② (中国科学院大学 北京 100190)
② (University of Chinese Academy of Sciences,Beijing 100190,China)
超宽带雷达具有穿透能力强和距离向分辨率高等优点[1],它广泛应用于地质勘测、生命救援、穿墙目标跟踪等多种军用和民用领域[2–4]。传统的超宽带雷达是窄脉冲体制,它实现简单,但抗干扰能力差,在跟踪距离较远、干扰强等复杂的环境中,这种体制的雷达难以满足实际的要求[5,6]。新体制的超宽带雷达有线性调频体制、频率步进体制和伪随机编码体制,它们的工作方式类似,发射端发射持续时间较长,带宽足够,幅度相对较小的大时间带宽积信号;接收端接收到回波后先进行脉冲压缩或者是傅里叶变换处理,然后才得到雷达的脉冲响应函数。线性调频体制和频率步进体制雷达的信源设计复杂,系统线性度要求高,目前难以在地质勘测、生命救援、穿墙目标跟踪等应用中普及。伪随机编码信号可以由数字芯片直接合成,回波信号经过脉冲压缩而实现高信噪比和强抗干扰特性[7,8]。上世纪90年代中期,欧洲的火星探测计划促进了伪随机编码体制探地雷达的研制[9];德国伊尔梅瑙科技大学的学者研制了发射无载频基带信号的伪随机编码雷达;英国Utsi Electronics公司在2007年推出了中心频率为15 MHz的伪随机编码雷达Groundvue-6[10]。2012年开始,中科院电子所研制了超深编码探地雷达系统[11]和伪随机编码体制的穿墙雷达、生命探测雷达[12]。
近年来,超宽带雷达日益发展成熟,在工程应用中得到普及,但是单发单收雷达日渐显示出自身的不足之处。比如,在地质勘测方面,单发单收雷达观测到的目标信息通常认为是位于测线的正下方;同样地,穿墙目标跟踪和生命探测方面,单发单收雷达探测到的信息通常认为是位于雷达的正前方。虽然合成孔径雷达Synthetic Aperture Radar (SAR)方法能获得目标的距离向和方位向等多维信息[13],但是,平台运动的不确定性导致数据处理复杂,另一方面,平台的机械运动使观测信息难以实时融合处理,这使SAR方法难以推广到生命救援雷达和穿墙目标跟踪雷达等超宽带雷达的应用中去。2004年,美国学者Eran Fishler等人讨论总结了多发多收雷达的发展前景,在论文中指出,多发多收系统可以很大程度地提高雷达的探测性能[14]。多发多收超宽带雷达系统的多个收发通道协同工作,它能实时探测到目标的距离向和方位向信息[15]。美国的田纳西州大学研制了一款1发8收的多发多收雷达系统,该系统接收通道通过射频开关切换而实现8个通道分时输入[16,17]。但由于系统基于脉冲体制,脉冲峰值功率和射频开关耐压的矛盾而制约着雷达系统的性能。GSSI公司的多通道雷达系统SIR30可以实现8个通道同时工作,但是该系统结构复杂、成本高、功耗大,在8个通道同时工作时会造成数据量过大而难以实时处理。早在2002年,美国Time Domain公司就成功研制了一款多发多收穿墙雷达样机[15],这是第1款伪随机编码体制的多发多收超宽带雷达系统。对于伪随机编码体制的多发多收雷达系统,目前这方面的文献相对较少。
本文提出一种基于射频开关切换的伪随机编码超宽带多发多收雷达设计方法。为了降低雷达系统的成本和复杂性,同时为了尽可能地提高扫描率,采用射频开关切换的方法来实现多发多收雷达系统,该系统的最大通道能实现4发16收。选择码元长度为1023的二相调制m序列作为雷达的发射信号,信号中心频率为1.06 GHz,由于射频开关的耐压值有限,发射峰值功率为18 dBm。通过混合采样方法实现超宽带信号的采样接收,由200 MSPS的实时采样率通过64轮混合采样实现12.8 GSPS的混合采样率,并且调用FPGA内部的DSP硬核来进行实时脉冲压缩,以缓解后续数据处理运算量大的问题。实验结果表明,该雷达系统在距离向上有较远的探测距离,并且能实时探测到目标的方位向和距离向信息。
2 雷达系统关键技术分析 2.1 雷达工作过程伪随机编码多发多收雷达系统的工作过程如图1所示,图中为m发n收雷达工作过程示意图。图1中Tm 表示第m号发射天线,Rn 表示第n号接收天线;Snm(t)表示第n号发射天线发射信号、第m号接收天线接收到的回波信号,回波信号已经过脉冲压缩处理。
|
图 1 雷达工作过程示意图 Fig.1 Schematic diagram of radar operating |
伪随机编码雷达回波经过脉冲压缩处理后得到窄脉冲信号,如图1所示,因此伪随机编码雷达的探测原理与脉冲体制雷达相同。对于m发n收的超宽带雷达系统,每个发射天线都有n组接收天线,所以m发n收雷达系统总共有m×n组不同的接收数据。由于多个收发天线的空间相对位置不同,对这m×n组数据进行聚集处理便可以得到观测目标的距离向和方位向等信息。
2.2 基于射频开关切换的多发多收雷达技术多发多收雷达可以通过单发单收雷达扩展得到,事实上,把多个独立的单发单收雷达组合起来工作就可以形成多发多收雷达系统,但这时会涉及到雷达之间的时间同步和数据融合问题;另一方面,多个独立的雷达会受到环境因素等的影响而难以保证各个雷达保持一致性。所以,通常会把多发多收雷达做成一个独立的雷达系统,这样不但解决了同步问题,也使数据融合处理显得简单可行。
在超宽带雷达的应用中,观测目标通常是缓慢变化的,因此可以考虑以开关切换的方法实现多发多收超宽带雷达。对于m发n收雷达,为了得到一帧完整的数据,发射开关要依次切换m轮,同时,发射开关每切换一轮,接收开关要依次切换n轮。即经过m×n轮切换才能得到一帧完整的m×n数据,雷达的成像速率比扫率慢m×n倍,因此要尽可能提高雷达系统的扫描率。在开关切换过程中,只要通道的切换速度足够快,就可以近似认为各个通道同时独立工作,并不丢失目标的实时信息。
目前常用的信号切换开关有机械开关和射频开关两种,机械开关通过机械式接触实现不同通道的切换,它的耐压值高、隔离度好,但是切换速度慢,限制了多发多收雷达系统的切换速度。射频开关由半导体器件和微波电路组成,由电压控制来实现不同通道的切换,它的耐压值有限、隔离度适中,但是切换速度快。对于脉冲超宽带雷达,由于脉冲峰值过高而难以由射频开关切换实现多发多收雷达。伪随机编码体制雷达由于峰值功率小而可以很好地应用于基于射频开关切换的多发多收超宽带雷达。
2.3 伪随机编码信号产生技术为了便于伪随机编码信号的发射,通常以二相调制的伪随机编码信号作为雷达的发射信号。为了得到二相调制信号,一种方法可以借鉴通信中的调制解调思想,采用混频方法把基本信号调制频带上,但是,由于超宽带信号带宽与中心频率相当,器件的宽带调制实现困难。另一种方法是基于FPGA和高速Digital to Analog Convertor (DAC)器件,通过数字方法直接合成伪随机编码雷达发射信号,研究和实验表明,这种方法能方便、可控地生成所需要的信号。
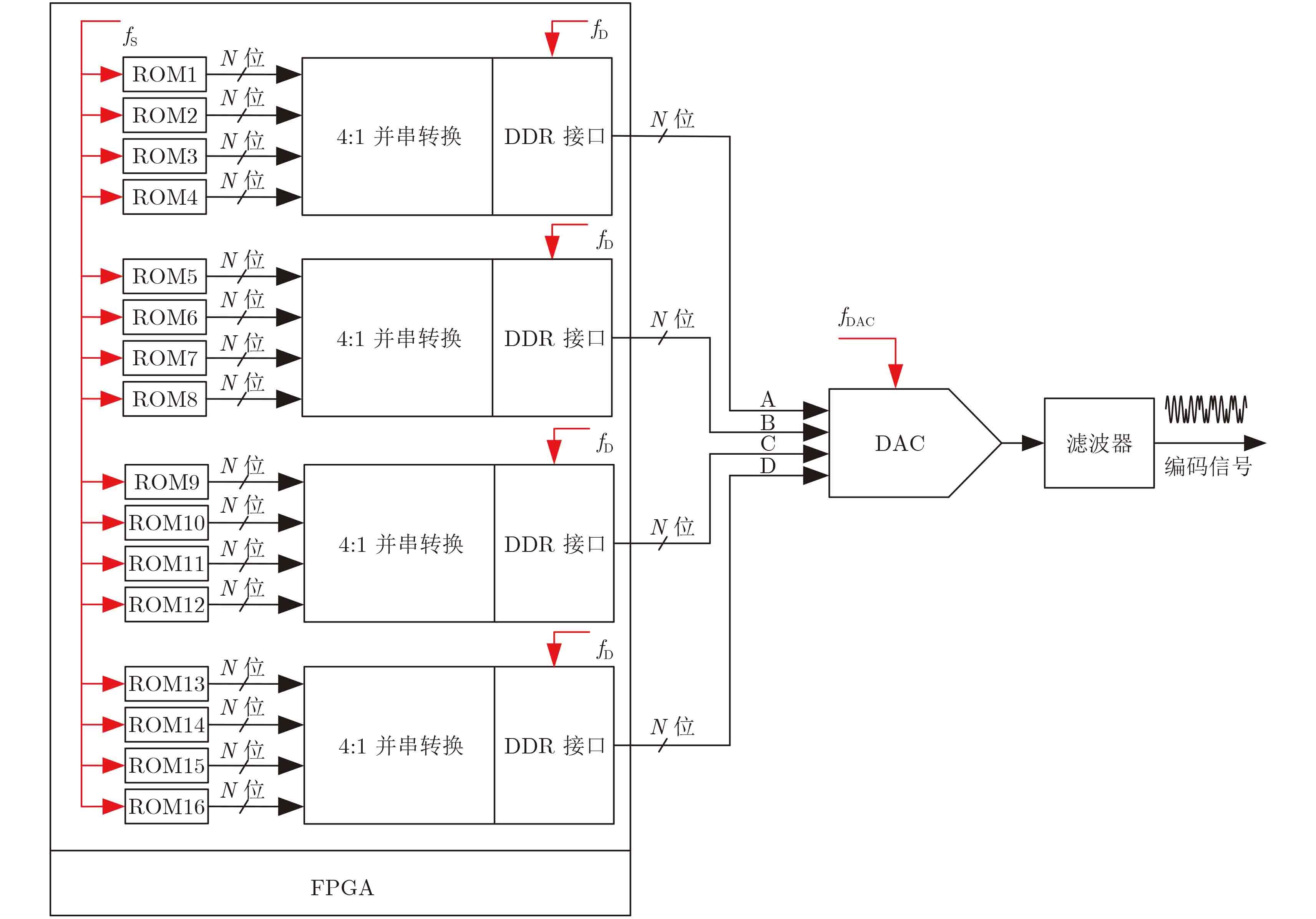
由于FPGA芯片内部主频一般只能工作在500 MHz以下,为了产生高速的伪随机编码信号,结合FPGA内部的并串转换模块、双倍数据速率Double Data Rate (DDR)接口和多路数据接口的DAC芯片,通过FPGA内部低速时钟产生外部高速伪随机编码信号。图2是高速伪随机编码信号产生原理图,选取四路数据接口的高速DAC,其中fS是FPGA内部DAC采样数据存储器ROM1~ROM16的工作时钟,fD是DDR接口的工作时钟,fDAC是外部高速DAC的工作时钟。根据并串转换、DDR接口和四端口DAC芯片的时钟关系,有fDAC=8fD和fD=2fS,即FPGA内部只需要低速时钟便能产生高速的伪随机编码信号。DAC产生的信号通过信号频带内的低通或带通滤波器后便能产生平滑的编码信号,编码信号经放大器放大后便是雷达天线的发射信号。
|
图 2 高速伪随机编码信号产生原理图 Fig.2 Schematic diagram of high-speed pseudo random coded signal |
对于超宽带信号的采集,目前市场上能满足超宽带信号采样率要求的器件很少见,所以通常会采用混合采样对超宽带信号进行采集[18]。混合采样的思想是牺牲时间来换取更高的采样率,在多个雷达脉冲重复周期Pulse Repetition Period (PRP)内通过多次发送相同的信号来实现一道完整雷达回波的采集。图3是混合采样过程的时序图,采样过程中Analog to Digital Converter (ADC)工作时钟fADC依次比上一轮的混合采样时钟延迟
| ${f_{\rm H}} = \frac{1}{{\Delta t}}$ | (1) |
采集一道完整回波的混合采样次数为:
| $n = \frac{1}{{{f_{\rm ADC}} \cdot \Delta t}}$ | (2) |
|
图 3 混合采样时序图 Fig.3 Timing diagram of hybrid sampling |
假设每一轮混合采样的采样点数为NP,则n轮混合采样得到的数据是一个n×NP矩阵,如式(3)所示。矩阵中每一轮的采样数据按行存储,而按列读出即是相邻时间间隔为
| ${{S}} = \left[ {\begin{array}{*{20}{c}}{{S_1}(0)}&{{S_1}(1)}& \cdots &{{S_1}({N_{\rm P}} - 1)}\\{{S_2}(0)}&{{S_2}(1)}& \cdots &{{S_2}({N_{\rm P}} - 1)}\\ \vdots & \vdots & \ddots & \vdots \\{{S_n}(0)}&{{S_n}(1)}& \cdots &{{S_n}({N_{\rm P}} - 1)}\end{array}} \right]$ | (3) |
在伪随机编码体制的超宽带雷达中,原始回波信号的实时脉冲压缩是信号处理的首要和关键步骤。由于超宽带雷达的采样率高、数据量大,而微处理器处理速度和DSP芯片运算能力有限。本文基于时间域的互相关算法,通过调用FPGA中的DSP硬核进行并行计算,并结合流水线模式,实现快速实时脉冲压缩。伪随机编码信号的脉冲压缩公式为:
| $R[l] = \sum\limits_{i = 0}^{{N_{\rm r}} - 1} {s[i + l]r[i]} ,\ l = 0, 1, 2, ·\!·\!·, {N_{\rm R}} - 1$ | (4) |
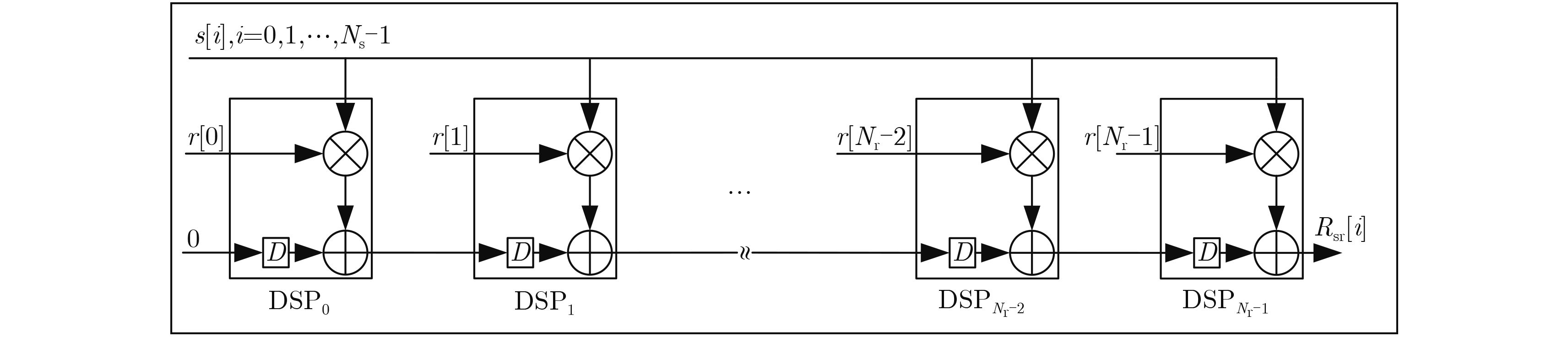
式中,r是参考码信号,它通常为雷达的发射信号,长度为Nr个采样点;s是雷达回波信号,长度为Ns个采样点。根据式(4),调用FPGA中的Nr个DSP硬核进行乘法运算,并通过流水线方式进行累加操作,构造图4所示的脉冲压缩并行运算框架。图中D表示1个时钟周期的延时,DSP硬核乘法器的一个输入端分别为各自固定的参考码,另一个输入端同时输入回波信号,压缩结果由最后一级输出端Rsr[i]输出。
|
图 4 脉冲压缩并行运算框架 Fig.4 Structure of pulse compression computed parallelly |
由于FPGA中的DSP硬核数量有限,如果参考码长度Nr大于乘加器数量,脉冲压缩并行运算将不能实现。为了解决上面的问题,把长度为Nr的参考码分解成M段,每段长度为Nr0=Nr/M;分段条件满足Nr0小于FPGA中DSP硬核数量,同时通过对参考码补0或者适当选择M值使Nr0为整数。由分段方法,可以得到分段后的第j段参考码与原参考码对应关系为:
| ${r_j}[i] = r[j \cdot {N_{r0}} + i]$ | (5) |
式中,j=0, 1, ···,M–1,i=0, 1, ···,Nr0–1。分段后,式(4)可以转化成参考码分段并行运算脉冲压缩,如式(6):
| $R[l] = \sum\limits_{j = 0}^{M - 1} {{R_j}[l]} $ | (6) |
式中,l=0, 1, ···,NR–1,Rj 表示第j段参考码的压缩结果,为:
| ${R_j}[l] = \sum\limits_{i = 0}^{{N_{{\rm r}0}} - 1} {s[j \cdot {N_{{\rm r}0}} + l + i] \cdot {r_j}[i]} $ | (7) |
即先把各段参考码采用图4的并行运算框架进行脉冲压缩,再把压缩的结果累加,容易证明式(4)和式(6)是等价的。
3 多发多收雷达系统设计多发多收雷达系统的原理图如图5所示,主要由4部分组成,从上到下依次为:时钟同步单元、发射机单元、接收机单元和开关切换单元,图中分别用不同的填充色标注。图6是多发多收雷达系统样机,该系统的主要参数如表1所示。
|
图 5 多发多收雷达系统原理图 Fig.5 Schematic diagram of MIMO radar system |
|
图 6 多发多收雷达系统样机 Fig.6 MIMO radar system |
| 表 1 多发多收雷达系统主要参数 Tab.1 Main parameter of MIMO radar |
雷达系统需要考虑收发同步问题,特别在混合采样时,对同步精度要求是ns甚至ps级别的,所以雷达系统通常工作在同一时钟基准上。如图5第1部分所示,参考时钟是一个高稳的50 MHz晶振,50 MHz参考时钟经过频率综合器倍频后产生3.2 GHz时钟。3.2 GHz时钟扇出两路,一路作为DAC的数据采样时钟,另一路16分频后生成200 MHz的时钟。200 MHz时钟扇出两路,一路经过可编程延时线,作为ADC的工作时钟,另一路作为FPGA的输入时钟。FPGA的输入时钟由内部锁相环Phase Lock Loop (PLL)生成100 MHz的时钟,100 MHz作为FPGA系统的工作时钟。从上面分析得到,雷达系统的所有时钟都是以50 MHz高稳晶振作为基准,即雷达系统各部分始终是同步的。
3.2 发射机单元的设计为了提高扫描率同时考虑信号的主旁瓣比,选择码元长度为1023的m序列作为发射信号,单个码元的宽度为0.9375 ns。结合DAC器件的特性同时考虑天线尺寸,选择二相调制信号作为雷达发射信号,信号的载波频率为1.06 GHz。DAC的工作频率为3.2 GHz,对每个码元采样3个有用点,理论上,此时DAC将会产生三角波,但受器件带宽和系统带宽的限制,实际波形会是平滑的双极性脉冲波形;经过低通滤波器后,波形将会变成类似于正弦波的二相调制信号。伪随机编码体制雷达通常发射小功率的信号,因此只需要用低噪声放大器将小信号放大,放大后的信号如图7所示。
|
图 7 雷达发射信号 Fig.7 Radar transmitting signal |
接收天线输出的回波信号先通过低通滤波器,把不需要的高频成份滤去;由于回波信号通常很微弱,为了达到ADC芯片最低检测电平,低通滤波器后级联低噪声放大器把回波信号放大18 dB。ADC的工作时钟为200 MHz,由64轮混合采样得到采样率为12.8 GSPS,此时通过FPGA控制可编程延时线使ADC工作时钟每一轮依次比上一轮延迟78 ps。为了进一步提高回波信号质量,对每个通道的回波信号各自进行32次累加平均,即平均次数32次。
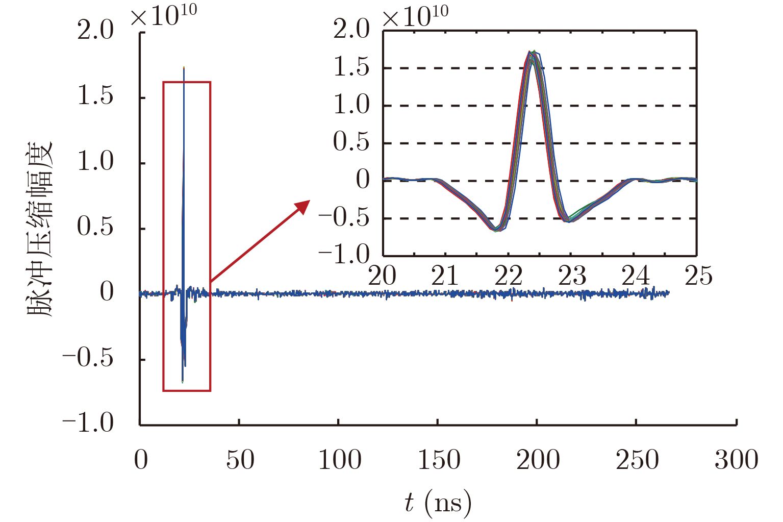
发射信号的时间为960 ns,采样时窗为300 ns,实际采样时间为1260 ns。对于12.8 GSPS的采样率,参考码采样点数为12288点,回波采样点数为16128点,把参考码分成154段调用80个DSP硬核来完成实时脉冲压缩。图8是雷达系统闭环测试得到的脉冲压缩结果图,由于发射单元和接收单元都级联低噪放,为了防止在测试时接收机饱和,测试时在发射和接收机之间级联了40 dB的衰减器。脉冲压缩的旁瓣始终在–30 dB附近,它与m序列的特性一致,所以接收机单元满足雷达系统设计的需求。
|
图 8 脉冲压缩结果 Fig.8 Results of pulse compression |
选择Mini-Circuits公司的一切四射频开关模块,射频开关的详细参数如表2所示。为了实现最大阵列为4发16收的的多发多收雷达系统,发射通道采用1个上述的一切四射频开关,接收通道采用5个一切四的开关由树型结构级联成一切十六射频开关,图9是收发开关的级联结构图。对于以上6个开关的控制,采用独立的开关控制板,开关控制板与雷达系统通信,由开关控制板实现任意收发组合的阵列形式。
| 表 2 射频开关详细参数 Tab.2 Main parameter of MIMO radar |
|
图 9 收发开关级联结构图 Fig.9 Structure of radio frequency switches |
为了测试4发16收各个通道的一致性,对雷达系统4发16收开关的任意收发组合进行闭环测试,最终闭环测试得到的64组数据结果如图10所示。从图10可以知道,64组数据的脉冲压缩波形近似相同、幅度近似相等,除了在回波延时存在一定的差别外,其他特性基本相一致。而对于回波的延时差异,通过雷达系统校准可以在数据后处理时补偿回来。
|
图 10 各个通道一致性测试结果 Fig.10 Results of consistency of all channels |
对系统的接收灵敏度进行测试,任意选择收发组合通道,发射信号和接收信号都经过低噪声放大器,中间级联可调衰减器后闭环。通过调节衰减器的大小,测试最小能检测到的信号电平。不同衰减值时的测试结果如图11所示,当衰减120 dB时虽然看到峰值点,事实上难以分辨。所以可以认为衰减115 dB时得到系统接收机的最小检测电平,由发射处输出电平为5 Vpp,通过计算得到接收机的灵敏度为–97 dBm。
|
图 11 不同衰减值的闭环测试结果 Fig.11 Results of different attenuation |
为了验证雷达系统性能,选择单发单收模式下进行穿墙动目标测试,测试墙体为一般楼房的砖墙,厚度为25 cm,并同实验室研制的同频段脉冲雷达进行对比实验。同频段脉冲雷达的中心频率是1.2 GHz, –10 dB带宽为0.4~2.0 GHz,脉冲幅值为36 Vpp,采样率为13.6 GHz,线性平均次数为64次。对比实验测试结果如图12所示,从图中可以知道,伪随机编码雷达在15 m内跟踪结果非常清晰,而同频段的脉冲雷达的跟踪范围在10 m以内。脉冲雷达随着探测目标距离增大,信噪比迅速下降;而伪随机编码雷达可以通过脉冲压缩而进一步提高系统的信噪比。
|
图 12 不同体制雷达的穿墙测试结果 Fig.12 Results of different radar systems though the wall |
为了方便验证多发多收雷达的性能,选用2发4收系统作测试,此时天线口径为1.8 m的线阵,其中2个发射天线在两侧,4个接收天线在中间;两侧发射天线和接收天线的间距是22.5 cm,中间相邻接收天线的间距为45 cm。首先在空气中对2发4收系统进行测试,主要是对空气中目标的距离向和方位向信息进行识别。图13是同时对空气中两个直径为7 cm的可比拟金属杯的测试场景,图14是两个目标中心点在不同间距时的测试结果图。
|
图 13 2发4收对空气中两个目标测试场景 Fig.13 Experimental scene using 4-input 2-output radar to detect two targets in the air |
|
图 14 两个目标在不同间距时的测试结果图 Fig.14 Results of different distance of two targets |
图14是由BP算法处理得到的结果,从图中可以得到,两个目标的距离向固定在2 m处。当两个目标相距35 cm以上时,可以很容易地把它们区分开来,如图14(a)和图14(b);当目标相距25 cm时,测试结果中两个目标开始重合,但仍然能区分开来,如图14(c);当目标相距20 cm时,两个目标的测试结果已经重合在一起,这时并不能把它们区分开来。
4.3 2发4收穿墙测试结果为了进一步验证多发多收雷达的性能,仍然用以上空气中的2发4收阵列做穿墙实验,探测墙体后目标的距离向和方位向信息。图15是穿墙测试场景,此时直接对墙体后的人进行识别,图16是对墙体后目标的测试结果。测试实验增加了对背景数据(即无目标时)的记录,并将其与有目标时数据相减得到相关结果。
|
图 15 2发4收穿墙测试场景 Fig.15 Experimental scene using 4-input 2-output radar to detect human through the wall |
|
图 16 墙体后目标的测试结果图 Fig.16 Results of human behind the wall |
测试墙体为一般楼房的砖墙,厚度为25 cm,图16是同样由BP算法处理得到的结果。图16(a)是20 cm×20 cm的金属板在墙后1 m处的测试结果,主要用来对系统进行标定;图16(b)是对墙后正前方人体测试的结果,目标在墙后4.2 m处;图16(c)是对墙后右前方的人体测试的结果,目标在墙后距离向4.2 m,方位向–1.7 m处;图16(d)是对墙后右前方的人体测试的结果,目标在墙后距离向3.8 m,方位向1.3 m处。从图中可以看出,2发4收雷达能对墙体后的目标进行方位向和距离向的区分。
5 结束语本文提出一种基于射频开关切换的伪随机编码超宽带多发多收雷达设计方法。采用射频开关切换的方法来实现多发多收雷达系统,基于FPGA和DAC产生伪随机编码信号,由混合采样方法实现高速超宽带信号的接收采样,并直接在FPGA中进行实时脉冲压缩。实验结果表明,该雷达系统能实时探测到目标的方位向和距离向信息,在地质勘测、生命救援、穿墙目标跟踪等领域具有重要的应用价值。
| [1] |
Immoreev I I and Fedotov P G S D V. Ultra wideband radar systems: Advantages and disadvantages[C]. IEEE Conference on Ultra Wideband Systems and Technologies, Baltimore, USA, 2002: 201–205.
http://ieeexplore.ieee.org/xpls/icp.jsp?arnumber=1006348 ( 0)
|
| [2] |
Parrini F, Fratini M, Pieraccini M,et al.. ULTRA: Wideband ground penetrating radar[C]. 2006 European Radar Conference, UK, 2006: 182–185.
http://ieeexplore.ieee.org/document/4058288/ ( 0)
|
| [3] |
吴世有, 谭恺, 徐艳云, 等. 超宽带穿墙雷达天线阵列配置分析及运动人体跟踪成像算法[J].
电子与信息学报, 2012, 34(11): 2601-2607. Wu Shi-you, Tan Kai, Xu Yang-yun, et al. Study on UWB through-wall radar antenna array configuration and moving person tracking and imaging algorithm[J]. Journal of Electronics & Information Technology, 2012, 34(11): 2601-2607. ( 0)
|
| [4] |
Haddad W S. The Rubble Rescue Radar (RRR): A low power hand-held microwave device for the detection of trapped human personnel[R]. Lawrence Livermore National Laboratory, CA (United States), 1997.
http://digital.library.unt.edu/ark:/67531/metadc693400/m2/1/high_res_d/571102.pdf ( 0)
|
| [5] |
Sachs J, Peyerl P, and Zetik R. Stimulation of UWB-sensors: Pulse or maximum sequence[C]. International Workshop on UWB Systems, Oulu, Finland, 2003: 5.
http://ieeexplore.ieee.org/document/5117727/authors ( 0)
|
| [6] |
Sachs J, Peyerl P, and Rossberg M. A new UWB-principle for sensor-array application[C]. Instrumentation and Measurement Technology Conference, Venice, Italy, 1999, 3: 1390–1395.
http://onlinelibrary.wiley.com/doi/10.1002/9783527651818.ch3/summary ( 0)
|
| [7] |
夏正欢, 张群英, 叶盛波, 等. 一种便携式伪随机编码超宽带人体感知雷达设计[J].
雷达学报, 2015, 4(5): 527-537. Xia Zheng-huan, Zhang Qun-ying, Ye Sheng-bo, et al. Design of a handheld pseudo random coded UWB radar for human sensing[J]. Journal of Radars, 2015, 4(5): 527-537. ( 0)
|
| [8] |
张群英, 方广有. 伪随机序列编码脉冲信号在探地雷达中的应用研究[J].
电子与信息学报, 2011, 33(2): 424-428. Zhang Qun-Ying and Fang Guang-You The study of pseudo random sequence’s application to GPR[J]. Journal of Electronics & Information Technology, 2011, 33(2): 424-428. ( 0)
|
| [9] |
Nicollin F, Barbin Y, Kofman W, et al. An HF bi-phase shift keying radar: Application to ice sounding in Western Alps and Spitsbergen glaciers[J].
Geoscience and Remote Sensing, IEEE Transactions on, 1992, 30(5): 1025-1033. DOI:10.1109/36.175337 ( 0)
|
| [10] |
Utsi V. Design of a GPR for deep investigations[C]. 2007 4th International Workshop on Advanced Ground Penetrating Radar, Porto Alegre, RS, Brazil, 2007: 222–225.
( 0)
|
| [11] |
Xia Z, Zhang Q, Ye S, et al. A novel low-frequency coded ground penetrating radar for deep detection[J].
IEICE Electronics Express, 2015, 12(11): 20150200 . ( 0)
|
| [12] |
Xia Z, Fang G, Ye S, et al. A novel handheld pseudo random coded UWB radar for human sensing applications[J].
IEICE Electronics Express, 2014, 11(23): 20140981 . ( 0)
|
| [13] |
Andrieu J, Gallais F, Mallepeyre V,et al.. Land mine detection with an ultra-wideband SAR system[C]. Proceedings SPIE 4742 Detection and Remediation Technologies for Mines and Minelike Targets VII, 2002, 4742: 237–247.
http://proceedings.spiedigitallibrary.org/proceeding.aspx?articleid=888254 ( 0)
|
| [14] |
Fishler E, Haimovich A, Blum R,et al.. MIMO radar: An idea whose time has come[C]. Proceedings of the 2004 IEEE Radar Conference, Philadelphia PA, USA, 2004: 71–78.
http://ieeexplore.ieee.org/iel5/9199/29174/01316398.pdf ( 0)
|
| [15] |
Nag S, Barnes M A, Payment T,et al.. Ultrawideband through-wall radar for detecting the motion of people in real time[C]. Proceedings SPIE 4744: Radar Sensor Technology and Data Visualization, 2002, 4744: 48–57.
http://proceedings.spiedigitallibrary.org/mobile/proceeding.aspx?articleid=888676 ( 0)
|
| [16] |
Yang Y and Fathy A E. See-through-wall imaging using ultra wideband short-pulse radar system[C]. 2005 IEEE Antennas and Propagation Society International Symposium, Washington DC, USA, 2005, 3: 334–337.
http://ieeexplore.ieee.org/document/1552508/ ( 0)
|
| [17] |
Yang Y and Fathy A E Development and implementation of a real-time see-through-wall radar system based on FPGA[J].
IEEE Transactions on Geoscience and Remote Sensing, 2009, 47(5): 1270-1280. DOI:10.1109/TGRS.2008.2010251 ( 0)
|
| [18] |
Shize G, Shenghe S, and Zhongting Z. A novel equivalent sampling method using in the digital storage oscilloscopes[C]. 1994 IEEE Instrumentation and Measurement Technology Conference, Hamamatsu, Japan, 1994, 2: 530–532.
http://ieeexplore.ieee.org/document/351901/ ( 0)
|



0)