加权广义逆高斯杂波下距离扩展目标的自适应检测

徐震宇 刘维建 陈小龙 陈辉 杜庆磊 李槟槟 周必雷

徐震宇, 刘维建, 陈小龙, 等. 加权广义逆高斯杂波下距离扩展目标的自适应检测[J]. 雷达学报(中英文), 2025, 14(6): 1393–1410. doi: 10.12000/JR25072
引用本文: 徐震宇, 刘维建, 陈小龙, 等. 加权广义逆高斯杂波下距离扩展目标的自适应检测[J]. 雷达学报(中英文), 2025, 14(6): 1393–1410. doi: 10.12000/JR25072
XU Zhenyu, LIU Weijian, CHEN Xiaolong, et al. Adaptive detection of range-distributed targets in weighted generalized inverse Gaussian clutter[J]. Journal of Radars, 2025, 14(6): 1393–1410. doi: 10.12000/JR25072
Citation: XU Zhenyu, LIU Weijian, CHEN Xiaolong, et al. Adaptive detection of range-distributed targets in weighted generalized inverse Gaussian clutter[J]. Journal of Radars, 2025, 14(6): 1393–1410. doi: 10.12000/JR25072

加权广义逆高斯杂波下距离扩展目标的自适应检测

DOI: 10.12000/JR25072 CSTR: 32380.14.JR25072
基金项目: 国家自然科学基金(62471485, 62071482, 62222120),湖北省自然科学基金(2025AFB873)
详细信息
    作者简介:

    徐震宇,硕士生,主要研究方向为多通道信号检测、空时自适应处理

    刘维建,博士,副教授,主要研究方向为多通道信号检测、统计和阵列信号处理

    陈小龙,博士,教授,主要研究方向为雷达低慢小目标检测、海杂波抑制、雷达智能信号处理等

    陈 辉,博士,教授,主要研究方向为阵列信号处理、雷达抗干扰技术和新体制雷达

    杜庆磊,博士,副教授,主要研究方向为雷达目标探测、识别和数字图像处理

    李槟槟,博士,副教授,主要研究方向为极化敏感阵列信号处理和雷达抗干扰技术

    周必雷,博士,讲师,主要研究方向为雷达信号处理和阵列信号处理

    通讯作者:

    刘维建 liuvjian@163.com

    责任主编:许述文 Corresponding Editor: XU Shuwen

    11) 在理论推导部分,本文假设加权广义逆高斯分布的参数已知,并在仿真数据实验中基于已知参数生成杂波数据。然而,在实测数据实验中,杂波所对应的加权广义逆高斯分布参数是未知的。针对这一问题,4.2节提出了一种加权广义逆高斯分布参数估计方法。

  • 中图分类号: TN957.51

Adaptive Detection of Range-distributed Targets in Weighted Generalized Inverse Gaussian Clutter

Funds: The National Natural Science Foundation of China (62471485, 62071482, 62222120), National Natural Science Foundation of Hubei Province (2025AFB873)
More Information
  • 摘要: 该文研究了复合高斯杂波中距离扩展目标的自适应检测问题,其中杂波纹理分量服从加权广义逆高斯(WGIG)分布。该文基于两步Rao, Wald, Durbin和Gradient检验分别设计加权广义逆高斯杂波下的自适应检测器。针对未知协方差矩阵,分别采用近似最大似然(AML)和归一化采样协方差矩阵(NSCM)两种方法进行估计。由于纹理分量的最大后验(MAP)估计难以解析求解,因此在Rao, Wald和Durbin检验的检测器设计中,采用纹理分量的倒数期望的MAP进行替代;而在Gradient检验的检测器设计中,则基于后验概率密度函数推导检验统计量。理论分析表明,基于Rao, Durbin和Gradient检验所得到的检测器具有一致性。在性能评估方面,通过仿真数据和实测数据,分别对无信号失配和存在信号失配两种情况下的检测性能进行了系统评估。实验结果表明:(1)该文提出的基于AML的检测器均具有恒虚警率(CFAR)特性;(2)在无信号失配情况下,基于Rao准则和Wald准则的检测器在两种实测数据集上分别表现出最优的检测性能,并且相较于两步GLRT检测器的检测性能分别提升0.1~0.5 dB和0.7~0.8 dB;(3)在信号失配情况下,基于Rao准则与AML估计的检测器具有最佳的稳健性,而基于Wald准则的检测器对失配信号表现出最强的抑制能力。

     

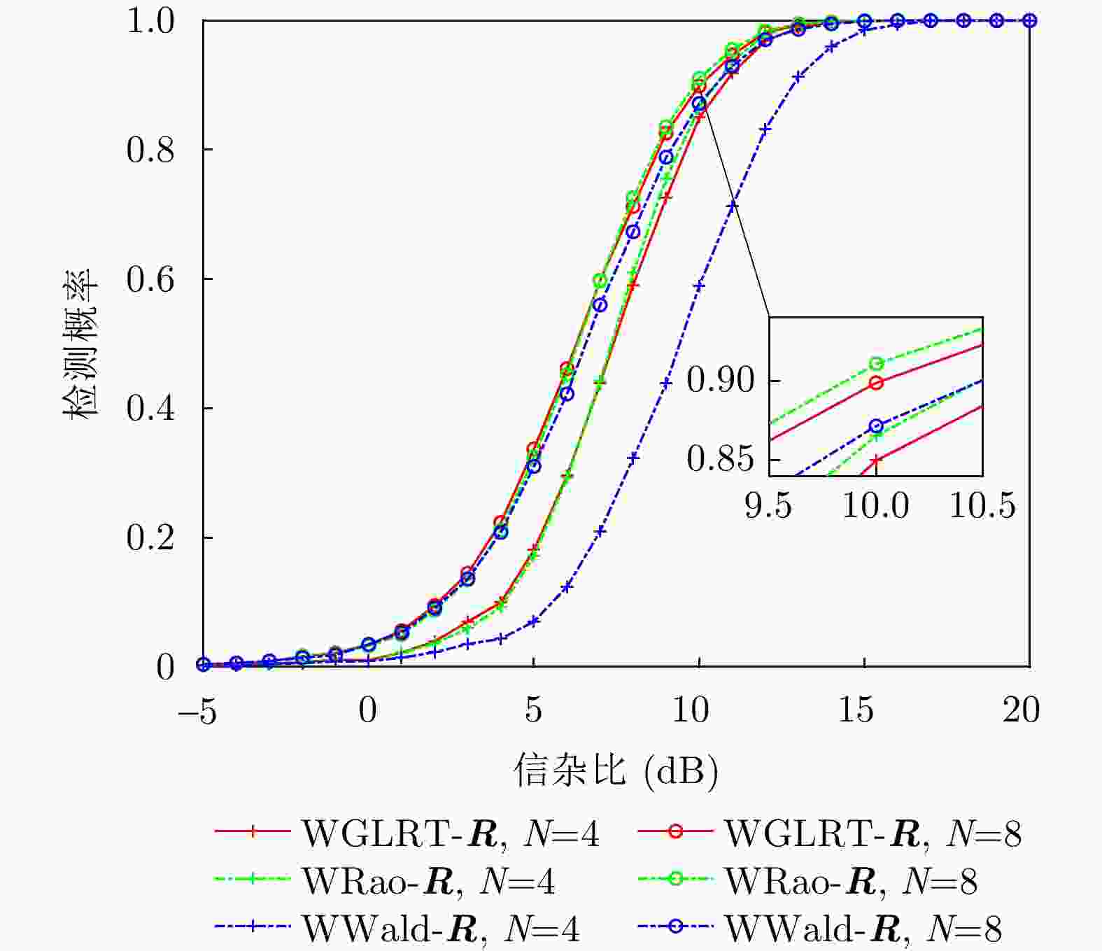
  • 图  1  R已知基于仿真数据时各检测器的检测概率随信杂比变化曲线(N=4, 8)

    Figure  1.  PDs of the detectors based on simulated data under different SCRs for known R (N=4, 8)

    图  2  R未知基于仿真数据及AML和NSCM估计器时各检测器的检测概率随信杂比变化曲线

    Figure  2.  PDs of the detectors based on simulated data under different SCRs for unknown R using AML and NSCM estimators

    图  3  R未知基于仿真数据及AML和NSCM估计器时各检测器的检测概率随$ {\cos ^2}\phi $变化曲线

    Figure  3.  PDs of the detectors based on simulated data under different $ {\cos ^2}\phi $ for unknown R using AML and NSCM estimators

    图  4  R未知时基于仿真数据及AML和NSCM估计器时各检测器的CFAR特性

    Figure  4.  CFAR characteristics of the detectors based on simulated data for unknown R using AML and NSCM estimators

    图  5  $M = 2$时20221112175025_stare_VV海杂波概率密度函数曲线拟合结果

    Figure  5.  Fitting results of 20221112175025_stare_VV sea clutter PDF at $M = 2$

    图  6  $M = 2$时20221112175025_stare_VV海杂波累积分布函数曲线拟合结果

    Figure  6.  Fitting results of 20221112175025_stare_VV sea clutter CCDF at $M = 2$

    图  7  $M = 2$时IPIX_19980223_170435海杂波概率密度曲线拟合结果

    Figure  7.  Fitting results of IPIX_19980223_170435 sea clutter PDF at $M = 2$

    图  8  $M = 2$时IPIX_19980223_170435海杂波累积分布函数拟合结果

    Figure  8.  Fitting results of IPIX_19980223_170435 sea clutter CCDF at $M = 2$

    图  9  R未知基于20221112175025_stare_VV及AML和NSCM估计器时各检测器的检测概率随信杂比变化曲线

    Figure  9.  PDs of the detectors based on 20221112175025_stare_VV data under different SCRs for unknown R using AML and NSCM estimators

    图  10  R未知基于IPIX_19980223_170435及AML和NSCM估计器时各检测器的检测概率随信杂比变化曲线

    Figure  10.  PDs of the detectors based on IPIX_19980223_170435 data under different SCRs for unknown R using AML and NSCM estimators

    图  11  R未知基于20221112175025_stare_VV及AML和NSCM估计器时各检测器的检测概率随$ {\cos ^2}\phi $变化曲线(SCR=10 dB)

    Figure  11.  PDs of the detectors based on 20221112175025_stare_VV data under different $ {\cos ^2}\phi $ for unknown R using AML and NSCM estimators (SCR=10 dB)

    图  12  R未知基于IPIX_19980223_170435及AML和NSCM估计器时各检测器的检测概率随$ {\cos ^2}\phi $变化曲线(SCR=30 dB)

    Figure  12.  PDs of the detectors based on IPIX_19980223_170435 data under different $ {\cos ^2}\phi $ for unknown R using AML and NSCM estimators (SCR=30 dB)

    表  1  M = 2时各个分布模型拟合20221112175025_stare_VV海杂波数据结果

    Table  1.   When M = 2, the fitting results of various distribution models to 20221112175025_stre_VV sea clutter

    模型 参数 MSE
    WGIG $ {\boldsymbol{w}} = \left[ \begin{gathered} 0.5514 \\ 0.4486 \\ \end{gathered} \right] $, $ a = \left[ \begin{gathered} 1.0905{\text{E}}-06 \\ 1.0434{\text{E}}-08 \\ \end{gathered} \right] $, $ {\boldsymbol{b}} = \left[ \begin{gathered} {\text{1}}{\text{.1835E08}} \\ 1.6943{\text{E}}08 \\ \end{gathered} \right] $, $ {\boldsymbol{v}} = \left[ \begin{gathered} 18.0474 \\ 0.9568 \\ \end{gathered} \right] $ 3.4592E–06
    GIG $a = 2.0837{\text{E}} - 09$,$b = 7.4187{\text{E}}07$, $ v = - 0.6409 $ 2.2676E–05
    Inverse Gamma $\lambda = 1.5807$, $\beta = 9.8920{\text{E07}}$ 1.2227E–04
    K $\lambda = - 0.2396$, $\beta = 7.0049{\text{E03}}$ 3.9341E–04
    下载: 导出CSV

    表  2  M = 2时各个分布模型拟合IPIX_19980223_170435海杂波数据结果

    Table  2.   When M = 2, the fitting results of various distribution models to IPIX_19980223_170435 sea clutter

    模型 参数 MSE
    WGIG $ {\boldsymbol{w}} = \left[ \begin{gathered} 0.9631 \\ 0.0369 \\ \end{gathered} \right] $, $ {\boldsymbol{a}} = \left[ \begin{gathered} 2.7812 \\ 0.4670 \\ \end{gathered} \right] $, $ {\boldsymbol{b}} = \left[ \begin{gathered} 0.5408 \\ 0.0014 \\ \end{gathered} \right] $, $ {\boldsymbol{v}} = \left[ \begin{gathered} 0.0077 \\ 0.0446 \\ \end{gathered} \right] $ 4.0693E–07
    GIG $a = 3.4697$, $b = 0.2546$, $ v = 0.5968 $ 2.6538E–06
    Inverse Gamma $\lambda = 2.3372$, $\beta = 0.8660$ 1.4781E–05
    K $\lambda = 0.2602$, $\beta = 0.3532$ 1.4312E–04
    下载: 导出CSV
  • [1] BANDIERA F, DE MAIO A, GRECO A S, et al. Adaptive radar detection of distributed targets in homogeneous noise plus subspace interference[C]. Conference Record of the Thirty-Ninth Asilomar Conference on Signals, Systems and Computers, Pacific Grove, USA, 2005: 765–769. doi: 10.1109/ACSSC.2005.1599856.
    [2] LIU Weijian, LIU Jun, HAO Chengpeng, et al. Multichannel adaptive signal detection: Basic theory and literature review[J]. Science China Information Sciences, 2022, 65(2): 121301. doi: 10.1007/s11432-020-3211-8.
    [3] LIU Weijian, XIE Wenchong, LIU Jun, et al. Adaptive double subspace signal detection in Gaussian background—Part I: Homogeneous environments[J]. IEEE Transactions on Signal Processing, 2014, 62(9): 2345–2357. doi: 10.1109/TSP.2014.2309556.
    [4] HUGHES P K. A high-resolution radar detection strategy[J]. IEEE Transactions on Aerospace and Electronic Systems, 1983, AES-19(5): 663–667. doi: 10.1109/TAES.1983.309368.
    [5] GRECO M, GINI F, and RANGASWAMY M. Non-stationarity analysis of real X-band clutter data at different resolutions[C]. 2006 IEEE Radar Conference, Verona, USA, 2006: 44–50. doi: 10.1109/RADAR.2006.1631774.
    [6] GINI F and GRECO M. Texture modelling, estimation and validation using measured sea clutter data[J]. IEE Proceedings-Radar, Sonar and Navigation, 2002, 149(3): 115–124. doi: 10.1049/ip-rsn:20020272.
    [7] RANGASWAMY M. Spherically invariant random processes for modeling non-Gaussian radar clutter[C]. The 27th Asilomar Conference on Signals, Systems and Computers, Pacific Grove, USA, 1993: 1106–1110. doi: 10.1109/ACSSC.1993.342399.
    [8] ZOU Pengjia, CHANG Siyuan, and SHUI Penglang. Compound-Gaussian clutter model with Weibull-distributed textures and parameter estimation[J] Remote Sensing, 2024, 16(16): 2912. doi: 10.3390/rs16162912.
    [9] XU Shuwen, SHUI Penglang, and CAO Yunhe. Adaptive range-spread maneuvering target detection in compound-Gaussian clutter[J]. Digital Signal Processing, 2015, 36: 46–56. doi: 10.1016/j.dsp.2014.09.010.
    [10] CONTE E, DI BISCEGLIE M, LONGO M, et al. Canonical detection in spherically invariant noise[J]. IEEE Transactions on Communications, 1995, 43(2/4): 347–353. doi: 10.1109/26.380053.
    [11] HE You, JIAN Tao, SU Feng, et al. Novel range-spread target detectors in non-Gaussian clutter[J]. IEEE Transactions on Aerospace and Electronic Systems, 2010, 46(3): 1312–1328. doi: 10.1109/TAES.2010.5545191.
    [12] JIANG Qing, WU Yuntao, LIU Weijian, et al. Subspace-based distributed target detection in compound-Gaussian clutter[J]. Digital Signal Processing, 2023, 140: 104141. doi: 10.1016/j.dsp.2023.104141.
    [13] 许述文, 石星宇, 水鹏朗. 复合高斯杂波下抑制失配信号的自适应检测器[J]. 雷达学报, 2019, 8(3): 326–334. doi: 10.12000/JR19030.

    XU Shuwen, SHI Xingyu, and SHUI Penglang. An adaptive detector with mismatched signals rejection in compound Gaussian clutter[J]. Journal of Radars, 2019, 8(3): 326–334. doi: 10.12000/JR19030.
    [14] YANG Yong, XIAO Shunping, WANG Xuesong, et al. Performance analysis of radar detection for correlated Gamma fluctuating targets in K distributed sea clutter[J]. Digital Signal Processing, 2018, 79: 136–141. doi: 10.1016/j.dsp.2018.05.001.
    [15] SHANG Xiuqin, SONG Hongjun, WANG Yu, et al. Adaptive detection of distributed targets in compound-Gaussian clutter with inverse gamma texture[J]. Digital Signal Processing, 2012, 22(6): 1024–1030. doi: 10.1016/j.dsp.2012.05.002.
    [16] WANG Qing, ZHOU Xuan, LIU Weijian, et al. Adaptive detection of point targets in compound-Gaussian clutter with inverse gamma texture[J]. IEEE Transactions on Aerospace and Electronic Systems, 2024, 60(4): 3967–3978. doi: 10.1109/TAES.2024.3374715.
    [17] 丁昊, 王国庆, 刘宁波, 等. 逆Gamma纹理背景下两类子空间目标的自适应检测方法[J]. 雷达学报, 2017, 6(3): 275–284. doi: 10.12000/JR16088.

    DING Hao, WANG Guoqing, LIU Ningbo, et al. Adaptive detectors for two types of subspace targets in an inverse Gamma textured background[J]. Journal of Radars, 2017, 6(3): 275–284. doi: 10.12000/JR16088.
    [18] GAO Yongchan, LIAO Guisheng, ZHU Shengqi, et al. A persymmetric GLRT for adaptive detection in compound-Gaussian clutter with random texture[J]. IEEE Signal Processing Letters, 2013, 20(6): 615–618. doi: 10.1109/LSP.2013.2259232.
    [19] OLLILA E, TYLER D E, KOIVUNEN V, et al. Compound-Gaussian clutter modeling with an inverse Gaussian texture distribution[J]. IEEE Signal Processing Letters, 2012, 19(12): 876–879. doi: 10.1109/LSP.2012.2221698.
    [20] GAO Yongchan, LIAO Guisheng, and ZHU Shengqi. Adaptive signal detection in compound-Gaussian clutter with inverse Gaussian texture[C]. 2013 14th International Radar Symposium, Dresden, Germany, 2013: 935–940.
    [21] XUE Jian, XU Shuwen, and SHUI Penglang. Knowledge-based target detection in compound Gaussian clutter with inverse Gaussian texture[J]. Digital Signal Processing, 2019, 95: 102590. doi: 10.1016/j.dsp.2019.102590.
    [22] XUE Jian, XU Shuwen, LIU Jun, et al. Model for non-Gaussian sea clutter amplitudes using generalized inverse Gaussian texture[J]. IEEE Geoscience and Remote Sensing Letters, 2019, 16(6): 892–896. doi: 10.1109/LGRS.2018.2886782.
    [23] GUO Hongzhi, WANG Zhihang, HE Zishu, et al. Persymmetric adaptive subspace detection in compound Gaussian sea clutter with generalized inverse Gaussian texture[J]. Signal Processing, 2024, 216: 109300. doi: 10.1016/j.sigpro.2023.109300.
    [24] XUE Jian, MA Manshan, LIU Jun, et al. Wald- and Rao-based detection for maritime radar targets in sea clutter with lognormal texture[J]. IEEE Transactions on Geoscience and Remote Sensing, 2022, 60: 5119709. doi: 10.1109/TGRS.2022.3217615.
    [25] XUE Jian, FAN Zhen, XU Shuwen, et al. Persymmetric adaptive radar target detection in CG-LN sea clutter using complex parameter suboptimum tests[J]. IEEE Transactions on Geoscience and Remote Sensing, 2023, 61: 5111211. doi: 10.1109/TGRS.2023.3330865.
    [26] XUE Jian, FAN Zhen, and XU Shuwen. Adaptive coherent detection for maritime radar range-spread targets in correlated heavy-tailed sea clutter with lognormal texture[J]. IEEE Geoscience and Remote Sensing Letters, 2024, 21: 3505805. doi: 10.1109/LGRS.2024.3397850.
    [27] CHEN Xiaolin, LIU Kai, ZHANG Zhibo, et al. Mixture texture model with weighted generalized inverse Gaussian distribution for target detection[J]. Digital Signal Processing, 2024, 154: 104677. doi: 10.1016/j.dsp.2024.104677.
    [28] LIU Weijian, LIU Jun, LIU Tao, et al. Detector design and performance analysis for target detection in subspace interference[J]. IEEE Signal Processing Letters, 2023, 30: 618–622. doi: 10.1109/LSP.2023.3270080.
    [29] TANG Peiqin, XU Zhenyu, XU Hong, et al. Distributed target detection based on gradient test in deterministic subspace interference[J]. Signal Processing, 2025, 227: 109673. doi: 10.1016/j.sigpro.2024.109673.
    [30] TANG Peiqin, WANG Yongliang, LIU Weijian, et al. A tunable detector for distributed target detection in the situation of signal mismatch[J]. IEEE Signal Processing Letters, 2020, 27: 151–155. doi: 10.1109/LSP.2019.2961838.
    [31] SUN Mengru, LIU Weijian, LIU Jun, et al. Complex parameter Rao, Wald, Gradient, and Durbin tests for multichannel signal detection[J]. IEEE Transactions on Signal Processing, 2022, 70: 117–131. doi: 10.1109/TSP.2021.3132485.
    [32] XIAO Daipeng, LIU Weijian, CHEN Hui, et al. An adaptive radar target detection method based on alternate estimation in power heterogeneous clutter[J]. Remote Sensing, 2024, 16(13): 2508. doi: 10.3390/rs16132508.
    [33] LI Na, YANG Haining, CUI Guolong, et al. Adaptive two-step Bayesian MIMO detectors in compound-Gaussian clutter[J]. Signal Processing, 2019, 161: 1–13. doi: 10.1016/j.sigpro.2019.03.008.
    [34] WANG Zhihang, HE Zishu, HE Qin, et al. Persymmetric range-spread targets detection in compound Gaussian sea clutter with inverse Gaussian texture[J]. IEEE Geoscience and Remote Sensing Letters, 2022, 19: 8018305. doi: 10.1109/LGRS.2021.3101369.
    [35] ABRAMOWITZ M and STEGUN I A. Handbook of Mathematical Functions: With Formulas, Graphs, and Mathematical Tables[M]. New York: Dover Publications, 1965: 375–376.
    [36] DEVROYE L. Random variate generation for the generalized inverse Gaussian distribution[J]. Statistics and Computing, 2014, 24(2): 239–246. doi: 10.1007/s11222-012-9367-z.
    [37] ATKINSON A C. The simulation of generalized inverse Gaussian and hyperbolic random variables[J]. SIAM Journal on Scientific and Statistical Computing, 1982, 3(4): 502–515. doi: 10.1137/0903033.
    [38] TANG Peiqin, PENG Xinyu, XU Hong, et al. Durbin tests for distributed target detection in deterministic subspace interference and noise[J]. Signal Processing, 2025, 234: 110009. doi: 10.1016/j.sigpro.2025.110009.
    [39] LIU Weijian, WANG Yongliang, and XIE Wenchong. Fisher information matrix, Rao test, and Wald test for complex-valued signals and their applications[J]. Signal Processing, 2014, 94: 1–5. doi: 10.1016/j.sigpro.2013.06.032.
    [40] GUO Qiang, LIU Lichao, HUANG Shuai, et al. Adaptive detectors for mismatched subspace target in clutter with lognormal texture[J]. Digital Signal Processing, 2024, 154: 104692. doi: 10.1016/j.dsp.2024.104692.
    [41] GINI F and GRECO M. Covariance matrix estimation for CFAR detection in correlated heavy tailed clutter[J]. Signal Processing, 2002, 82(12): 1847–1859. doi: 10.1016/S0165-1684(02)00315-8.
    [42] CUI Yufeng, WANG Yongliang, LIU Weijian, et al. A tunable adaptive detector for distributed targets when signal mismatch occurs[J]. Journal of Systems Engineering and Electronics, 2023, 34(4): 873–878. doi: 10.23919/JSEE.2023.000029.
    [43] 刘宁波, 董云龙, 王国庆, 等. X波段雷达对海探测试验与数据获取[J]. 雷达学报, 2019, 8(5): 656–667. doi: 10.12000/JR19089.

    LIU Ningbo, DONG Yunlong, WANG Guoqing, et al. Sea-detecting X-band radar and data acquisition program[J]. Journal of Radars, 2019, 8(5): 656–667. doi: 10.12000/JR19089.
    [44] 刘宁波, 丁昊, 黄勇, 等. X波段雷达对海探测试验与数据获取年度进展[J]. 雷达学报, 2021, 10(1): 173–182. doi: 10.12000/JR21011.

    LIU Ningbo, DING Hao, HUANG Yong, et al. Annual progress of the sea-detecting X-band radar and data acquisition program[J]. Journal of Radars, 2021, 10(1): 173–182. doi: 10.12000/JR21011.
    [45] 关键, 刘宁波, 王国庆, 等. 雷达对海探测试验与目标特性数据获取——海上目标双极化多海况散射特性数据集[J]. 雷达学报, 2023, 12(2): 456–469. doi: 10.12000/JR23029.

    GUAN Jian, LIU Ningbo, WANG Guoqing, et al. Sea-detecting radar experiment and target feature data acquisition for dual polarization multistate scattering dataset of marine targets[J]. Journal of Radars, 2023, 12(2): 456–469. doi: 10.12000/JR23029.
    [46] LI Dongfang, ZHAO Zhiqin, and ZHAO Yanwen. Analysis of experimental data of IPIX radar[C]. 2018 IEEE International Conference on Computational Electromagnetics, Chengdu, China, 2018: 1–3. doi: 10.1109/COMPEM.2018.8496687.
    [47] XU Xiaoke. Low observable targets detection by joint fractal properties of sea clutter: An experimental study of IPIX OHGR datasets[J]. IEEE Transactions on Antennas and Propagation, 2010, 58(4): 1425–1429. doi: 10.1109/TAP.2010.2041144.
    [48] MEZACHE A, SAHED M, and LAROUSSI T. K-distribution parameters estimation based on the Nelder-Mead algorithm in presence of thermal noise[C]. 2009 International Conference on Advances in Computational Tools for Engineering Applications, Beirut, Lebanon, 2009: 553–558. doi: 10.1109/ACTEA.2009.5227861.
  • 加载中
图(12) / 表(2)
计量
  • 文章访问数: 
  • HTML全文浏览量: 
  • PDF下载量: 
  • 被引次数: 0
出版历程
  • 收稿日期:  2025-04-17
  • 修回日期:  2025-07-03
  • 网络出版日期:  2025-09-08
  • 刊出日期:  2025-12-28

目录

    /

    返回文章
    返回