30 dB以下部分对测试影响小,因此可以认为测量结果与理论结果吻合性较好。

从近远场的结果可以看出,在高频和低频部分,测量结果与理论结果基本保持一致,证明了该系统具有宽带特性。这种特性有利于在毫米波以及太赫兹频段对介电参数进行宽带测量。

5 基于自由空间的测量方法 5.1 理论模型

利用准光系统测量介电参数实际上是一种自由空间测量方法,其不同之处在于,样品通常置于束腰位置。束腰处的波束半径最小,相位相对均匀,使得衍射效应最小。为提取介电参数,需要建立散射参数与介电参数的理论模型。下面以单层样品为例推导介电参数的反演公式,如图11所示。

图 11 单层介电参数提取理论模型 Fig.11 Theoretical model for dielectric retrieve of single layer sample

将一块介质板(介质2)插入到另一无限大介质(介质1)中后,产生两个分界面,这里标为分界面1和分界面2,介质板的厚度为d,如图11所示。考虑到无源区域的切向电场和磁场的边界条件,分界面左右两端的切向电场和磁场分量相等。因此,可把分界面1和分界面2的切向电场之间的关系表示为[21]

分界面1左侧的电场由入射场和反射场组成,则式(11)可表示为:

考虑到 ${{{{E}}}_{\rm{r}}} = r{{{{E}}}_{\rm{i}}}$ , ${{{{E}}}_{\rm{t}}} = t{{{{E}}}_{\rm{i}}}$ , ${{{E}}} = Z{{{H}}}$ 以及入射和传输波的波阻抗相同,而反射波的波阻抗则与入射波的波阻抗相差一个负号。由此,式(12)可以写为:

式中,T为ABCD矩阵,亦即

将式(14)代入到式(13)中,可以得到该结构的传输和反射系数为:

另外,界面1右侧的电场可表示为正向传输波和反射传输波两部分:

而界面2左侧的电场也可以采用相似的表达式表示:

考虑到式(11),将式(16)和式(17)联合可以写为:

由此可得

此时Z为介质的波阻抗。将式(19)代入式(15)中,可得

此处

ABCD矩阵有一个显著的特点就是如果有多层介质插入到一介质中,其最终的传输矩阵可以用级联的方式表示出来:

而传输系数和反射系数仍然可以用式(15)表示。这一特点可以运用到多层介质的分析,特别是适用于液体介质的测量,由于液体介质通常要用试样架,因此容易产生多层结构。此时采用ABCD矩阵方法分析就特别有效。利用ABCD矩阵的元素来表示反射系数与传输系数为系统测量介电参数提供了依据。

5.2 反演方法

一般情况下先测量多层结构的反射系数与传输系数,然后利用数学公式或数值方法反演出样品的介电参数。数值迭代法虽然比解析公式法过程要复杂,计算量要大一些,但随着计算机的飞速发展,利用这种方法去反演介电参数成为一种越来越实用的方法。它的基本思想是定义一个误差函数,并通过初始化介电参数的值来设置迭代起始点,使得介电参数的值能使得误差函数的绝对值到达一个设定的小量时,迭代结束,而这个介电参数的值也就相应地确定。

在这里,用 ${S_{ij}}\left( {i, j = 1, 2} \right)$ 表示测量所得的传输和反射系数,而相应结构的理论计算公式则可由前面的方法得到[9]。比如,对于单层介质的情形,可以定义下述式子:

则误差函数可定义为:

一般情况下,误差函数可以分为实部和虚部,亦即

由此其Jacobian行列式可表示为:

建立了误差函数后,便可进行数值迭代。式(26)至式(28)也可扩展到磁导率的提取。当然,如果磁导率近似为1,也可以采用其他更简单的函数进行迭代,例如,仅仅采用S21

5.3 样品测量

测试之前,需对系统进行校准。自由空间法需作两次校准:(1)对矢网进行校准,校准的步骤和一般双端口校准方法相似;(2)进行准光系统校准,校准的方法采用了文献[22]中的TRM (Through-Reflection-Mach)校准方法。

第1种样品材料为石英硼化玻璃,其厚度为1.1 mm,长、宽都为100 mm,在W波段,测量结果如图12所示。要作特别说明的是,待测样品的位置需固定在束腰位置,形状要求为平板形式,但尺寸必须大于两个束腰大小,厚度尽量在1 mm左右(太薄容易造成弯曲,太厚会引入波束变形)。测量结果是基于S21进行的数值迭代而得到的,并且在整个频段内取平均值。石英硼化玻璃在温度为25°C,频率为1 MHz 时,其介电参数是 4.600–0.017j。但在W波段,其测量值为4.400–0.066j (平均值采用的是最小二乘法得到)。从测量结果可以看出,在W波段,样品介电参数的实部有所下降,虚部有所上升,符合固体介电参数的一般规律[1]。因此,可以认为4.400–0.066j是石英硼化玻璃在W波段的一个比较可信的值。而在220~325 GHz频段,测量值为4.388–0.064j。从测量结果可以看出,在毫米波及太赫兹频段,尽管石英硼化玻璃变化不大,但仍然有一定程度的减小。

图 12 石英硼化玻璃在W波段和220~325 GHz频段的介电参数 Fig.12 The dielectric properties of boron silicon in the W band and the range of 220~325 GHz

第2种样品是去离子水。测量去离子水采用的是多层结构,外面两层是石英硼化玻璃,其尺寸与前一样品相同。两层石英硼化玻璃用塑封胶带粘合。中间层为去离子水层,厚度为0.7 mm。去离子水的实验数据比较多,文献[1]归纳了不少毫米波及太赫兹频段的数据。另外,在毫米波及太赫兹频段,水的介电参数的损耗比较大。测量结果如图13所示。从测量结果可以看出,测量结果的拟合值与文献中的数值吻合较好。另外,也可以观察到,水在毫米波及太赫兹频段的介电参数的绝对值一直在减小。

图 13 去离子水在W波段和220~325 GHz频段的介电参数 Fig.13 The dielectric properties of de-ionized water in the W band and the range of 220~325 GHz
5.4 误差及适用性分析

从测量结果来分析,石英硼化玻璃的实部的变化在±0.25之间,相对误差在5.7%左右。虚部的绝对误差不大,但相对误差可达8.0%。因此,在低损介质的测量上,精度有所下降。与谐振法相比,其精度问题是其劣势。水的介电常数的实部与虚部与文献中的测量结果在W波段和220~325 GHz频段相差在4.8%左右。基于准光系统介电参数测量方法的测量误差主要有以下来源:(1)校准残差,因校准采用的是TRM方法,在宽带负载匹配时,仍会存在残差;(2)介质厚度的误差,介质厚度引起的误差主要体现在对高斯波束的变形上;(3)系统的随机相位误差。整体而言,准光技术更适合测量中高损耗的介质,而对低损介质的虚部会有较大的误差。

基于准光系统的介电参数测量方法的频率受限于反射面尺寸的大小。同时,要求介质材料的大小为波束半径的4倍以上。由此可见,低频段要求大镜面、大介质材料,30 GHz以下可能会更明显。高频段主要受限于镜面的加工精度(表面精度最好达到百分之一波长)和系统的动态范围,1.1 THz以上的频段需要的太赫兹的表面精度会比较高。建议30 GHz以上以及1.1 THz以下的部分可以采用准光技术进行测量。

6 总结

本文利用准光学理论设计了一套宽带准光系统。系统采用了高斯望远镜结构,并采用镗削技术加工以保证加工精度在1 μm以内。利用近场测试技术对系统进行了波束特性及远场的测量。通过W波段和220~325 GHz的测量结果可以看出,系统具有宽带工作特性,同时与理论分析吻合较好。通过石英硼化玻璃以及水的测试结果,验证了测量系统和数值方法的有效性。另外,在毫米波和太赫兹频段,介电参数展现出变化的特性。

参考文献
[1] 刘小明. 介电常数及其测量技术[M]. 北京: 北京邮电大学出版社, 2015: 1–16.
Liu Xiao-ming. Dielectric and Measurement Techniques[M]. Beijing: Beijing University of Posts and Telecommunications Press, 2015: 1–16. (0)
[2] Janssen M A, Paganelli F, Lorenz R D, et al.. Dielectric properties of titan’s surface using the Cassini RADAR radiometer[J]. Bulletin of the American Astronomical Society, 2006, 38(9): 586 (0)
[3] Zhang L B, Zhou P H, Zhang H B, et al.. A broadband radar absorber based on perforated magnetic polymer composites embedded with FSS[J]. IEEE Transactions on Magnetics, 2014, 50(5): 4004305 DOI:10.1109/TMAG.2013.2293129 (0)
[4] 陈权, 曾江源, 李震, 等. 遥感监测介电常数与土壤含水率关系模型[J]. 农业工程学报, 2012, 28(12): 171-175.
Chen Quan, Zeng Jiang-yuan, Li Zhen, et al.. Relationship model of soil moisture and dielectric constant monitored with remote sensing[J]. Transactions of the Chinese Society of Agricultural Engineering, 2012, 28(12): 171-175. DOI:10.3969/j.issn.1002-6819.2012.12.028 (0)
[5] 连懿, 陈圣波, 孟治国, 等. 基于嫦娥二号卫星微波辐射计亮温数据反演月壤介电常数[J]. 地球科学—中国地质大学学报, 2014, 39(11): 1644-1650.
Lian Yi, Chen Shengbo, Meng Zhiguo, et al.. Dielectric constant of Lunar soil derived from Chang’E-2 passive microwave radiometer measurements[J]. Earth Science—Journal of China University of Geosciences, 2014, 39(11): 1644-1650. DOI:10.3799/dqkx.2014.158 (0)
[6] 杨洋, 景磊. 金属介电常数对雷达目标散射截面的影响[J]. 激光与红外, 2013, 43(2): 155-158.
Yang Yang and Jing Lei. Impact of the metal permittivity on radar target scattering cross section[J]. Laser & Infrared, 2013, 43(2): 155-158. DOI:10.3969/j.issn.1001-5078.2013.02.008 (0)
[7] 潘顺康, 吕善伟, 王伟, 等. 介质参数对吸收体电磁散射影响[J]. 桂林电子科技大学学报, 2007, 27(3): 171-174.
Pan Shun-kang, Lv Shan-wei, Wang Wei, et al.. Effects of dielectric parameters on electromagnetic scattering of absorber[J]. Journal of Guilin University of Electronic Technology, 2007, 27(3): 171-174. DOI:10.3969/j.issn.1673-808X.2007.03.001 (0)
[8] ASTM. ASTM D150–2011 Standard test methods for AC loss characteristics and permittivity (dielectric constant) of solid electrical insulation[S]. ASTM, 2011. (0)
[9] Baker-Jarvis J, Vanzura E J and Kissick W A. Improved technique for determining complex permittivity with the transmission/reflection method[J]. IEEE Transactions on Microwave Theory and Techniques, 1990, 38(8): 1096-1103. DOI:10.1109/22.57336 (0)
[10] Stuchly M A, Athey T W, Samaras G M, et al.. Measurement of radio frequency permittivity of biological tissues with an open-ended coaxial line: Part II—Experimental results[J]. IEEE Transactions on Microwave Theory and Techniques, 1982, 30(1): 87-92. DOI:10.1109/TMTT.1982.1131022 (0)
[11] Komiyama B, Kiyokawa M and Matsui T. Open resonator for precision dielectric measurements in the 100 GHz band[J]. IEEE Transactions on Microwave Theory and Techniques, 1991, 39(10): 1792-1796. DOI:10.1109/22.88556 (0)
[12] Siegel P H. Terahertz technology[J]. IEEE Transactions on Microwave Theory and Techniques, 2002, 50(3): 910-928. DOI:10.1109/22.989974 (0)
[13] 魏明贵, 梁达川, 谷建强, 等. 太赫兹时域雷达成像研究[J]. 雷达学报, 2015, 4(2): 222-229.
Wei Ming-gui, Liang Da-chuan, Gu Jian-qiang, et al.. Terahertz radar imaging based on time-domain spectroscopy[J]. Journal of Radars, 2015, 4(2): 222-229. DOI:10.12000/JR14125 (0)
[14] 俞俊生, 陈晓东. 毫米波与亚毫米波准光技术[M]. 北京: 北京邮电大学出版社, 2010: 1–10.
Yu Jun-sheng and Chen Xiao-dong. Millimeter Wave and Sub-millimeter Wave Quasi-optical Technologies[M]. Beijing: Beijing University of Posts and Telecommunications Press, 2010: 1–10. (0)
[15] Liu X M, Chen H J, Yang B, et al.. Dielectric property measurement of gold nanoparticle dispersions in the millimeter wave range[J]. Journal of Infrared, Millimeter, and Terahertz Waves, 2013, 34(2): 140-151. DOI:10.1007/s10762-013-9957-7 (0)
[16] Goldsmith P F. Quasioptical Systems: Gaussian Beam Quasioptical Propogation and Applications[M]. New York: IEEE Press, 1998: 1–50. (0)
[17] Soares P A G, Pinho P and Wuensche C A. High performance corrugated horn antennas for CosmoGal satellite[J]. Procedia Technology, 2014, 17: 667-673. DOI:10.1016/j.protcy.2014.10.198 (0)
[18] Olver A D, Clarricoats P J B, Kishk A A, et al.. Microwave Horns and Feeds[M]. New York: IEEE Press, 1994: 229–315. (0)
[19] Ade P A, Wylde R J, and Zhang J. Ultra-Gaussian Horns for ClOVER—A B-Mode CMB experiment[C]. Proceedings of the 20th International Symposium on Space Terahertz Technology, Charlottesville, USA, 2009: 128–137. (0)
[20] Granet C and James G L. Design of corrugated horns: A primer[J]. IEEE Antennas and Propagation Magazine, 2005, 47(2): 76-84. DOI:10.1109/MAP.2005.1487785 (0)
[21] Yang B, Wylde R J, Martin D H, et al.. Determination of the gyrotropic characteristics of hexaferrite ceramics from 75 to 600 GHz[J]. IEEE Transactions on Microwave Theory and Techniques, 2010, 58(12): 3587-3597. DOI:10.1109/TMTT.2010.2086290 (0)
[22] Gagnon N, Shaker J, Roy L, et al.. Low-cost free-space measurement of dielectric constant at Ka band[J]. IEE Proceedings-Microwaves, Antennas and Propagation, 2004, 151(3): 271-276. DOI:10.1049/ip-map:20040264 (0)