与传统跟踪方法相比[1–3],基于文献[4]中的检测前跟踪算法可以通过直接处理多帧原始数据对低信噪比下的目标进行更精确的跟踪。近年来,文献[5–9]对基于动态规划的检测前跟踪算法进行了深入的研究。此外,针对多目标的动态规划检测前跟踪技术(Dynamic Programming-Track Before Detect, DP-TBD)也在很多文献中也得到了广泛关注[10,11],检测前跟踪算法在实际雷达系统中的各种应用[12–14]也得到了普遍关注。另外由于巨大的计算量限制了DP-TBD算法的应用,一些新颖地降低计算量的方法[15,16]也得到了深入探讨。
与传统跟踪直接提供离散的点迹不同,DP-TBD算法获取的是一些没有经过滤波和平滑的短航迹。在本文当中,作者称它为点迹序列。因此,传统跟踪的航迹关联和滤波算法不再适用于DP-TBD。同时,DP-TBD算法是一种栅格划分的方法,导致了该算法至少有半个栅格的损失。低信噪比(Signal-to-Noise Ratio, SNR)和不正确的状态转移区域都会导致航迹丢失,因此迫切地需要一种针对DP-TBD的滤波算法来提升点序列的跟踪精度。
文献[17–19]提出了基于DP-TBD的各种迭代滤波算法。然而,随着战场环境的日益严峻,单个传感器无法满足目标跟踪的精度需求。因此,多个传感器协同探测势在必行。为了利用多个传感器的信息,需要将各个传感器的观测信息进行正确的融合。当今的数据融合方法主要分为集中式和分布式融合。近年来,集中式融合取得了广泛的关注[20–22],因为集中式融合是将量测数据直接送到融合中心,没有任何数据损失,所以它是一种最优的融合策略。然而在这种情况下,融合中心会承担巨大的计算量,尤其是传感器数量增加时,对于融合中心来说计算量往往是灾难性的。因此导致了集中式融合的系统鲁棒性不高。至于分布式融合[23–25],是将单个传感器的一系列估计信息送到融合中心。通过这种方法,不仅可以提升系统的鲁棒性,还可以大大降低融合中心的计算负担。但是基于DP-TBD的分布式融合文献较少[26]。此外,该文献也并没有考虑数据异步问题和滤波问题。
虽然分布式融合取得了丰硕成果,但是大部分工作都是基于相同采样率的前提下,然而这种情况在实际中十分少见。这是因为实际中传感器往往是有不同的采样周期和初始采样时刻[27–29]。因此怎样转换异步估计数据也成为主要问题之一。
为了解决以上所有问题,本文提出了一种基于DP-TBD的分布式异步迭代滤波融合(Dynamic Programming Fuison, DPF)算法。首先将单个传感器的估计状态进行迭代滤波;然后,我们转换异步的估计数据为同步的估计数据;最后,运用几种分布式的融合准则来获取融合之后的目标状态估计。通过上述方法可以显著提升对微弱目标的检测跟踪性能。
2 量测与目标模型建立 2.1 目标模型假定在检测区域内有P个传感器,每个传感器采样F'帧。考虑一个点目标在2维平面内运动,因此目标运动状态方程是建立在4维的状态空间,定义为:
|
其中,
|
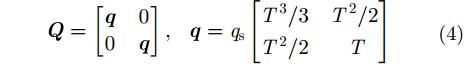
其中,状态转移矩阵F定义为:
|
式中,T代表两帧之间的时间间隔。过程噪声
|
其中,qs是检测空间的加速度噪声功率谱密度。
2.2 量测模型对第p个雷达在k时刻的量测模型定义为:
|
其中
|
量测噪声
为了取得实时量测,本算法采用滑窗处理的方法,滑窗长度选为N。如图1,我们对一次滑窗过程中的时间k从1到N编号,如第k–N+1帧编号为第1帧,那么第k帧编号为N。因此对于雷达p, k时刻的一次滑窗量测定义为:
|
其中,
|
图 1 当N=5时滑窗间多帧关系示意图 Fig.1 The relationships of multiple sliding window frames when N=5 |
算法流程分为:航迹起始、DP迭代、航迹关联,迭代滤波、异步状态转化和DPF融合。算法步骤的详细流程图和每一步之间的关系如图2所示。
|
图 2 DPF算法详细流程图 Fig.2 The detail method flow of DPF algorithm |
对于一次滑窗当中的第n帧,传感器p的检测概率为
|
对于传感器p,目标前N–1帧的状态估计
|
其中,
利用DP-TBD算法处理一批回波量测
|
其中,G是航迹关联的门限。当DP迭代的结果关联成功的时候,用迭代滤波器来处理这些点迹序列。
3.3 迭代滤波器对于第p个传感器,令它的椭圆波门门限为
|
接着,定义一步预测误差的自相关矩阵为:
|
之后,计算迭代滤波增益:
|
最后更新状态误差协方差矩阵:
|
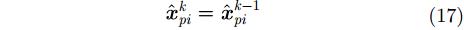
如果
|
则对状态进行更新
|
否则
|
如果在这次DP迭代当中没有检测结果,即没有值函数超过门限或者航迹关联失败。那么就只需要计算式(12),式(13),式(14)和式(17)。
第2步,通过迭代滤波器去处理第k帧的量测
|
|
|
|
如果
|
则对状态进行更新
|
否则进行一步预测
|
如果在这次DP积累中没有检测结果或者航迹关联失败,那么只需要计算式(19),式(20),式(21)和式(24)。然后,利用滑窗算法来处理这些点迹序列直到得到一条完整的航迹。
3.4 异步数据转换正如上文所述,通过这种方法,我们可以得到一条完整航迹和它的状态误差协方差矩阵。为了描述的方便,我们定义拥有最长采样周期的传感器为l,它在第q帧的估计状态和状态误差协方差矩阵分别为
首先,我们计算状态
|
其中,
|
|
其中,
|
那么我们就跳过式(26)和式(27)。
|
图 3 异步数据转换示意图 Fig.3 Asynchronous data conversion figure |
为了利用传感器m的所有量测信息来获取更精确的目标状态估计。如果不同的状态
|
|
最后,我们利用上文所述的方法来处理每一个传感器的状态估计和误差协方差估计并且均对齐到传感器l的采样时刻下,之后选择融合时刻为传感器l的采样时刻。
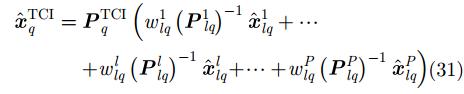
3.5 DPF融合通过上文处理之后,目标状态估计
TCI-DPF表示为:
|
其中
|
|
并且
通过上文所述的步骤,我们可以实现DPF算法。这种算法通过利用多个传感器的信息进行协同探测,可以有效地提升弱目标检测和跟踪的性能。这种方法也可以适用于一些其他的批处理TBD算法,比如霍夫变换等。此外,虽然本文是基于单目标的推导方法,但是我们可以利用文献[10,11]的方法来获取多目标跟踪的方法。
4 仿真实验在本小节中,我们运用仿真来证明DPF算法的有效性。考虑一个恒定幅度的点目标在一个2维的笛卡尔坐标系下运动,观测区域由200×200个单元格构成。运动规律遵从式(2)且噪声功率谱密度qs=0.001。假设有两个传感器在跟踪目标且DP-TBD算法的门限是基于恒虚警0.01,传感器1和传感器2的采样周期分别是1 s和2 s。此外,一次DP迭代处理6帧,总处理帧数为20帧。门限区域是99.97%且
图4表示运用SS-DPF算法和TCI-DPF算法单次蒙特卡洛仿真下的目标航迹。和单个传感器相比,由于有融合的处理,我们可以在某些帧看到,SS-DPF和TCI-DPF拥有更小的估计误差且可以得到更精确的估计效果。
|
图 4 当SNR=8时的一次蒙特卡洛仿真结果 Fig.4 One time Monte Carlo simulation result when SNR=8 |
我们利用参数RMSE位置误差和航迹丢失率来评价这个算法的可行性。航迹丢失率[32]是在整个跟踪过程中,如果估计的误差超过了一个低门限c1,那么这个估计器继续等N帧的数据来判断它是否降到了c1以下,如果降到了那我们认为这仍然是一条有效的航迹,如果没有,那么我们就认为航迹丢失了。此外,如果这个误差超过了一个高门限c2,我们就直接认为航迹丢失了。在本次仿真中,c1和c2分别设为2和4并且蒙特卡洛仿真次数设置为200次。
图5表示两种算法在SNR=8 dB和SNR=12 dB时的RMSE。由图可知,DPF算法的跟踪性能远好于单个传感器。当信噪比为8 dB时,传感器1和传感器2的RMSE分别是0.8293和1.2350。经过TCI融合后,每帧的RMSE是0.7238,与传感器1比提升了12.72%。SS-DPF融合方法平均每帧的RMSE是0.7269,和传感器1相比降低了12.35%。当信噪比为12 dB时,传感器1和传感器2的平均RMSE是0.7954和0.9475, TCI-DPF方法可以降低14.99%的RMSE到0.6761。至于SS-DPF方法,RMSE是0.6816,和传感器1相比减小了14.30%。
|
图 5 从第1帧到第20帧的RMSE Fig.5 RMSE from the 1st frame to the 20nd frame |
图6展示了DPF算法和传统跟踪分布式融合算法(TDF)的航迹丢失率,在这里c1和c2分别取为3和8,其余仿真条件和上文所述相同。TDF算法是一种检测后跟踪的方法[31],它的步骤包括恒虚警检测(Constant False Alarm Rate, CFAR),航迹起始,航迹关联,卡尔曼滤波和基于融合准则的分布式融合[30],两者融合均基于TCI准则。结果显示在同样的信噪比条件下,和TDF方法相比,DPF方法可大大减少航迹丢失率。如当信噪比为10 dB的时候,DPF方法的航迹丢失率约为20%,相比TDF方法的65%降低了超过200%的丢失率。这是因为在低信噪比环境下,TDF算法的CFAR会滤除到很多目标的信息,导致大量的航迹丢失。但是DPF算法就是一种解决该问题的有效方法。当信噪比提升时,两个算法的航迹丢失率的差距减小。这个仿真证明了DPF方法在减小航迹丢失率方面的优秀表现。
|
图 6 信噪比从8 dB到16 dB, DPF算法和TDF算法的航迹丢失率 Fig.6 Track loss rate of DPF algorithm and TDF method from SNR=8 dB to SNR=16 dB |
最后,DPF算法和CDPF算法的一次DP迭代的执行时间如表1所示。CDPF算法是一种基于DP-TBD的集中式异步融合方法[33]。这种方法是直接传送所有的量测数据到融合中心,然后融合中心进行DP处理的一种方法。结果显示DPF算法和CDPF方法的总执行时间差不多,但DPF方法的计算负担分散在各个传感器上。至于CDPF算法,由于单个传感器只需要将它的量测数据传送至融合中心,因此导致该算法的所有计算负担都承载在融合中心,尤其是当传感器数目增加时,融合中心的计算量巨大,这会导致系统的鲁棒性降低。而且融合中心一旦崩溃,就会导致整个系统崩溃。但DPF算法把计算量近似于均匀地分配给了每个雷达,这样即使单个传感器出现问题,也不会导致整个系统崩溃。
| 表 1 DPF算法和CDPF算法一次DP迭代的执行时间(s) Tab.1 One time execution time of DPF algorithm and CDPF algorithm (s) |
在本文中,通过利用不同传感器的估计信息,提出了基于DP-TBD的分布式异步迭代滤波融合算法,并且解决了多传感器融合问题。仿真结论说明了基于检测前跟踪动态规划分布式异步融合算法的有效性。并且相对于单个传感器来说,该算法大大改善了对弱目标跟踪的性能。此外也降低了航迹丢失率并且提高了系统的鲁棒性。
| [1] |
Bar-Shalom Y and Li Xiao-rong. Multitarget-Multisensor Tracking: Principles and Techniques[M]. Storrs, CT: YBS, 1995.
( 0)
|
| [2] |
Bar-Shalom Y and Blair W D. Multitarget-Multisensor Tracking: Applications and Advances, Vol. III[M]. Norwood, MA: Artech House, 2000.
( 0)
|
| [3] |
Bar-Shalom Y, Daum F, and Huang J. The probabilistic data association filter[J].
IEEE Control Systems, 2009, 29(6): 82-100. DOI:10.1109/MCS.2009.934469 ( 0)
|
| [4] |
Davey S J and Rutten M G. A comparison of three algorithms for tracking dim targets[C]. Proceedings of 2007 IEEE Information, Decision and Control, Adelaide, Australia, 2007: 342–347.
( 0)
|
| [5] |
Barniv Y. Dynamic programming solution for detecting dim moving targets[J].
IEEE Transactions on Aerospace and Electronic Systems, 1985, AES-21(1): 144-156. DOI:10.1109/TAES.1985.310548 ( 0)
|
| [6] |
Barniv Y and Kella O. Dynamic programming solution for detecting dim moving targets part II: Analysis[J].
IEEE Transactions on Aerospace and Electronic Systems, 1987, AES-23(6): 776-788. DOI:10.1109/TAES.1987.310914 ( 0)
|
| [7] |
Arnold J, Shaw S W, and Pasternack H. Efficient target tracking using dynamic programming[J].
IEEE Transactions on Aerospace and Electronic Systems, 1993, 29(1): 44-56. DOI:10.1109/7.249112 ( 0)
|
| [8] |
Tonissen S M and Evans R J. Peformance of dynamic programming techniques for Track-Before-Detect[J].
IEEE Transactions on Aerospace and Electronic Systems, 1996, 32(4): 1440-1451. DOI:10.1109/7.543865 ( 0)
|
| [9] |
Johnston L A and Krishnamurthy V. Performance analysis of a dynamic programming track before detect algorithm[J].
IEEE Transactions on Aerospace and Electronic Systems, 2002, 38(1): 228-242. DOI:10.1109/7.993242 ( 0)
|
| [10] |
Yi Wei, Morelande M R, Kong Ling-jiang, et al. An efficient multi-frame track-before-detect algorithm for multi-target tracking[J].
IEEE Journal of Selected Topics in Signal Processing, 2013, 7(3): 421-434. DOI:10.1109/JSTSP.2013.2256415 ( 0)
|
| [11] |
Buzzi S, Lops M, Venturino L, et al. Track-before-detect procedures in a multi-target environment[J].
IEEE Transactions on Aerospace and Electronic Systems, 2008, 44(3): 1135-1150. DOI:10.1109/TAES.2008.4655369 ( 0)
|
| [12] |
Wallace W R. The use of track-before-detect in pulse-Doppler radar[C]. Proceedings of RADAR 2002, Edinburgh, UK, 2002: 315–319.
( 0)
|
| [13] |
Buzzi S, Lops M, and Venturino L. Track-before-detect procedures for early detection of moving target from airborne radars[J].
IEEE Transactions on Aerospace and Electronic Systems, 2005, 41(3): 937-954. DOI:10.1109/TAES.2005.1541440 ( 0)
|
| [14] |
Orlando D, Ricci G, and Bar-Shalom Y. Track-before-detect algorithms for targets with Kinematic constraints[J].
IEEE Transactions on Aerospace and Electronic Systems, 2011, 47(3): 1837-1849. DOI:10.1109/TAES.2011.5937268 ( 0)
|
| [15] |
Grossi E, Lops M, and Venturino L. A Novel dynamic programming algorithm for Track-Before-Detect in radar systems[J].
IEEE Transactions on Signal Processing, 2013, 61(10): 2608-2619. DOI:10.1109/TSP.2013.2251338 ( 0)
|
| [16] |
Yi Wei, Kong Ling-jiang, and Yang Jian-yu. Thresholding process based dynamic programming Track-before-detect algorithm[J].
IEICE Transactions on Communications, 2013, E96.B(1): 291-300. DOI:10.1587/transcom.E96.B.291 ( 0)
|
| [17] |
Liu Rui, Yi Wei, Kong Ling-jiang, et al.. Recursive filtering for target tracking in multi-frame Track-Before-Detect[C]. Proceedings of the 2014 17th International Conference on Information Fusion (FUSION), Salamanca, Spain, 2014: 1–6.
( 0)
|
| [18] |
Fang Zi-cheng, Yi Wei, and Kong Ling-jiang. A tracking approach for low observable target using plot-sequences of multi-frame detection[C]. Proceedings of the 2016 19th International Conference on Information Fusion, Heidelberg, Germany, 2016: 1427–1433.
( 0)
|
| [19] |
Govaers F, Rong Yang, Chee L H, et al. Track-before-detect in distributed sensor applications[J].
EURASIP Journal on Advances in Signal Processing, 2011, 2011: 20 DOI:10.1186/1687-6180-2011-20 ( 0)
|
| [20] |
Gao Xin-bo, Chen Jin-guang, Tao Da-cheng, et al. Multi-sensor centralized fusion without measurement noise covariance by variational Bayesian approximation[J].
IEEE Transactions on Aerospace and Electronic Systems, 2011, 47(1): 718-727. DOI:10.1109/TAES.2011.5705702 ( 0)
|
| [21] |
Ma Jing and Sun Shu-li. Centralized fusion estimators for multisensor systems with random sensor delays, multiple packet dropouts and uncertain observations[J].
IEEE Sensors Journal, 2013, 13(4): 1228-1235. DOI:10.1109/JSEN.2012.2227995 ( 0)
|
| [22] |
Zhai Yan, Yeary M B, Havlicek J P, et al. A new centralized sensor fusion-tracking methodology based on particle filtering for power-aware systems[J].
IEEE Transactions on Instrumentation and Measurement, 2008, 57(10): 2377-2387. DOI:10.1109/TIM.2008.919009 ( 0)
|
| [23] |
Mohammadi A and Asif A. Distributed particle filter implementation with intermittent/irregular consensus convergence[J].
IEEE Transactions on Signal Processing, 2013, 61(10): 2572-2587. DOI:10.1109/TSP.2013.2245123 ( 0)
|
| [24] |
Zhao Tong and Nehorai A. Distributed sequential Bayesian estimation of a diffusive source in wireless sensor networks[J].
IEEE Transactions on Signal Processing, 2007, 55(4): 1511-1524. DOI:10.1109/TSP.2006.889975 ( 0)
|
| [25] |
Üney M, Clark D E, and Julier S J. Distributed fusion of PHD filters via exponential mixture densities[J].
IEEE Journal of Selected Topics in Signal Processing, 2013, 7(3): 521-531. DOI:10.1109/JSTSP.2013.2257162 ( 0)
|
| [26] |
Guo Yun-fei, Zeng Ze-bing, and Zhao Shang-yu. An amplitude association dynamic programming TBD algorithm with multistatic radar[C]. Proceedings of the 2016 35th Chinese Control Conference, Chengdu, China, 2016: 5076–5079.
( 0)
|
| [27] |
Talebi H and Hemmatyar A. Asynchronous track-to-track fusion by direct estimation of time of sample in sensor networks[J].
IEEE Sensors Journal, 2014, 14(1): 210-217. DOI:10.1109/JSEN.2013.2281394 ( 0)
|
| [28] |
Hu Yanyan, Duan Zhansheng, and Zhou Donghua. Estimation fusion with general asynchronous multi-rate sensors[J].
IEEE Transactions on Aerospace and Electronic Systems, 2010, 46(4): 2090-2102. DOI:10.1109/TAES.2010.5595618 ( 0)
|
| [29] |
Yan L P, Liu B S, and Zhou D H. Asynchronous multirate multisensor information fusion algorithm[J].
IEEE Transactions on Aerospace and Electronic Systems, 2007, 43(3): 1135-1146. DOI:10.1109/TAES.2007.4383603 ( 0)
|
| [30] |
Wang Yi-min and Li X R. Distributed estimation fusion with unavailable cross-correlation[J].
IEEE Transactions on Aerospace and Electronic Systems, 2012, 48(1): 259-278. DOI:10.1109/TAES.2012.6129634 ( 0)
|
| [31] |
Julier S J. An empirical study into the use of chernoff information for robust, distributed fusion of Gaussian mixture models[C]. Proceedings of the 2006 9th IEEE International Conference on Information Fusion, Florence, Italy, 2006: 1–8.
( 0)
|
| [32] |
Aprile A, Grossi E, Lops M, et al.. An application of Track-Before-Detect to sea-clutter rejection: Experimental results based on real data[C]. Proceedings of the 2014 11th European Radar Conference, Rome, Italy, 2014: 505–508.
( 0)
|
| [33] |
Li Yang-yang, Wang Jing-he, Yi Wei, et al.. A centralized asynchronous fusion algorithm for sensors with different resolution via DP-TBD[C]. Proceedings of 2017 IEEE Radar Conference, Seattle, USA, 2017: 922–927.
( 0)
|



0)