一种面向机械旋转变极化雷达的蝙蝠超分辨改进算法

王博弘 申彪 穆文星 刘涛

王博弘, 申彪, 穆文星, 等. 一种面向机械旋转变极化雷达的蝙蝠超分辨改进算法[J]. 雷达学报(中英文), 2026, 15(2): 662–686. doi: 10.12000/JR25113
引用本文: 王博弘, 申彪, 穆文星, 等. 一种面向机械旋转变极化雷达的蝙蝠超分辨改进算法[J]. 雷达学报(中英文), 2026, 15(2): 662–686. doi: 10.12000/JR25113
WANG Bohong, SHEN Biao, MU Wenxing, et al. An improved bat-inspired super-resolution algorithm for mechanical rotation polarimetric radar[J]. Journal of Radars, 2026, 15(2): 662–686. doi: 10.12000/JR25113
Citation: WANG Bohong, SHEN Biao, MU Wenxing, et al. An improved bat-inspired super-resolution algorithm for mechanical rotation polarimetric radar[J]. Journal of Radars, 2026, 15(2): 662–686. doi: 10.12000/JR25113

一种面向机械旋转变极化雷达的蝙蝠超分辨改进算法

DOI: 10.12000/JR25113 CSTR: 32380.14.JR25113
基金项目: 国家自然科学基金(62571542, 62171452)
详细信息
    作者简介:

    王博弘,硕士生,主要研究方向为雷达超分辨技术、雷达极化信息处理等

    申 彪,博士生,主要研究方向为极化雷达波形设计、雷达极化抗干扰和雷达极化信息处理等

    穆文星,博士生,主要研究方向为雷达极化信息处理和极化SAR目标检测等

    刘 涛,教授,主要研究方向为雷达极化信息处理、新体制雷达技术及雷达电子战等

    通讯作者:

    刘涛 liutao1018@sina.com

    责任主编:高贵 Corresponding Editor: GAO Gui

  • 中图分类号: TN957

An Improved Bat-inspired Super-resolution Algorithm for Mechanical Rotation Polarimetric Radar

Funds: The National Natural Science Foundation of China (62571542, 62171452)
More Information
  • 摘要: 近年来,受生物感知机制启发的仿生超分辨技术已成为突破雷达分辨极限的重要研究方向。基于蝙蝠听觉的基带谱相关及变换(BSCT)模型为传统雷达分辨力提升提供了新思路,然而其存在多目标适应能力不足且无法利用极化信息的固有缺陷。针对上述问题,该文提出一种面向机械旋转变极化雷达(MRPR)的极化增强型仿生超分辨模型:极化基带谱相关及变换(P-BSCT)。主要贡献包括:一是将蝙蝠BSCT模型与MRPR结合,使之可以利用极化信息并进行极化测量;二是提出改进的信号处理方法,突破原BSCT对两目标、静态场景的限制,有效适用于多目标及运动目标场景,且分辨效果不受信号调制形式影响。仿真实验表明,在理想条件下,P-BSCT相较原BSCT模型带来约15 dB的分辨力提升;对于运动目标、极化散射特性相同的目标以及非线性调频信号等特殊场景,P-BSCT的分辨性能基本不受影响,具有较强的鲁棒性。

     

  • 图  1  MRPR系统结构框图与实物图[74]

    Figure  1.  Block diagram and physical diagram of the MRPR system structure[74]

    图  2  P-BSCT信号处理流程图

    Figure  2.  Flowchart of P-BSCT signal processing

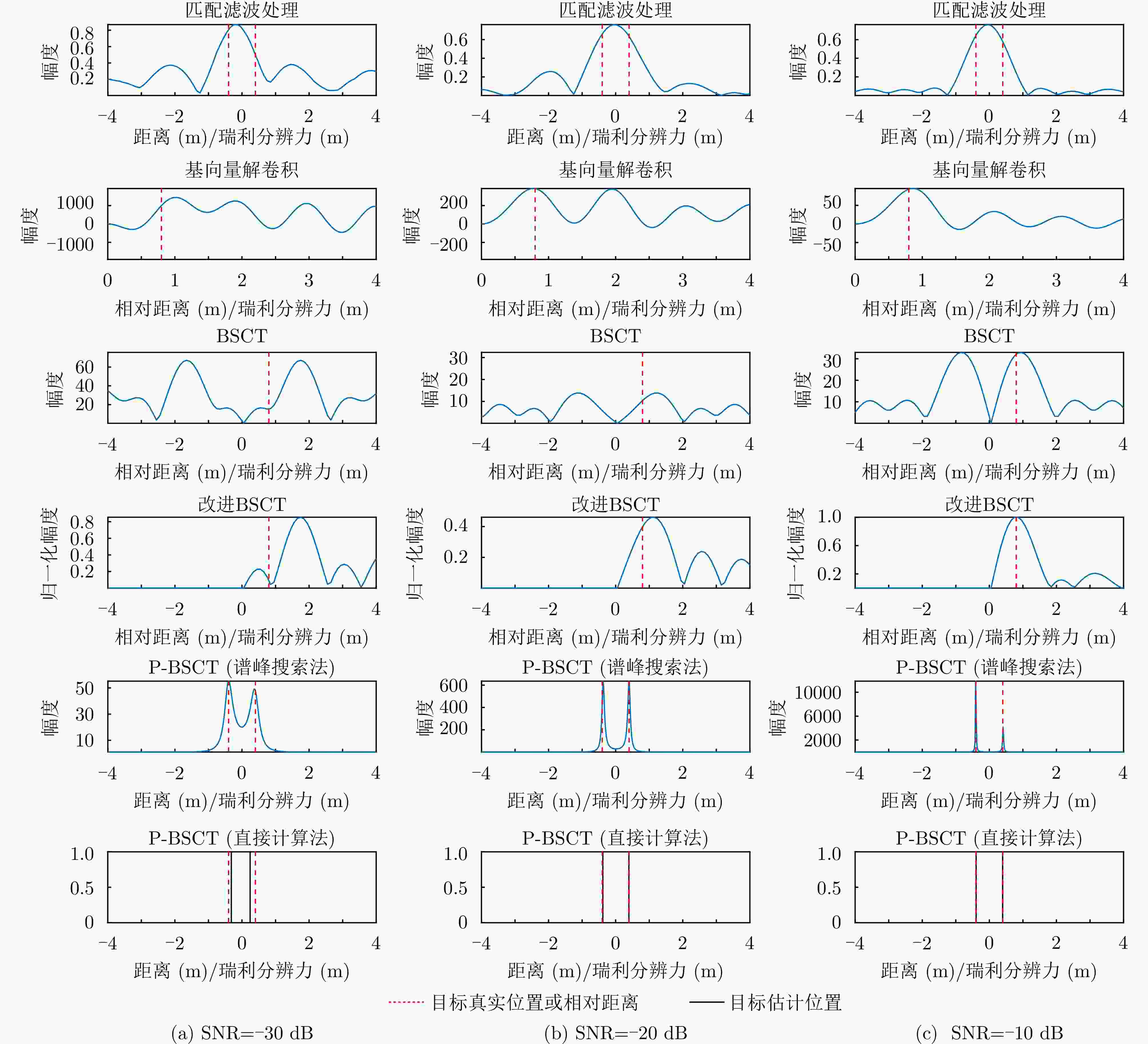
    图  3  两目标条件下不同算法在不同相对距离时的分辨效果

    Figure  3.  Resolution effects of different algorithms at various relative distances under two-target condition

    图  4  算法分辨力对比

    Figure  4.  Comparison of resolution among several algorithms

    图  5  无噪声下6种算法对多目标的分辨效果对比

    Figure  5.  Comparison of multi-target resolution effects of 6 algorithms under no-noise condition

    图  6  无噪声下P-BSCT和Single-snap MUSIC多目标场景的分辨效果对比

    Figure  6.  Comparison of resolution effects of P-BSCT and Single-snap MUSIC in multi-target scenarios under no-noise condition

    图  7  两目标条件下噪声对4种仿生超分辨算法分辨效果的影响

    Figure  7.  Influence of noise on resolution effects of 4 bionic super-resolution algorithms under two-target condition

    图  8  多目标场景下噪声对P-BSCT和Single-snap MUSIC分辨效果的影响

    Figure  8.  Influence of noise on resolution effects of P-BSCT and Single-snap MUSIC in multi-target scenarios

    图  9  相干脉冲数对分辨效果的影响

    Figure  9.  Influence of coherent pulse number on resolution effect

    图  10  极化测量误差随相干脉冲数变化曲线

    Figure  10.  Curve of polarization measurement error variation with coherent pulse number

    图  11  探究旋转变极化对分辨效果提升的作用

    Figure  11.  Investigation on the role of rotating variable polarization in improving resolution effect

    图  12  信号形式对P-BSCT和Single-snap MUSIC分辨效果的影响

    Figure  12.  Influence of signal forms on resolution effects of P-BSCT and Single-snap MUSIC

    图  13  运动扩展目标下P-BSCT速度估计与超分辨效果

    Figure  13.  Velocity estimation and super-resolution effect of P-BSCT for moving extended targets

    图  14  目标PSM相同与否对P-BSCT分辨效果的影响

    Figure  14.  Influence of whether target PSMs are identical or not on resolution effect of P-BSCT

    图  15  目标PSM不同与相同时P-BSCT的极化测量误差随SNR变化曲线

    Figure  15.  Curves of polarization measurement error of P-BSCT varied with SNR when target PSMs are different or identical

    图  16  信噪比对极化测量误差的影响

    Figure  16.  Influence of SNR on polarization measurement error

    图  17  分辨单元内P-BSCT的分辨效果与目标个数、目标间距和信噪比的关系

    Figure  17.  Relationship between resolution effect of P-BSCT in resolution cell and number of targets, target spacing, and SNR

    图  18  极化测量误差随极化角度误差变化曲线

    Figure  18.  Curve of polarization measurement error variation with polarization angle error

    图  19  极化测量误差随速度估计误差变化曲线

    Figure  19.  Curve of polarization measurement error variation with velocity estimation error

    表  1  仿真参数设置

    Table  1.   Simulation parameter settings

    参数数值
    载频600 MHz
    带宽200 MHz
    脉宽2 μs
    脉冲重复间隔(PRI)0.5 ms
    天线旋转速度1666.7 r/min
    天线初始角度
    脉冲个数72
    耳蜗滤波器组数目81
    下载: 导出CSV

    表  2  无噪声下P-BSCT算法对4个目标PSM的测量结果

    Table  2.   Measurement results of PSM for 4 targets using P-BSCT algorithm under no-noise condition

    目标 真实值 测量值 测量误差(%) 平均测量误差(%)
    目标1 $\left[ {\begin{array}{*{20}{c}} {1.00 + 0.00{\text{i}}}&{0.00 + 0.00{\text{i}}} \\ {0.00 + 0.00{\text{i}}}&{ - 1.00 + 0.00{\text{i}}} \end{array}} \right]$ $\left[ {\begin{array}{*{20}{c}} {0.99 + 0.14{\text{i}}}&{0.00 + 0.00{\text{i}}} \\ {0.00 + 0.00{\text{i}}}&{ - 0.99 - 0.14{\text{i}}} \end{array}} \right]$ 0 2.22
    目标2 $\left[ {\begin{array}{*{20}{c}} {0.50 + 0.00{\text{i}}}&{0.00 + 0.50{\text{i}}} \\ {0.00 + 0.50{\text{i}}}&{0.50 + 0.00{\text{i}}} \end{array}} \right]$ $\left[ {\begin{array}{*{20}{c}} {0.51 + 0.06{\text{i}}}&{ - 0.07 + 0.49{\text{i}}} \\ { - 0.07 + 0.49{\text{i}}}&{0.50 + 0.08{\text{i}}} \end{array}} \right]$ 3.56
    目标3 $\left[ {\begin{array}{*{20}{c}} {0.75 + 0.00{\text{i}}}&{0.43 + 0.00{\text{i}}} \\ {0.43 + 0.00{\text{i}}}&{0.25 + 0.00{\text{i}}} \end{array}} \right]$ $\left[ {\begin{array}{*{20}{c}} {0.76 - 0.10{\text{i}}}&{0.42 - 0.06{\text{i}}} \\ {0.42 - 0.06{\text{i}}}&{0.25 - 0.02{\text{i}}} \end{array}} \right]$ 2.54
    目标4 $\left[ {\begin{array}{*{20}{c}} {1.00 + 0.00{\text{i}}}&{0.15 + 0.00{\text{i}}} \\ {0.15 + 0.00{\text{i}}}&{0.73 + 0.53{\text{i}}} \end{array}} \right]$ $\left[ {\begin{array}{*{20}{c}} {1.00 - 0.14{\text{i}}}&{0.14 - 0.02{\text{i}}} \\ {0.14 - 0.02{\text{i}}}&{0.80 + 0.43{\text{i}}} \end{array}} \right]$ 0.78
    下载: 导出CSV

    表  3  无噪声下Single-snap MUSIC算法对4个目标PSM的测量结果

    Table  3.   Measurement results of PSM for 4 targets using Single-snap MUSIC algorithm under no-noise condition

    目标 真实值 测量值 测量误差(%) 平均测量误差(%)
    目标1 $\left[ {\begin{array}{*{20}{c}} {1.00 + 0.00{\text{i}}}&{0.00 + 0.00{\text{i}}} \\ {0.00 + 0.00{\text{i}}}&{ - 1.00 + 0.00{\text{i}}} \end{array}} \right]$ $\left[ {\begin{array}{*{20}{c}} {1.00 + 0.00{\text{i}}}&{0.01 - 0.00{\text{i}}} \\ {0.01 - 0.00{\text{i}}}&{ - 0.99 - 0.02{\text{i}}} \end{array}} \right]$ 1.73 4.13
    目标2 $\left[ {\begin{array}{*{20}{c}} {0.50 + 0.00{\text{i}}}&{0.00 + 0.50{\text{i}}} \\ {0.00 + 0.50{\text{i}}}&{0.50 + 0.00{\text{i}}} \end{array}} \right]$ $\left[ {\begin{array}{*{20}{c}} {0.50 + 0.00{\text{i}}}&{ - 0.01 + 0.48{\text{i}}} \\ { - 0.01 + 0.48{\text{i}}}&{0.49 - 0.01{\text{i}}} \end{array}} \right]$ 3.06
    目标3 $\left[ {\begin{array}{*{20}{c}} {0.75 + 0.00{\text{i}}}&{0.43 + 0.00{\text{i}}} \\ {0.43 + 0.00{\text{i}}}&{0.25 + 0.00{\text{i}}} \end{array}} \right]$ $\left[ {\begin{array}{*{20}{c}} {0.75 + 0.00{\text{i}}}&{0.47 + 0.02{\text{i}}} \\ {0.47 + 0.02{\text{i}}}&{0.27 - 0.05{\text{i}}} \end{array}} \right]$ 7.58
    目标4 $\left[ {\begin{array}{*{20}{c}} {1.00 + 0.00{\text{i}}}&{0.15 + 0.00{\text{i}}} \\ {0.15 + 0.00{\text{i}}}&{0.73 + 0.53{\text{i}}} \end{array}} \right]$ $\left[ {\begin{array}{*{20}{c}} {1.00 + 0.00{\text{i}}}&{0.13 + 0.01{\text{i}}} \\ {0.13 + 0.01{\text{i}}}&{0.78 + 0.53{\text{i}}} \end{array}} \right]$ 4.17
    下载: 导出CSV

    表  4  运动扩展目标下P-BSCT算法对4个目标PSM的测量结果

    Table  4.   Measurement results of PSM for 4 targets using P-BSCT algorithm under moving extended targets condition

    目标 真实值 测量值 测量误差(%) 平均测量误差(%)
    目标1 $\left[ {\begin{array}{*{20}{c}} {1.00 + 0.00{\text{i}}}&{0.00 + 0.00{\text{i}}} \\ {0.00 + 0.00{\text{i}}}&{ - 1.00 + 0.00{\text{i}}} \end{array}} \right]$ $\left[ {\begin{array}{*{20}{c}} {0.98 - 0.10{\text{i}}}&{0.00 - 0.00{\text{i}}} \\ {0.00 - 0.00{\text{i}}}&{ - 0.99 + 0.10{\text{i}}} \end{array}} \right]$ 0.72 0.81
    目标2 $\left[ {\begin{array}{*{20}{c}} {0.50 + 0.00{\text{i}}}&{0.00 + 0.50{\text{i}}} \\ {0.00 + 0.50{\text{i}}}&{0.50 + 0.00{\text{i}}} \end{array}} \right]$ $\left[ {\begin{array}{*{20}{c}} {0.49 - 0.06{\text{i}}}&{0.05 + 0.49{\text{i}}} \\ {0.05 + 0.49{\text{i}}}&{0.50 - 0.06{\text{i}}} \end{array}} \right]$ 1.65
    目标3 $\left[ {\begin{array}{*{20}{c}} {0.75 + 0.00{\text{i}}}&{0.43 + 0.00{\text{i}}} \\ {0.43 + 0.00{\text{i}}}&{0.25 + 0.00{\text{i}}} \end{array}} \right]$ $\left[ {\begin{array}{*{20}{c}} {0.73 + 0.09{\text{i}}}&{0.42 + 0.05{\text{i}}} \\ {0.42 + 0.05{\text{i}}}&{0.24 + 0.03{\text{i}}} \end{array}} \right]$ 0.47
    目标4 $\left[ {\begin{array}{*{20}{c}} {1.00 + 0.00{\text{i}}}&{0.15 + 0.00{\text{i}}} \\ {0.15 + 0.00{\text{i}}}&{0.73 + 0.53{\text{i}}} \end{array}} \right]$ $\left[ {\begin{array}{*{20}{c}} {0.98 + 0.12{\text{i}}}&{0.15 + 0.02{\text{i}}} \\ {0.15 + 0.02{\text{i}}}&{0.65 + 0.61{\text{i}}} \end{array}} \right]$ 0.41
    下载: 导出CSV

    表  5  分辨单元内P-BSCT的分辨力与SNR和目标个数的关系

    Table  5.   Relationship between resolution of P-BSCT in a resolution cell and SNR, number of targets

    目标个数 SNR (dB)
    –20 –10 0 10 20 30 40
    2 0.85 0.37 0.18 0.06 0.04 0.03 0.03
    3 \ \ 0.44 0.39 0.36 0.18 0.16
    4 \ \ \ \ 0.31 0.29 0.20
    5 \ \ \ \ \ 0.22 0.16
    注:表格中数据为归一化分辨力:分辨力(m)/瑞利分辨力(m)。
    斜线表示:在分辨单元内的目标个数和SNR满足当前条件下,无论目标间隔多大,都无法稳健分辨。
    下载: 导出CSV

    表  6  4种仿生超分辨方法性能对比

    Table  6.   Performance comparison of four bionic super-resolution methods

    信号处理方法 分辨力(m) /
    瑞利分辨力(m)
    是否适用于
    多目标场景
    抗噪声能力
    匹配滤波 ≈1.4
    基向量解卷积 ≈0.5
    BSCT ≈0.9
    改进BSCT ≈0.6
    P-BSCT (谱峰搜索法) ≈0.03
    P-BSCT (直接计算法) <0.03 较强
    下载: 导出CSV

    表  7  P-BSCT与Single-snap MUSIC性能对比

    Table  7.   Performance comparison between P-BSCT and Single-snap MUSIC

    评价项目P-BSCTSingle-snap MUSIC
    抗噪声性能较强
    分辨与极化测量精度较高较低
    是否依赖信号形式
    是否适用于运动目标
    下载: 导出CSV
  • [1] HEISENBERG W. Über den anschaulichen Inhalt der quantentheoretischen Kinematik und Mechanik[J]. Zeitschrift für Physik, 1927, 43(3): 172–198. doi: 10.1007/BF01397280.
    [2] GABOR D. Theory of communication. Part 1: The analysis of information[J]. Journal of the Institution of Electrical Engineers-Part III: Radio and Communication Engineering, 1946, 93(26): 429–441. doi: 10.1049/ji-3-2.1946.0074.
    [3] FOLLAND G B and SITARAM A. The uncertainty principle: A mathematical survey[J]. Journal of Fourier Analysis and Applications, 1997, 3(3): 207–238. doi: 10.1007/BF02649110.
    [4] NAMIAS V. The fractional order Fourier transform and its application to quantum mechanics[J]. IMA Journal of Applied Mathematics, 1980, 25(3): 241–265. doi: 10.1093/imamat/25.3.241.
    [5] ALMEIDA L B. The fractional Fourier transform and time-frequency representations[J]. IEEE Transactions on Signal Processing, 1994, 42(11): 3084–3091. doi: 10.1109/78.330368.
    [6] MOSHINSKY M and QUESNE C. Linear canonical transformations and their unitary representations[J]. Journal of Mathematical Physics, 1971, 12(8): 1772–1780. doi: 10.1063/1.1665805.
    [7] DAUBECHIES I. The wavelet transform, time-frequency localization and signal analysis[J]. IEEE Transactions on Information Theory, 1990, 36(5): 961–1005. doi: 10.1109/18.57199.
    [8] ELAD M and BRUCKSTEIN A M. A generalized uncertainty principle and sparse representation in pairs of bases[J]. IEEE Transactions on Information Theory, 2002, 48(9): 2558–2567. doi: 10.1109/TIT.2002.801410.
    [9] DONOHO D L and STARK P B. Uncertainty principles and signal recovery[J]. SIAM Journal on Applied Mathematics, 1989, 49(3): 906–931. doi: 10.1137/0149053.
    [10] KUMARESAN R and TUFTS D. Estimating the parameters of exponentially damped sinusoids and pole-zero modeling in noise[J]. IEEE Transactions on Acoustics, Speech, and Signal Processing, 1982, 30(6): 833–840. doi: 10.1109/TASSP.1982.1163974.
    [11] STOICA P and SELEN Y. Model-order selection: A review of information criterion rules[J]. IEEE Signal Processing Magazine, 2004, 21(4): 36–47. doi: 10.1109/MSP.2004.1311138.
    [12] 倪晋麟, 储晓彬, 林幼权. 基于去卷积距离超分辨方法的机理及限制条件[J]. 系统工程与电子技术, 2000, 22(3): 62–64. doi: 10.3321/j.issn:1001-506X.2000.03.019.

    NI Jinlin, CHU Xiaobin, and LIN Youquan. The principle and limitation of the range super-resolution algorithms based on deconvolution[J]. Systems Engineering and Electronics, 2000, 22(3): 62–64. doi: 10.3321/j.issn:1001-506X.2000.03.019.
    [13] 王永良. 空间谱估计理论与算法[M]. 北京: 清华大学出版社, 2004: 18–52, 306–336.

    WANG Yongliang. Space Spectral Estimation Theory and Algorithms[M]. Beijing: Tsinghua University Press, 2004: 18–52, 306–336.
    [14] 郑昱. 复杂相关信号的DOA估计方法研究[D]. [博士论文], 哈尔滨工程大学, 2021. doi: 10.27060/d.cnki.ghbcu.2021.002074.

    ZHENG Yu. Research on DOA estimation methods for complicated correlated signals[D]. [Ph.D. dissertation], Harbin Engineering University, 2021. doi: 10.27060/d.cnki.ghbcu.2021.002074.
    [15] KIM K T, SEO D K, and KIM H T. Efficient radar target recognition using the MUSIC algorithm and invariant features[J]. IEEE Transactions on Antennas and Propagation, 2002, 50(3): 325–337. doi: 10.1109/8.999623.
    [16] 代大海, 王雪松, 肖顺平, 等. 全极化散射中心提取与参数估计: P-MUSIC方法[J]. 信号处理, 2007, 23(6): 818–822. doi: 10.3969/j.issn.1003-0530.2007.06.005.

    DAI Dahai, WANG Xuesong, XIAO Shunping, et al. Fully polarized scattering center extraction and parameter estimation: P-MUSIC algorithm[J]. Journal of Signal Processing, 2007, 23(6): 818–822. doi: 10.3969/j.issn.1003-0530.2007.06.005.
    [17] LI Liang, ZHANG Xiaoling, SHI Jun, et al. Range direction focusing method based on single-snap MUSIC for SAR imaging[C]. 2018 IEEE Radar Conference, Oklahoma City, USA, 2018: 1195–1200. doi: 10.1109/RADAR.2018.8378732.
    [18] KONG Lingyu, HE Xiaoyu, and XU Xiaojian. A fully-polarized unitary MUSIC for polarimetric SAR tomography[C]. 2019 International Conference on Electromagnetics in Advanced Applications, Granada, Spain, 2019: 0964–0967. doi: 10.1109/ICEAA.2019.8879343.
    [19] SCHMIDT R. Multiple emitter location and signal parameter estimation[J]. IEEE Transactions on Antennas and Propagation, 1986, 34(3): 276–280. doi: 10.1109/TAP.1986.1143830.
    [20] ROY R and KAILATH T. ESPRIT-estimation of signal parameters via rotational invariance techniques[J]. IEEE Transactions on Acoustics, Speech, and Signal Processing, 1989, 37(7): 984–995. doi: 10.1109/29.32276.
    [21] DAI Dahai, WANG Xuesong, CHANG Yuliang, et al. Fully-polarized scattering center extraction and parameter estimation: P-ESPRIT algorithm[C]. 2006 CIE International Conference on Radar, Shanghai, China, 2006: 1–4. doi: 10.1109/ICR.2006.343293.
    [22] DING Shanshan, TONG Ningning, ZHANG Yongshun, et al. Super-resolution 3D imaging in MIMO radar using spectrum estimation theory[J]. IET Radar, Sonar & Navigation, 2017, 11(2): 304–312. doi: 10.1049/iet-rsn.2016.0233.
    [23] 陈希信. 基于LFM信号频域去斜和压缩感知的雷达距离超分辨[J]. 现代雷达, 2022, 44(12): 70–73. doi: 10.16592/j.cnki.1004-7859.2022.12.010.

    CHEN Xixin. Radar range super-resolution based on LFM frequency dechirp and compressive sensing[J]. Modern Radar, 2022, 44(12): 70–73. doi: 10.16592/j.cnki.1004-7859.2022.12.010.
    [24] WEI Shunjun, ZHOU Zichen, WANG Mou, et al. 3DRIED: A high-resolution 3-D millimeter-wave radar dataset dedicated to imaging and evaluation[J]. Remote Sensing, 2021, 13(17): 3366. doi: 10.3390/rs13173366.
    [25] 康乐, 张群, 李涛泳, 等. 基于贝叶斯学习的下视三维合成孔径雷达成像方法[J]. 光学学报, 2017, 37(6): 0611003. doi: 10.3788/AOS201737.0611003.

    KANG Le, ZHANG Qun, LI Taoyong, et al. Imaging method of downward-looking three-dimensional synthetic aperture radar based on Bayesian learning[J]. Acta Optica Sinica, 2017, 37(6): 0611003. doi: 10.3788/AOS201737.0611003.
    [26] SIMMONS J A, FERRAGAMO M, MOSS C F, et al. Discrimination of jittered sonar echoes by the echolocating bat, Eptesicus fuscus: The shape of target images in echolocation[J]. Journal of Comparative Physiology A, 1990, 167(5): 589–616. doi: 10.1007/BF00192654.
    [27] SIMMONS J A, SAILLANT P A, WOTTON J M, et al. Composition of biosonar images for target recognition by echolocating bats[J]. Neural Networks, 1995, 8(7/8): 1239–1261. doi: 10.1016/0893-6080(95)00059-3.
    [28] SCHMIDT S. Perception of structured phantom targets in the echolocating bat, Megaderma lyra[J]. The Journal of the Acoustical Society of America, 1992, 91(4): 2203–2223. doi: 10.1121/1.403654.
    [29] 成彬彬. 自适应雷达波形的仿生处理研究[D]. [博士论文], 清华大学, 2009.

    CHENG Binbin. Research on bionic processing for auto-adaptive radar waveform[D]. [Ph.D. dissertation], Tsinghua University, 2009.
    [30] 杨琳. 镫骨、耳蜗及其Corti器的建模与生物力学研究[D]. [博士论文], 复旦大学, 2009: 17–34. doi: 10.7666/d.y1970550.

    YANG Lin. Modeling and biomechanical analysis of the stapes, cochlea and organ of Corti[D]. [Ph.D. dissertation], Fudan University, 2009: 17–34. doi: 10.7666/d.y1970550.
    [31] 秦晓瑜. 基于听觉仿生的听觉谱生成方法研究[D]. [硕士论文], 东北师范大学, 2013: 1–18.

    QIN Xiaoyu. Study on the generation method of auditory spectrum based on auditory bionics[D]. [Master dissertation], Northeast Normal University, 2013: 1–18.
    [32] BALLERI A, GRIFFITHS H, and BAKER C. Biologically-Inspired Radar and Sonar: Lessons from Nature[M]. Edison: SciTech Publishing, 2017: 1–81.
    [33] CHI T, RU Powen, and SHAMMA S A. Multiresolution spectrotemporal analysis of complex sounds[J]. The Journal of the Acoustical Society of America, 2005, 118(2): 887–906. doi: 10.1121/1.1945807.
    [34] VANDERELST D, STECKEL J, BOEN A, et al. Place recognition using batlike sonar[J]. eLife, 2016, 5: e14188. doi: 10.7554/eLife.14188.
    [35] CIGANOVIĆ N, WARREN R L, KEÇELI B, et al. Static length changes of cochlear outer hair cells can tune low-frequency hearing[J]. PLoS Computational Biology, 2018, 14(1): e1005936. doi: 10.1371/journal.pcbi.1005936.
    [36] HOLDERIED M W, BAKER C J, VESPE M, et al. Understanding signal design during the pursuit of aerial insects by echolocating bats: Tools and applications[J]. Integrative and Comparative Biology, 2008, 48(1): 74–84. doi: 10.1093/icb/icn035.
    [37] SAILLANT P A, SIMMONS J A, DEAR S P, et al. A computational model of echo processing and acoustic imaging in frequency-modulated echolocating bats: The spectrogram correlation and transformation receiver[J]. The Journal of the Acoustical Society of America, 1993, 94(5): 2691–2712. doi: 10.1121/1.407353.
    [38] SIMMONS J A, SAILLANT P A, FERRAGAMO M J, et al. Auditory Computations for Biosonar Target Imaging in Bats[M]. HAWKINS H L, MCMULLEN T A, POPPER A N, et al. Auditory Computation. New York: Springer, 1996: 401–468. doi: 10.1007/978-1-4612-4070-9_9.
    [39] PEREMANS H and HALLAM J. The spectrogram correlation and transformation receiver, revisited[J]. The Journal of the Acoustical Society of America, 1998, 104(2): 1101–1110. doi: 10.1121/1.423326.
    [40] MATSUO I, KUNUGIYAMA K, and YANO M. An echolocation model for range discrimination of multiple closely spaced objects: Transformation of spectrogram into the reflected intensity distribution[J]. The Journal of the Acoustical Society of America, 2004, 115(2): 920–928. doi: 10.1121/1.1642626.
    [41] MATSUO I and YANO M. An echolocation model for the restoration of an acoustic image from a single-emission echo[J]. The Journal of the Acoustical Society of America, 2004, 116(6): 3782–3788. doi: 10.1121/1.1811411.
    [42] WIEGREBE L. An autocorrelation model of bat sonar[J]. Biological Cyber-Netics, 2008, 98(6): 587–595. doi: 10.1007/s00422-008-0216-2.
    [43] PARK M and ALLEN R. Pattern-matching analysis of fine echo delays by the spectrogram correlation and transformation receiver[J]. The Journal of the Acoustical Society of America, 2010, 128(3): 1490–1500. doi: 10.1121/1.3466844.
    [44] SIMON R, KNÖRNSCHILD M, TSCHAPKA M, et al. Biosonar resolving power: Echo-acoustic perception of surface structures in the submillimeter range[J]. Frontiers in Physiology, 2014, 5: 64. doi: 10.3389/fphys.2014.00064.
    [45] 苏梦娜, 梁红, 杨长生. 基于SCAT模型的水下多目标高分辨仿生成像方法[J]. 水下无人系统学报, 2019, 27(2): 189–193. doi: 10.11993/j.issn.2096-1509.2019.02.010.

    SU Mengna, LIANG Hong, and YANG Changsheng. Bionic imaging of underwater multiple targets with high resolution based on SCAT model[J]. Journal of Unmanned Undersea Systems, 2019, 27(2): 189–193. doi: 10.11993/j.issn.2096-1509.2019.02.010.
    [46] CHEN Ming, BATES M E, and SIMMONS J A. How frequency hopping suppresses pulse-echo ambiguity in bat biosonar[J]. Proceedings of the National Academy of Sciences of the United States of America, 2020, 117(29): 17288–17295. doi: 10.1073/pnas.2001105117.
    [47] CHEN Ming, HARO S, SIMMONS A M, et al. A comprehensive computational model of animal biosonar signal processing[J]. PLoS Computational Biology, 2021, 17(2): e1008677. doi: 10.1371/journal.pcbi.1008677.
    [48] GEORGIEV K, BALLERI A, STOVE A, et al. Baseband version of the bat-inspired spectrogram correlation and transformation receiver[C]. 2016 IEEE Radar Conference, Philadelphia, USA, 2016: 1–6. doi: 10.1109/RADAR.2016.7485152.
    [49] GEORGIEV K, BALLERI A, STOVE A, et al. Bio-inspired two target resolution at radio frequencies[C]. 2017 IEEE Radar Conference, Seattle, USA, 2017: 0436–0440. doi: 10.1109/RADAR.2017.7944242.
    [50] GEORGIEV K, BALLERI A, STOVE A, et al. Bio-inspired processing of radar target echoes[J]. IET Radar, Sonar & Navigation, 2018, 12(12): 1402–1409. doi: 10.1049/iet-rsn.2018.5241.
    [51] GEORGIEV K. Exploiting the phase of a bio-inspired receiver[C]. 2021 IEEE Radar Conference, Atlanta, USA, 2021: 1–6. doi: 10.1109/RadarConf2147009.2021.9454987.
    [52] 王博弘, 申彪, 穆文星, 等. 基于蝙蝠谱相关及变换模型的雷达目标超分辨方法研究[J]. 雷达学报(中英文), 2025, 14(2): 293–308. doi: 10.12000/JR24239.

    WANG Bohong, SHEN Biao, MU Wenxing, et al. Research on super-resolution methods for radar targets based on bat-inspired spectrogram correlation and transformation models[J]. Journal of Radars, 2025, 14(2): 293–308. doi: 10.12000/JR24239.
    [53] 赵春雷, 王亚梁, 阳云龙, 等. 雷达极化信息获取及极化信号处理技术研究综述[J]. 雷达学报, 2016, 5(6): 620–638. doi: 10.12000/JR16092.

    ZHAO Chunlei, WANG Yaliang, YANG Yunlong, et al. Review of radar polarization information acquisition and polarimetric signal processing techniques[J]. Journal of Radars, 2016, 5(6): 620–638. doi: 10.12000/JR16092.
    [54] 邢孟道, 谢意远, 高悦欣, 等. 电磁散射特征提取与成像识别算法综述[J]. 雷达学报, 2022, 11(6): 921–942. doi: 10.12000/JR22232.

    XING Mengdao, XIE Yiyuan, GAO Yuexin, et al. Electromagnetic scattering characteristic extraction and imaging recognition algorithm: A review[J]. Journal of Radars, 2022, 11(6): 921–942. doi: 10.12000/JR22232.
    [55] 韩静雯, 杨勇, 连静, 等. 基于极化与距离像特征融合的雷达导引头角反射器鉴别方法[J]. 系统工程与电子技术, 2024, 46(11): 3658–3670. doi: 10.12305/j.issn.1001-506X.2024.11.08.

    HAN Jingwen, YANG Yong, LIAN Jing, et al. Identification method of corner reflector based on polarization and HRRP feature fusion for radar seeker[J]. Systems Engineering and Electronics, 2024, 46(11): 3658–3670. doi: 10.12305/j.issn.1001-506X.2024.11.08.
    [56] LIU Tao, YANG Ziyuan, GAO Gui, et al. A general framework of polarimetric detectors based on quadratic optimization[J]. IEEE Transactions on Geoscience and Remote Sensing, 2022, 60: 5237418. doi: 10.1109/TGRS.2022.3217336.
    [57] LIU Tao, ZHANG Jiafeng, GAO Gui, et al. CFAR ship detection in polarimetric synthetic aperture radar images based on whitening filter[J]. IEEE Transactions on Geoscience and Remote Sensing, 2020, 58(1): 58–81. doi: 10.1109/TGRS.2019.2931353.
    [58] WANG Luoshengbin, XU Zhenhai, DONG Wei, et al. A scheme of polarimetric superresolution for multitarget detection and localization[J]. IEEE Signal Processing Letters, 2021, 28: 439–443. doi: 10.1109/LSP.2021.3058007.
    [59] 王罗胜斌, 王雪松, 徐振海. 雷达极化域调控超分辨的原理与方法[J]. 中国科学: 信息科学, 2023, 53(5): 993–1007. doi: 10.1360/SSI-2022-0141.

    WANG Luoshengbin, WANG Xuesong, and XU Zhenhai. Principle and approach to polarization modulation for radar super-resolution[J]. SCIENTIA SINICA Informationis, 2023, 53(5): 993–1007. doi: 10.1360/SSI-2022-0141.
    [60] HUYNEN J R. Measurement of the target scattering matrix[J]. Proceedings of the IEEE, 1965, 53(8): 936–946. doi: 10.1109/PROC.1965.4072.
    [61] GIULI D, FOSSI M, and FACHERIS L. Radar target scattering matrix measurement through orthogonal signals[J]. IEE Proceedings F (Radar and Signal Processing), 1993, 140(4): 233–242. doi: 10.1049/ip-f-2.1993.0033.
    [62] GIULI D, FACHERIS L, FOSSI M, et al. Simultaneous scattering matrix measurement through signal coding[C]. IEEE International Conference on Radar, Arlington, USA, 1990: 258–262. doi: 10.1109/RADAR.1990.201173.
    [63] WANG Xuesong, LI Yongzhen, DAI Huanyao, et al. Research on instantaneous polarization radar system and external experiment[J]. Chinese Science Bulletin, 2010, 55(15): 1560–1567. doi: 10.1007/s11434-010-3102-y.
    [64] SANTALLA V and ANTAR Y M M. A comparison between different polarimetric measurement schemes[J]. IEEE Transactions on Geoscience and Remote Sensing, 2002, 40(5): 1007–1017. doi: 10.1109/TGRS.2002.1010888.
    [65] WANG Fulai, LI Chao, PANG Chen, et al. A method for estimating the polarimetric scattering matrix of moving target for simultaneous fully polarimetric radar[J]. Sensors, 2018, 18(5): 1418. doi: 10.3390/s18051418.
    [66] SOUYRIS J C, IMBO P, FJØRTOFT R, et al. Compact polarimetry based on symmetry properties of geophysical media: The π/4 mode[J]. IEEE Transactions on Geoscience and Remote Sensing, 2005, 43(3): 634–646. doi: 10.1109/TGRS.2004.842486.
    [67] SIMMONS A J. Phase shift by periodic loading of waveguide and its application to broad-band circular polarization[J]. IEEE Transactions on Microwave Theory and Techniques, 1955, 3(6): 18–21. doi: 10.1109/TMTT.1955.1124986.
    [68] BERTIN G, PIOVANO B, ACCATINO L, et al. Full-wave design and optimization of circular waveguide polarizers with elliptical irises[J]. IEEE Transactions on Microwave Theory and Techniques, 2002, 50(4): 1077–1083. doi: 10.1109/22.993409.
    [69] WU Tekao. Meander-line polarizer for arbitrary rotation of linear polarization[J]. IEEE Microwave and Guided Wave Letters, 1994, 4(6): 199–201. doi: 10.1109/75.294292.
    [70] ANG T W and CHAN K K. A broadband wide angle variable linear polarization rotator[C]. 2013 IEEE Antennas and Propagation Society International Symposium (APSURSI), Orlando, USA, 2013: 2229–2230. doi: 10.1109/APS.2013.6711773.
    [71] GUO Lu, TAN P K, and CHIO T H. A simple method to realize polarization diversity in broadband reflectarrays using single-layered rectangular patch elements[C]. 2015 IEEE International Symposium on Antennas and Propagation & USNC/URSI National Radio Science Meeting, Vancouver, Canada, 2015: 2161–2162. doi: 10.1109/APS.2015.7305469.
    [72] LI Yongjiu and LI Long. Polarization diversity converter based on multilayer frequency selective surfaces[C]. 2015 IEEE International Symposium on Antennas and Propagation & USNC/URSI National Radio Science Meeting, Vancouver, Canada, 2015: 2401–2402. doi: 10.1109/APS.2015.7305589.
    [73] QIN Nan and GUO Lu. On the use of metallic polarization conversion element with continuous 360° phase for high- efficiency all-metal planar folded reflectarrays[J]. IEEE Antennas and Wireless Propagation Letters, 2024, 23(6): 1859–1863. doi: 10.1109/LAWP.2024.3371591.
    [74] SHEN Biao, LIU Tao, GAO Gui, et al. A low-cost polarimetric radar system based on mechanical rotation and its signal processing[J]. IEEE Transactions on Aerospace and Electronic Systems, 2025, 61(2): 4744–4765. doi: 10.1109/TAES.2024.3507776.
    [75] SHEN Biao, LIU Tao, LIU Weijian, et al. Polarimetric measurement methods for mechanical rotation polarimetric radar system in multiple-target scenarios[J]. IEEE Transactions on Aerospace and Electronic Systems, in press. doi: 10.1109/TAES.2025.3580390.
    [76] WILLIAMS R T, PRASAD S, MAHALANABIS A K, et al. An improved spatial smoothing technique for bearing estimation in a multipath environment[J]. IEEE Transactions on Acoustics, Speech, and Signal Processing, 1988, 36(4): 425–432. doi: 10.1109/29.1546.
  • 加载中
图(19) / 表(7)
计量
  • 文章访问数: 
  • HTML全文浏览量: 
  • PDF下载量: 
  • 被引次数: 0
出版历程
  • 收稿日期:  2025-06-19
  • 修回日期:  2025-08-22
  • 网络出版日期:  2025-09-11
  • 刊出日期:  2026-04-28

目录

    /

    返回文章
    返回